The number of electrons in conduction band per unit volume of the material is called as electron concentration (n). In general, the number of charge carriers per unit volume of the material is called carrier concentration. It is also known as density of charge carriers.
CARRIER CONCENTRATION IN INTRINSIC SEMICONDUCTORS
Definition
The
number of electrons in conduction band per unit volume of the material is
called as electron concentration (n).
Similarly
the number of holes in valence band per unit volume of the material is called
hole concentration (p).
In
general, the number of charge carriers per unit volume of the material is
called carrier concentration. It is also known as density of charge carriers.
The
number of electrons per unit volume in conduction band for energy between E and
E + dE is given by
dn
= Z (E) F (E) dE .................(1)
where
Z (E) dE - Density of states in energy between E and E + dE
F
(E) - Probability of electron occupancy.
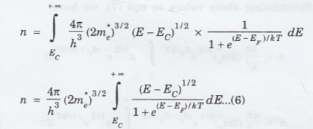
Number
of electrons in conduction band for the entire range is calculated by
integrating eqn (1) between energy Ec and +∞

EC
is energy corresponding to the bottom most level and +∞ is energy corresponding
to the upper most level in conduction band. (Fig 3.5).

Density
of states in conduction band between the energy range E and E + dE is given by
dE is given by

The
bottom edge of the conduction band (E) denotes the potential energy of an
electron at rest. Therefore, (E-Ec) is the kinetic energy of conduction
electron at higher energy levels.
Thus,
in eqn (3), E is replaced as (E – EC)

The
probability of electron occupation is given by Fermi distribution function

Substituting
eqns (4) and (5) in (2), we get

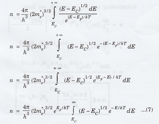
Since
kT is very small and (E – EF) is greater than kT, E - EF is very
large compared to '1' Hence, '1' from the denominator of eqn (6) is neglected.

Now,
eqn (6) becomes

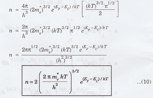
To
evaluate above integral in eqn (7), let us assume

Substituting
above values in eqn (7), we have

Substituting
eqn (9) in eqn (8), we have

Equation
(10) is the expression for concentration of electrons in the conduction band of
intrinsic semiconductor.
Physics for Electronics Engineering: Unit III: Semiconductors and Transport Physics : Tag: : Density of Electrons in Conduction Band (Derivation) - Carrier Concentration in Intrinsic Semiconductors
Physics for Electronics Engineering
PH3254 - Physics II - 2nd Semester - ECE Department - 2021 Regulation | 2nd Semester ECE Dept 2021 Regulation