Anna university Part - A '2' marks question and answer
Part - A '2' Marks Q & A
ANNA UNIVERSITY QUESTIONS & ANSWERS
1.
Give any two postulates of classical free electron theory. (A.U. Dec 2016)
i.
According to this theory, a metal consists of a very large number of free
electrons. These free electrons move freely throughout the volume of the metal.
They are fully responsible for the electrical conduction in the metal.
ii.
Drude assumed that the free electrons in a metal form an electron gas. These
free electrons move randomly in all possible directions just like the gas
molecules move in a container.
2.
Define mean free path. (A.U. Dec 2011, June 2012)
The
average distance travelled by a free electron between any two successive
collisions in the presence of an applied field is known as mean free path.
It is the product of drift velocity of electrons (vd) and collision time (τc).
λ
= vd x τc
3.
Define relaxation time of an electron. (A.U. May 2011, Dec 2012)
The
average time taken by a free electron to reach its equilibrium state from its
disturbed state due to application of an external electrical field is called
relaxation time.
4.
Define drift velocity of electron. How is it different from the thermal
velocity of an electron? (A.U. May 2014, Dec 2015)
The
average velocity acquired by a free electron in a particular direction after a
steady state is reached on the application of an electrical field is called
drift velocity. It is denoted as vd
and its value is very small (50 cm/s)
The
thermal velocity is random in nature and its value is very high (105
m/s).
5.
Define mobility of electrons. (A.U. May 2016)
The
magnitude of the drift velocity acquired by the electrons per unit electric
field is defined as the mobility of electrons (µ)
i.e.,
µ = vd / E
where
vd → Drift velocity of
electrons
E → Electrical field.
6.
Define electrical conductivity. What is its unit. (A.U. April 2011, Dec 2012)
The
amount of electrical charges (q) conducted per unit time (t) across unit area
(A) of the conductor for unit applied electrical field (E) is defined as
electrical conductivity.
σ
= q / t A E
Its
unit is ohm-1 m-1 or mho m-1
7.
What are the merits of classical free electron theory? (A.U. May 2012)
i.
It is used to verify Ohm's law.
ii.
It is used to explain electrical and thermal conductivities of metals.
iii.
It is used to derive Wiedemann - Franz law.
iv.
It is used to explain the optical properties of metal.
8.
What are the drawbacks of classical free electron theory? (A.U. May 2011, June
2013, Dec 2015)
i.
Classical theory states that all free electrons will absorb the supplied
energy; on the contrary, quantum theory states that only a few electrons will
absorb the supplied energy.
ii.
Electrical conductivity of semiconductors and insulators (non-metals) cannot be
explained.
iii. The phenomena such as photo-electric effect, Compton effect and black body radiation cannot be explained on the basis of this theory because these phenomena are based on quantum theory.
9.
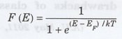
Define Fermi distribution function. (A.U. May 2013)
The
probability F (E) of an electron occupancy for a given energy level at
temperature T is known as Fermi distribution function. It is given by

EF
→ Fermi level
k → Boltzmann's
constant
T
→ Absolute temperature
E
→ Energy of the level whose occupancy is being considered.
10.
Write down the expression for the Fermi distribution law and explain for the
electrons in a metal. (A.U. May 2016)
Fermi
distribution function is given by

where
EF is called Fermi energy
if
E < EF, all levels are filled with electrons
i.e.,
F(E) = 1
if
E > EF, all levels are empty
i.e.,
F(E) = 0
if T > 0 K at EF, F(E) = 1/2
11.
Define Fermi level and Fermi energy with its importance. (A.U. Dec. 2012, May
2013, Dec 2014, June 2013, Dec 2016)
Fermi level:
It is the energy level at finite temperature above 0 K in which the probability
of the electron occupation is 1/2 and it is also the level of maximum energy of
the filled states at 0 K.
Fermi energy:
It is the energy of the state at which the probability of the electron
occupation is 1/2 at any temperature above 0 K. It is also the maximum energy
of filled states at 0 K.
Importance:
Fermi level and Fermi energy determine the probability of an electron
occupation for a given energy level at a given temperature.
12.
Define density of states. What is its use? (A.U. June 2013, Dec 2014, June
2016)
It
is defined as the number of available electron states per unit volume in an
energy interval E and E + dE. It is denoted by Z (E).
It
is used to determine Fermi energy at any temperature.
13.
Calculate the drift velocity of the free electrons with a mobility of 3.5 × 10-3
m2 V-1 s-1 in copper for an electric field
strength of 0.5 V/m (A.U. June 2014)
Given data
Mobility
of free electrons (μ) = 3.5 × 10-3 m2 V-1 s-1
Electric
field strength of copper (E) = 0.5 Vm-1
Solution
Drift
velocity vd = μ × E = 3.5
× 10-3 × 0.5= 1.75 x 10-3
vd
= 0.00175 ms-1
ADDITIONAL QUESTION & ANSWER
1.
What is electron theory of solids?
The
electrons in the outermost orbit of the atoms which constitute the solids
determine its electrical properties. The electron theory of solids explains the
structure and properties of solids through their electronic structure.
2.
What are special features of classical free electron theory of solids?
In
a metal, the free electrons of an atom are free to move about the entire volume
of the metal like the molecules of a perfect gas in a container. These free
electrons in the metal are responsible for electrical conduction.
3.
What is a periodic potential.
When
an electron moves through a solid, its potential energy varies periodically
with the periodicity equal to period of space lattice 'a' (interatomic
distance). This is called periodic potential.
4.
What is an energy band?
A
set of closely spaced energy levels is called an energy band.
5.
What is an effective mass of electron?
The
mass acquired by an electron when it is accelerated in a periodic potential is
called effective mass of an electron. It is denoted by m.
Physics for Electronics Engineering: Unit II: Electrical and Magnetic Properties of Materials : Tag: : Physics for Electronics Engineering - Important Two Marks Question and Answers in Electrical Properties of Materials
Physics for Electronics Engineering
PH3254 - Physics II - 2nd Semester - ECE Department - 2021 Regulation | 2nd Semester ECE Dept 2021 Regulation