System is an interconnection of functional blocks. System produces output with respect to an input signal.
SYSTEMS
System is an
interconnection of functional blocks. System produces output with respect to an
input signal.
Classification of systems

Systems are classified into two types. Thy are continuous time system(CTS) and discrete time (DT) system.
Continuous time system:
Continuous time system
operates on continuous time signals.
Example: Amplifiers,
analog transmitter and receiver.
Discrete time system:
Discrete time system
operates on discrete time signals.
Example: computer,
Microprocessor and printer.

Classification of continuous time and discrete time system:
Continuous time system
and discrete time system are classified as follows:
1) Static and dynamic
system
2) Linear and non
linear system
3) Time variant and
time invariant system
4) Causal and non
causal system
5) Stable and unstable
system
1.5.1 Static and Dynamic System
Static system: (Memory less system)
A continuous time
system (or) a discrete time system is said to be static if its output depends
upon present input only. It does not require memory to store past (or) future
input.
Example:
(i) y(t) = sin x(t)
Output y(t) depends
upon present input x(t)
(ii) y(n) = x(n) cos(ω0n)
Output y(n) depends
upon present input x(n).
Dynamic system: (System with memory)
A continuous time
system (or) a discrete time system is said to be dynamic system if its output
depends upon past values of input also.
Example:

Time Variant and Time Invariant System
A continuous time
system (or) a discrete time system is said to be time invariant if time shift
in the input produces corresponding time shift in the output.
Condition for time invariant system.
CT System :

DT System:

Input x(n) is delayed by
k samples. Then output y(n) is also delayed by k samples.
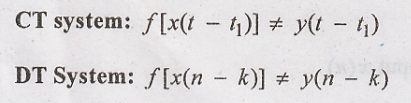
Time variant system:-
A continuous time
system (or) a discrete time system is said to be time variant if time shift in
the input does not produces corresponding time shift in the output.
Condition
for time variant system

Linear and Non Linear Systems.
Linear system:-
A system is said to be
linear if it satisfies the superposition principle. Let us consider the two
continuous time system. First system with input x1(t) and output y1(t).
Second system with input x2(t) and output y2(t).

Then the continuous
time system is linear if

Condition
for discrete time system to be linear:
Consider two discrete
time system.
First system with input
x1(n) and output y1(n) and second system with input x2(n)
and output y2(n).

Then the discrete time
system is linear if

Here a1 and
a2 are arbitrary constants.
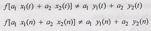
Non linear system:-
A system is said to be
non linear system if it does not satisfy the superposition principle.
Condition
for non linear system:

Causal and Non Causal Systemen
A continuous time
system (or) a discrete time system is said to be causal if the output of the
system at any time depends upon present and past inputs.
Example:
Continuous time
system:- y(t) = e t x(t)
Here output y(t)
depends upon the present input x(t).
Discrete time system:
y(n) = |x(n)|
Here output y(n)
depends upon the present input x(n).
Non causal system:-
A continuous time
system (or) a discrete time system is said to be non causal system if its
output depends upon future input also.
Stable and Unstable System
Stable system:
A continuous time
system (or) a discrete time system is said to be stable if every bounded input
produces bounded output.
The input is said to be
bounded if there exists some finite number Kx.

The output is said to
be bounded if there exists some finite number Kx.

Unstable system:-
If a continuous time
system (or) DT system produces unbounded output for bounded input then the
system is said to be unstable system.
Signals and Systems: Unit I: Classification of Signals and Systems,, : Tag: : - Systems
Signals and Systems
EC3354 - 3rd Semester - ECE Dept - 2021 Regulation | 3rd Semester ECE Dept 2021 Regulation