Based on Drude and Lorentz classical free electron theory
EXPRESSION FOR ELECTRICAL CONDUCTIVITY OF
A METAL (Derivation)
When
an electric field E is applied to an electron of charge 'e' in a metal rod, the
electron moves in opposite direction to the applied field with a velocity vd (Fig. 2.5). This velocity
is known as drift velocity.

Fig. 2.5 Movement of free electrons
in a metal rod
Force
experienced by the electron F = e E .................(1)
This
force accelerates the electron and hence, it gains acceleration 'a',
From, Newton's second law of motion, the force on the electron
F = Mass of the electron (m) × acceleration
(a)
F
= ma .................(2)
From
the eqns (1) and (2), we have
ma
= eE
a
= eE / m .................(3)
From
equation (3), it is found that the electron should be accelerated continuously
due to the applied electric field.
But,
the accelerated electron collides with positive ion core and other free
electrons. Hence it loses kinetic energy and velocity. Thus, after each
collision, the velocity of electron increases until the next collision takes
place.
Average
drift velocity of electron is = vd
If
τc is collision time, then acceleration.
a
= vd / τ (`.`τc = τ)
vd
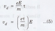
= a τ .................(4)
Substituting
the eqn (3) in (4)

But,
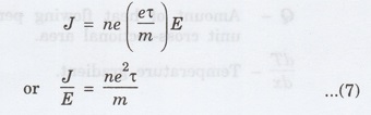
the current density in terms of drift velocity is given as
J
= n e vd
.................(6)
Substituting
the eqn (5) in (6), we have

According
to Ohm's law, current density (J) is expressed as
J
= σ E or σ = J / E .................(8)
On
comparing the eqns (7) and (8), we have
Electrical
conductivity σ = n e2 τ / m .................(9)
The
eqn (9) represents electrical conductivity of the metal
Thermal Conductivity (K)
We
know that the amount of heat conducted between the two ends of a metal rod.

It
is defined as the amount of heat conducted per unit time through the material
having unit area of cross-section per unit temperature gradient.
If
area of cross section A is '1' m2.
time
of flow of heat t is 1 second, then

Q
- Amount of heat flowing per unit time through unit cross-sectional area.
dT/dx
- Temperature gradient.
Physics for Electronics Engineering: Unit II: Electrical and Magnetic Properties of Materials : Tag: : - Expression for Electrical Conductivity of a Metal (Derivation)
Physics for Electronics Engineering
PH3254 - Physics II - 2nd Semester - ECE Department - 2021 Regulation | 2nd Semester ECE Dept 2021 Regulation