Problems based on Time Variant and Time Invariant System
Examples Based on Time Variant / Time Invariant System
1. y(t) = sin x(t)
Output of the system
for the delayed input

Hence the system is
time invariant.
2. y(t) = t x(t)
Output of the system
for the delayed input is given by

Hence the given system
is time variant.
3. y(t) = x(t) cos
200πt
Output of the system
for the delayed input is given by

Hence the given system
is time variant.
4. y(t) = x(t) cos (t +
1)
Output of the system
for the delayed input is given by

Hence the given system
is time invariant.
5. y(t) = 10x(t) + 5
Output y(t) for the
delayed input.

Hence the given system
is time invariant.
6. 
Output y(t) for the
delayed input is given by

Hence the given system
is time variant. it a
7. y(t) = x(t) cos
(100πt)
Output y(t) for the
delayed input is given by

Hencme the given system
is time variant
8. 
Output y(t) for the
delayed input

Hence the given system
is time invariant.
9. y(t) = x(t+10) + x2(t)
Output y(t) for the
delayed input is given by.

Hence the given system
is time variant.
10. y(t) = x(t2)
Output y(t) for delayed
input is given by

Hence the given system
is time variant
11. y(t) = e x(t)
Output y(t) for the
delayed input is given by

Hence the given system
is time invariant
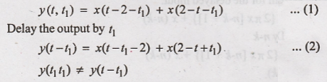
12. y(t) = x(t−2) +
x(2-t)
Output y(t) for the
delayed input is given by

Hence the given system
is time variant.
13. 
Output y(t) for the
delayed input is given by

Hence the given system
is time invariant.
14. y(n) = |x(n)|
Solution:
Output of the system
for the delayed input

Hence the system is
time invariant (or) shift invariant.
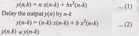
15. y(n) = n x(n) + b x2(n)
Solution:
Output of the system
for the delayed input

Hence the given system
is time variant (or) shift variant.
16. y(n) = cos [2πx
(n+1)] + x(n)
Solution:
Output of the system
for the delayed input.

Hence the given system
is time invariant (or) shift invariant.
17. y(n) = log10(|x(n)|)
Solution:
Output of the system
for the delayed input

Hence the given system
is time invariant (or) shift invariant.
18. y(n) = x(n) +
nx(n+1)
Solution:
Output of the system
for the delayed input

Hence the given system
is time variant (or) shift variant.
19. y(n) = x(2n)
Solution:
Output of the system
for the delayed input

Hence the given system
is time variant (or) shift variant.
20. y(n) ex(n)
Solution:
Output of the system
for the delayed input

Hence the given system
is time invariant
21. y(n) = n x(n)
Solution:
Output of the system
for the delayed input

Hence the given system
is time invariant.
22. y(n) = ax(n)
Solution:
Output of the system
for the delayed input

Hence the given system
is time invariant.
23. y(n) = x(n) u(n)
Solution:
Output of the system
for the delayed input
y(n,k) = x(n-k) u(n)
Delay the output by n-k
y(n-k) = x(n-k) u(n-k)
Hence the given system
is time invariant
24. y(n) = x(n) cos (ω0n)
Solution:
Output of the system
for the delayed input

Hence the given system
is time variant (or) shift variant.
25. y(n) = ax(n) + b
Solution:
Output of the system
for the delayed input.

Hence the given system
is time invariant (or) shift invariant.
26. y(n) = x(-n)
Solution:
Output of the system
for the delayed input

Hence the given system
is time variant (or) shift variant.
27. y(n) = sin [x(n)]
Solution:
Output of the system
for the delayed input

Hence the given system
is time invariant (or) shift invariant.
28. y(n) = 2x(2n)
Solution:
Output of the system
for the delayed input

Hence the given system
is time variant (or) shift variant.
Signals and Systems: Unit I: Classification of Signals and Systems,, : Tag: : - Examples Based on Time Variant and Time Invariant System
Signals and Systems
EC3354 - 3rd Semester - ECE Dept - 2021 Regulation | 3rd Semester ECE Dept 2021 Regulation