A very large number of modern devices depend upon magnetic properties of materials for their working. For example, the speakers, electrical power generators, electrical machines, transformers, television, data storage devices like magnetic tapes and disks, magnetic compass etc.
Introduction
A
very large number of modern devices depend upon magnetic properties of
materials for their working. For example, the speakers, electrical power
generators, electrical machines, transformers, television, data storage devices
like magnetic tapes and disks, magnetic compass etc.
MRI
(Magnetic Resonance Imaging) scan is an important non-invasive diagnostic tool
used in the medical field.
Understanding
the origin of magnetism and the behaviour of magnetic materials will be helpful
not only in the selection of suitable materials for a particular application
but also in proper utilization of such devices.
Further,
it is highly useful in designing new applications of these materials.
Magnetism in Materials
It
arises from the magnetic moment or magnetic dipole of the magnetic materials.
When an electron revolves around the positive nucleus, orbital magnetic moment
arises. Similarly when the electron spins, spin magnetic moment arises.
Materials
which can be magnetised by an external magnetic field are called magnetic materials.
The
space around the magnet or the current carrying conductor where the magnetic
effect is felt is called magnetic field.
Magnetic
line of force is a continuous curve in a magnetic field as shown in fig. 2.22.
The tangent at any point of this curve gives the direction of resultant
intensity at that point.

All
the molecules of a material contain electrons rotating around the nucleus.
These orbits are equivalent to circulating currents. So they produce a magnetic
motive force (m.m.f). m.m.f is a force which produces the magnetic effect.
In
most of the molecules, each m.m.f due to an individual orbit is neutralised by
an opposite one. But, in the magnetic materials like iron and steel, there are
number of unneutralised orbits. Then, the resultant axis of m.m.f produces a
magnetic dipole.
In
unmagnetised specimens, the molecular m.m.f axes lie along continuous closed
paths. Therefore, no external magnetic effect can be found.
In
magnetic specimens, the magnetic dipoles will line up parallel with the
exciting m.m.f.
When
the exciting m.m.f. is removed, the magnetic dipoles may remain aligned in the
direction of the external field. Thus, it produces permanent magnetism.
Basic Definitions
To
understand the magnetic properties of materials in detail, we must study the
basic terms and definitions involved in magnetism.
Magnetic Pole Strength
Magnetic
pole strength of a pole is said to be unity it experiences a force of 1 Newton
when placed at a distance of 1 meter from a similar one, in air (or vacuum).
Magnetic Dipole Moment (m)
Magnetic
dipole moment m of a magnet is the product of magnetic pole strength and the
distance between the two poles.
Magnetic flux (φ)
Total
number of magnetic lines of force passing through a surface is known as magnetic
flux.
It
is represented by symbol (φ) and its unit is weber (Wb).
Magnetic Flux Density (or) Magnetic
Induction (B)
Magnetic
field is applied to the metals such as iron, steel, some alloys etc, they are
magnetised to different degrees.
Magnetic
flux density at any point in a magnetic field is defined as the magnetic flux
(φ) passing normally through unit area of cross section (A) at that point.
It
is denoted by the symbol 'B' and its unit is weber/metre2 (Wb/m2) m)
or tesla (T).
Magnetic
flux density is given by
B
= φ / A weber/metre2 or tesla (T).
It is also called magnetic induction.
Intensity of Magnetisation (I)
The
term magnetisation means the process of converting a non magnetic material into
a magnetic material.
When an external magnetic field is applied to the metals such as iron, steel, some alloys etc, they are magnetised to different degrees.
The
intensity of magnetisation (I) is the measure of magnetisation of magnetised
specimen.
It
is defined as the magnetic moment per unit volume of the material.

where
M
→ Magnetic moment of the substance
V
→ Volume of the specimen
Magnetic Field Intensity (or)
Strength (H)
Magnetic
field intensity at any point in a magnetic field is the force experienced by a
unit north pole placed at that point.
It
is denoted by 'H' and its unit is newton per weber (N/Wb) or ampere turns per
metre (A/ m).
Magnetic Permeability (μ)
Magnetic
permeability of a substance measures the degree to which the magnetic field can
penetrate through the substance.
It
is found that magnetic flux density (B) is directly proportional to the
magnetic field strength (H)
B
α H
Β
= μ Η
where
μ is a constant of proportionality.
It
is known as permeability or absolute permeability of the medium
μ
= B/H
Thus, the permeability of a substance is the ratio of magnetic flux density (B) inside the substance to magnetic field intensity (H).
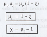
Absolute
permeability of a medium or a material is also defined as the product of
permeability of a free space (μ0) and the relative permeability of
the medium (μr)
i.e.,
μ = μ0 × μr
Unit
of permeability is henry / m (or) H/m
Relative Permeability
Relative
permeability of a medium is defined as the ratio between absolute permeability
of a medium (μ) to permeability of a free space (μ0)
μr
= μ / μ0
Thus,
the relative permeability is purely a number and it has no unit. For air and
non - magnetic material, its value is '1'.
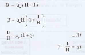
Magnetic Susceptibility (χ)
Magnetic
susceptibility (χ) of a specimen is a measure of how easily a specimen can be
magnetised in a magnetic field.
It
is defined as the intensity of magnetisation produced in the substance per unit
magnetic field strength (H).
χ = I / H
It
is a dimensionless quantity because both I and H have same units.
Magnetic
induction in a given magnetic material for the applied field strength 'H' is
given by

But,
we know that

From
the eqns (1) and (2), we have

Physics for Electronics Engineering: Unit II: Electrical and Magnetic Properties of Materials : Tag: : Basic Definitions - Introduction of Magnetic Properties of Materials
Physics for Electronics Engineering
PH3254 - Physics II - 2nd Semester - ECE Department - 2021 Regulation | 2nd Semester ECE Dept 2021 Regulation