Important two marks and 16 marks questions in Magnetic Properties of Materials
Part - A '2' Marks Question & Answers
ANNA UNIVERSITY Q&A
1.
On the basis of spin how the materials are classified as para, ferro, antiferro
and ferri magnetic. (A.U.
May 2012)
i.
Paramagnetic materials have few unpaired electron spins of equal magnitudes.
ii.
Ferro magnetic materials have many unpaired electron spins with equal
magnitudes.
iii.
Anti ferro magnetic materials have equal magnitude of spins but in antiparallel
manner.
iv.
Ferrimagnetic materials have spins in antiparallel manner but with unequal
magnitudes.
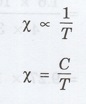
2.
What is Curie constant? or What is Curie law?
(A.U. May 2008)
It
is found that susceptibility (x) is inversely proportional to the temperature
(T)

where
C is constant and it is known as Curie constant. This relation is known as
Curie law.
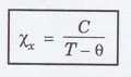
3.
State Curie Weiss law and its importance.
(A.U. May 2010)
Curie
- Weiss law is given by

where
C→ Curie constants
T
→ Absolute temperature
θ
→ Curie temperature
Importance:
It determines the susceptibility of the magnetic materials in terms of
temperatures ie., If the temperature is less than curie temperature, a
paramagnetic material becomes diamagnetic.
If
the temperature is greater than Curie Temperature, a ferromagnetic material
becomes paramagnetic material.
4.
What is ferromagnetism?
(A.U. May 2010)
Certain
materials like Iron (Fe), Cobalt (Co), Nickel (Ni) and certain alloys exhibit
spontaneous magnetization i.e., they have a small amount of magnetisation
(atomic moments are aligned) even in the absence of an external magnetic field.
This
phenomenon is known as ferromagnetism.
5.
What are ferromagnetic materials?
(A.U. Jan 2008)
The
materials which exhibit ferromagnetism are called as ferromagnetic materials.
6.
What are the properties of ferromagnetic materials? (A.U. June 2011)
i.
All the dipoles are aligned parallel to each other due to the magnetic
interaction between any two dipoles.
ii.
They have permanent dipole moment. They attract the magnetic field strongly.
iii.
They exhibit magnetisation even in the absence of magnetic field. This property
of ferromagnetic materials is called as spontaneous magnetisation.
7.
What is saturation magnetisation?
The
maximum magnetisation in a ferromagnet when all the atomic magnetic moments are
aligned is called saturation magnetization.
8.
What is Giant magnetoresistance?
It
is a quantum mechanical magnetoresistance effect observed in multilayers
composed of alternating ferromagnetic and non-magnetic conductive layers.
The
effect is observed as a significant change in the electrical resistance
depending on whether the magnetization of adjacent ferromagnetic layers are in
a parallel or an antiparallel alignment. The overall resistance is relatively
low for parallel alignment and relatively high for antiparallel alignment.
The
magnetization direction can be controlled, for example, by applying an external
magnetic field. The effect is based on the dependence of electron scattering on
the spin orientation.
9.
Mention application of GMR.
The
main application of GMR is magnetic field sensors, which are used to read data
in hard disk drives, biosensors, microelectromechanical systems (MEMS) and
other devices. GMR multilayer structures are also used in magnetoresistive
random-access memory (MRAM) as cell that store one bit of information.
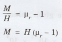
1.
A magnetic field strength of 2× 105 amperes / metre is applied to a
paramagnetic material with a relative permeability of 1.01. Calculate the
values of B and M [A.U. May 2015]
Given data
Magnetic
field strength H = 2 × 105 A/m
Relative
permeability μr = 1.01
Solution
We
know that 
Substituting
the given values, we have

2.
Magnetic field intensity of a paramagnetic material is 104
ampere/metre. At room temperature its susceptibility is 3.7 × 10-3.
Calculate the magnetization of the material. [A.U. Dec 2014]
Given data
Magnetic
field intensity H = 104 ampere / metre
Susceptibility
χ = 3.7 x 10-3
Magnetization
of the material = ?
Solution
We
know that Magnetization = χ Η
Substituting
the given values, we have
=
3.7 × 10-3 × 104
M
= 37 ampere / metre
1.
Explain dia, para, ferro magnetic effect.
2.
Discuss the origin of ferromagnetism and exchange interaction.
3.
Explain paramagnetisum in the conduction electrons in metals.
4.
Discuss quantum interference devices.
5.
Describe working of magnetic hard disc based on GMR sensor.
Physics for Electronics Engineering: Unit II: Electrical and Magnetic Properties of Materials : Tag: : Physics for Electronics Engineering - Two Mark Questions & Answers and 16 Mark Questions in Magnetic Properties of Materials
Physics for Electronics Engineering
PH3254 - Physics II - 2nd Semester - ECE Department - 2021 Regulation | 2nd Semester ECE Dept 2021 Regulation