Anna university important problems
ANNA UNIVERSITY SOLVED PROBLEMS

Given
data

Solution
Electrical
conductivity of an intrinsic semiconductor



Given
data

Solution
(a) Concentration in n-type silicon


(b) Concentration in p-type silicon

Problem 3.3
A
silicon material is uniformly doped with phosphorus atoms at a concentration of
2 x 1019 m-3. The mobilitieS of holes and electrons are
0.05 and 0.12 m2 V-1 s-1 respectively, ni
= 1.5 x 1016 m-3 Find the electron and hole
concentrations and electrical conductivity. (A.U.
June 2014)
Solution


Solution
In
a p-type semiconductor, the hole concentration is equal to the acceptor
density.


Given
data

Solution
We
know that density of charge carriers

Substituting
the given values, we have



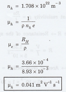
Given data

Solution:


Hall coefficient

Electron mobility

Problem
3.7
A
copper strip 2.0 cm wide and 1.0 mm thick is placed in a magnetic field with B
= 1.5 weber/m2 perpendicular to the strip. Suppose a current of 200
A is set up in the strip. What Hall potential difference would appear across
the strip?
Given
N = 8.4 x 1028 electrons /m3. (A.U. May 2015)
Given data

Solution

Note:
This problem is important in the sense that it shows that Hall voltage can be
also observed in metals besides semiconductor.
In
semiconductors, Hall voltage is comparatively much larger; it is of the order
of milli-volts as compared to the order of micro-volts in metals.
Moreover,
to observe Hall voltage in metals, current of the order of amperes is needed
when compared to the order of milliamperes as in the case of semiconductors.
Physics for Electronics Engineering: Unit III: Semiconductors and Transport Physics : Tag: : Physics for Electronics Engineering - Important Problems in Semiconductors and Transport Physics
Physics for Electronics Engineering
PH3254 - Physics II - 2nd Semester - ECE Department - 2021 Regulation | 2nd Semester ECE Dept 2021 Regulation