The mass acquired by an electron when it is accelerated in a periodic potential is called effective mass of an electron. It is denoted by m*.
EFFECTIVE MASS OF ELECTRON AND HOLE
Effective mass of electron
The
mass acquired by an electron when it is accelerated in a periodic potential is
called effective mass of an electron. It is denoted by m*.
Explanation:
When
an electron is accelerated by an electrical or magnetic field in a periodic
potential, the mass of the electron is not a constant. But, it varies with
respect to the field applied. This varying mass is called effective mass (m*).
Derivation of effective mass of
electron
Consider
a crystal subjected to an electric field of intensity 'E'. Due to this applied
field, the electron gains a velocity which can be described by a wave vector k.
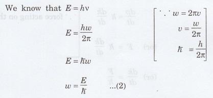
According to wave mechanics, a particle moving with a velocity v is equivalent to a wave packet moving with a group velocity vg
Group
velocity with which the electron can travel
vg = dw/dk
.................(1)
where
w angular frequency of the electro
k → wave vector

Substituting
(2) in (1),

The
acceleration 'a' experienced by the electron is given by

Momentum
(p) of an electron inside the
crystal.

Differentiating
the equation (5) with respect to 't'

Substituting
equation (6) in (4)

When
an electrical field is applied, acceleration of the electron due to this field

(or)
F = m*a .................(8)
Comparing
the equations (7) and (8), we have

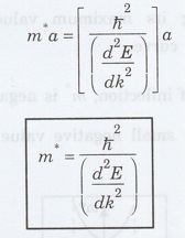
The
above equation indicates that the effective mass of an electron is not a
constant, but depends on the value of d2E/dk2
Special cases:

Variation of m* with k:
Figure
2.21 shows the variation of m* with k.
Near k = 0, the effective mass
approaches m. As the value of k
increases, m* increases reaching its maximum value at the point of inflection
on the E - k curve.
Above
the point of inflection, m* is negative and as k tends to π/α, it decreases to a small negative value.

Physics for Electronics Engineering: Unit II: Electrical and Magnetic Properties of Materials : Tag: : Definition, Derivation - Effective Mass of Electron and Hole
Physics for Electronics Engineering
PH3254 - Physics II - 2nd Semester - ECE Department - 2021 Regulation | 2nd Semester ECE Dept 2021 Regulation