The energy band diagram of n-type semiconductor is shown in figure 3.8. In n-type semiconductor, the donor level is just below conduction band
CARRIER CONCENTRATION IN n-TYPE SEMICONDUCTORS [Derivation]
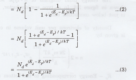
The
energy band diagram of n-type semiconductor is shown in figure 3.8. In n-type semiconductor,
the donor level is just below conduction band.
Density
of electrons per unit volume in conduction band is given by

Since,
F(Ed) is the probability for finding electron in donor energy level
(unionised donor), therefore 1 - F(Ed) is the probability for
finding ionised donors.

Ed represents the donor energy level and Nd denotes donor concentration i.e., the number of donor atoms per unit volume of the material.

is very small in eqn (3) when compared to '1'. Hence, it is neglected.

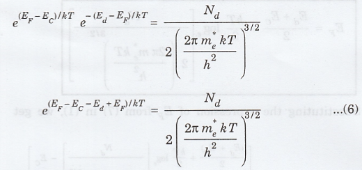
At
equilibrium, the density of electron in conduction band is equal to the density
of ionised donors.
Equating
(1) and (4), we get


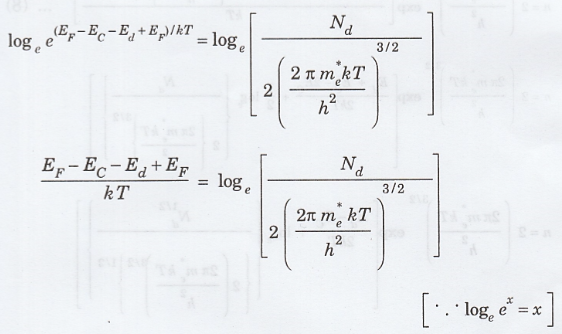
Taking
log on both sides, we have


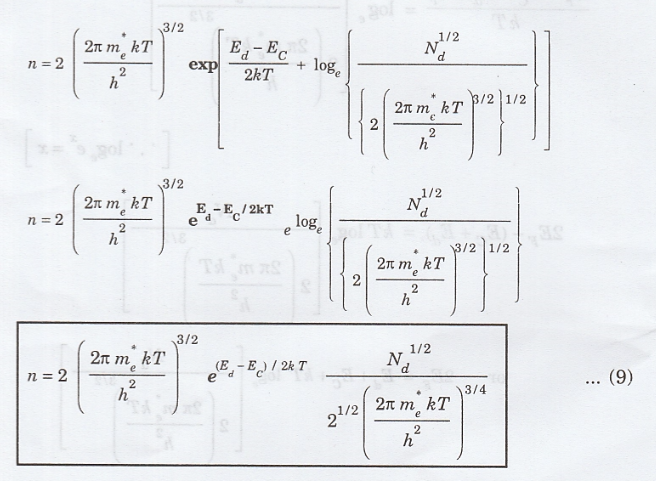
Substituting
the expression of EF from (7) in (1), we get


Rearranging
the expression (9), we get

where
∆E = EC - Ed is the ionisation energy of the donor. i.e.,
∆E denotes the amount of energy required to transfer an electron from donor
energy level Ed to conduction band EC.
Results
i.
The density of electrons in conduction band is proportional to the square root
of donor concentration. The equation (11) is valid only at low temperatures.
ii. At high temperature, we must take into account of intrinsic carrier concentration of semiconductor due to breaking of covalent bond along with electron concentration produced by donor impurity.
iii.
At very high temperatures, intrinsic carrier concentration which is generated
thermally due to breaking of covalent bond over takes electrons due to donor
impurity.
iv.
That is, at very high temperature, n-type semiconductor behaves like intrinsic
semiconductor and donor concentration becomes insignificant.
Fermi level
Fermi
level gives the probability of finding an electron at a given energy value. If
Fermi level lies exactly at the middle of the two levels, then the probability
of finding an electron is half, e.g., as in an intrinsic semiconductor.
In
extrinsic semiconductor, Fermi level strongly depends on temperature as well as
the nature of doping and doping concentration.
The Fermi level is little below conduction band in n-type semiconductor and it is just above valence band in p-type semiconductor..
Physics for Electronics Engineering: Unit III: Semiconductors and Transport Physics : Tag: : - Carrier Concentration in n-type Semiconductors
Physics for Electronics Engineering
PH3254 - Physics II - 2nd Semester - ECE Department - 2021 Regulation | 2nd Semester ECE Dept 2021 Regulation