Solved problems of AC Rotating Machines
PROBLEMS
1. A squirrel cage induction motor
has a slip of 4% at full load. Its starting current is fine times the full load
current. The stator impedance and magnetizing current may be neglected; the
rotor resistance is assumed constant.
(a) Calculate the maximum torque
and the slip at which it would occur.
(b) Calculate the starting torque.
Express torque in Pu of the full
load torque.
Solution:

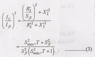
Dividing
Equation (1) by (2)

Substituting
the values

(or)
Smax, T = 0.2 (or) 20%

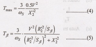
Div.
equation (4) by (5)

(or)
Tmax = 2.6 Pu

2. A small squirrel cage induction
motor has a starting current of six times the full load current and a full-load
slip of 0.05. Find in Pu of full load values, the current (line) and starting
torque with the following methods of starting ((a) to (d)).
(a) Direct startup
(b) Stator resistance startup with
motor current limited to 2 Pu
(c) Auto Transformer starting with
motor current limited to 2 Pu and
(d) Star-delta starting
(e) What auto transformer ratio
would sign 1 pu starting torque?
Solution:
(a)
Direct Switching
IS
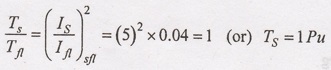
= 6 Pu
TS
= (6)2 × 0.05 = 1.8
(b)
Stator resistance starting
IS
= 2 (Pu) (limited to)
TS
= (2)2 × 0.05 = 0.2 Pu
(c)
Auto transformer starting
X
= 2/6 = 1/3
IS(motor)
= 2 Pu
IS(line)
= (1/3) × 2 Pu = 0.67 Pu
TS
= (2)2 × 0.05 = 0.2 Pu
(d)
Star-Delta Starting
IS
= (1/3) × 6 = 2 Pu
TS
= (1/3) × (6)2 × 0.05 = 0.6 Pu
(e)
Auto transformer starting
TS
= x2 × (6)2 × 0.05 = 1.0 Pu
X = 0.745 ≈ 75% tap
3. A 50 Hz, induction motor wound
for pole-amplitude modulation has 20 initial poles and the modulating junction
has 8 poles. At what two speeds will be motor run?
Solution :
P
= 20, Pm = 8
P1
= 20 – 8 = 12
P2
= 20 + 8 = 28

Hence
P1 poles are suppressed
Speed
(20 Poles) = (120 × 50) / 20 = 300 rpm
Speed (28 Poles) = (120 × 50) / 28 = 214.286 rpm
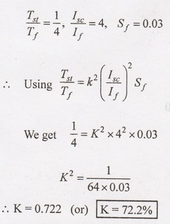
4. Find the percentage tapping
required ah an auto transformer required for a squirrel cage motor to start the
motor against 1/4 of full load torque. The short- circuit coment on normal
voltage is 4 times the full load current and the full load slip of 3%.
Solution :

5. A 20 h.p. (14.92 kW), 400V, 950
rpm, 3 φ,
50 Hz, 6 pole cage motor with 480 V applied takes 6 times full load current at
stand still and develops 1.8 times full load running torque. The full load
current is 30A.
(a) What voltage must be applied to
produce full load torque at starting?
(b) What current will this voltage
produce?
(c) If the voltage is obtained by
an auto-transformer, what will be the line current ?
(d) If starting current is limited
to full load current by auto transformer, what will be the starting torque as a
percentage of full load torque? Ignore the magnetising???
Solution :
(a)
T α V2
Tf α 4002

(b)
6 If α 400; I α 298.1

(c)
K = 298.1/400

(d)
Line current = K2 ISC
Line
current = full load current If
30
= K2 × 6 × 30 [K2 = 1/6]

NS
= (120 ×50)/6
= 1000 rpm
N
= 950 rpm
Sf
= 50/1000 = 0.05
Tst = 0.37f (or) 30% F.L. Torque
6. Determine the suitable auto
transformation ratio for starting a 3 phase induction motor with line current
not exceeding three times the full load current. The shrot circuit current is 5
times the full load current and full load slip is 5%. Estimate also the
starting torque in terms of the full load torque.
Solution:
Supply
line current = K2ISC
It
is given that supply line current at start equals 3If and short
circuit current ISC = 5 If where If is the
full load current
3If
= K2 × 5 If (or) K2 = 0.6
K
= 0.775 (or) 77.5%
In
the case of an auto-load startor

Tst = 0.75 If = 75% of full load torque.
7. The full load slip of a 400V, 3
phase cage induction motor is 3.5% and with locked rotor, ful! load current is
circulated when 92 volt is applied between lines. Find necessary tapping on an
auto-transformer to limit the starting current to twice the full-load current
of the motor. Determine also the starting torque interms of the full load
torque.
Solution :
Short
circuit with full normal voltage applied is
ISC
= (480/92) If = (100/23) If
Supply
line current = Ist = 2If
Now,
line current Ist = K2Isc
K2
= 0.46; K = 0.678 (or) 67.8%

8. The full load efficiency and
power factor of a 12 kW, 440V, 3-phase induction motor are 85% and 0.8 lag
respectively. The blocked rotor line current is 45 A at 220V. Calculate the
ratio of starting to full and current. If the motor is provided with a
star-delta staror. Neglect magnetising current.
Solution :
Blocked
rotor current will full voltage applied.

Ist / If = 52/23.1 = 2.256
9. A 3-phase, 6 pole, 50 Hz
Induction motor takes 60A at full load speed of 940 r.p.m. and develops a
torque of 150 N.m. The starting current at rated voltage is 300A. What is the
starting torque? If a star/delta stator used, determing the starting torque and
startor current.
Solution :

If
= 60 A (line value)
Sf
= (1000-940)/1000 = 0.06
Tf
= 150 N-m

λ
– Δ Startor used
Ist
= (1/3) × Ist with direct starting = 300/3 = 100 A
Starting Torque = 225/3 = 75 N-m
10. Determine approximately the
starting torque of an induction motor in terms of full load torque when started
by means of (a) a star delta switch (b) an auto transformer with 70.7% tapping.
The short circuit current of the motor at normal voltage is 6 times the full
load current and the full load slip is 4%. Neglect the magnetising current.
Solution:
=
0.48
Tst
= 0.48 Tf (or) 48% of F.L Value
(b)
K =0.707 = 1/√2 ; K2 = ½
=
0.72
Tst = 0.72 Tf (or) 72% of Tf
11. A 15 h.p. (11.2 kw), 3φ, 6
pole, 5 Hz, 400V, Δ-connected induction motor runs at 960 r.p.m. on full load.
If it takes 86.4A on direct starting. Find the ratio of starting torque to full
load torque with a star-delta startor. Full load efficiency and power factor
are 88% and 0.85 respectively.
Solution:
ISc
/ Phase = (86.4/√3) A
Ist
perphase = 1/√3 , ISc perphase = 86.4/(√3 × V) = 28.8A
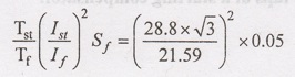
Full
load input line current may be found from
√3
× 400 × IL × 0.85 = 11.2 × 103 / 0.88
F.L
Iph = 21.59/√3 A
Full-load
IL = 21.59A
If
= (21.59/√3) A perphase
NS
= 120 × (50/6) = 1000rpm
N
= 950; Sf = 0.05

Tst
= 0.267 Tf (or) 26.7% F.L Torque
12. Find the ratio of starting current to full load current in a 10 kW (output), 400V, 3-phase induction motor with star/delta startor given that full load p.t. is 0.85, the full load efficiency is 0.88 and ???? at 200V is 40A. Ignore magnetising current.
Solution:
F.L.
line current drawn by the D-connected motor may be found from
√3×400×1×0.85=10
× (1000/0.88)
IL
= 19.3A
Now
with 200V, the line value of S.C. current of the Δ-connected motor is 40A. If
full normal voltage were applied, the line value of S.C. current would be
=
40 × (400/200) = 80A
ISC
(line value) = 80A
ISC
(phase value) = (80/√3)
Since
during starting, motor is star connected,
Ist
perphase = line value of ISC = 80/3A
Line value of starting current/live value of F.L current = (80/3)/19.3 = 1.38
13. A5 h.p (3.73 kw), 400V, 3φ,
50Hz cage motor has a full load slip of 4.5%. The motor develops 250% of the
rated torque and draws 650% of the rated current when known directly on the
line. What would be the line current, motor current and the starting torque if
the motor were started (i) by means of a λ-Δ starter and (ii) by converting
across 60% taps of a starting compensator.
Solution:
(i)
Line current = (1/3) × 650 = 216.7%
λ
– connected
IL
= Iph
Motor
current =650/3 = 216.7%
Tst
= 250/3 = 83.3%
(ii)
Line current = K2 × ISC = (60/100)2 × 650 =
234%
Motor
current = K × ISC = (60/100) × 650 = 390%
Tst = K2 × TSC = (60/100)2 × 250 = 90%
14. An 6 pole, 3 phase induction
motor is connected to 50 Hz supply. If it is running at 960 rpm, find the slip.
Solution:
Given
data:
(i)
P = 6, (ii) f= 50 Hz, (iii) N = 960 rpm.
Synchronous
Speed,
NS
= 120 ƒ / P = (120×50)/6
NS
= 1000 rpm.

S = 0.04 (or) 4%.
15. An 2 pole, 3 phase, 50 Hz
induction motor is running on no load with slip of 4% calculate.
(i) Synchronous Speed (ii) Speed of
the Motor.
Solution:
Given
data:
1.
P=2, 2. f= 50 Hz, 3. S=4% (or) 0.04.
(i)
Synchronous Speed (N):
NS
= 120 f / P = (120×50) / 6
NS
= 3000 rpm.
(ii)
Speed of the Motor (N):
N
= NS (1-S) = 3000 (1 − 0.04)
N = 2880 rpm.
16. An 3 φ, 4 pole, 50 Hz induction motor is
running at 1440 rpm determine the slip speed and slip.
Solution:
Given
data:
1.
No. of poles, P = 4, 2. Supply frequency, f= 50 Hz, 3. Motor speed, N = 1440
rpm.
To find:
(i)
Slip speed.
(ii)
Slip.
Solution:
(i)
Slip Speed (NS - N):
NS
= 120 f / P = (120×50)/4 = 1500 rpm
NS
- N = 1500 - 1400 = 60
Slip
Speed = 60 rpm.
(ii)
Slip (S):
S
= (NS - N)/NS = (1500-1400)/1500
S = 0.04.
17. A 6 pole, 50 Hz, 3 φ induction motor runs at 800 rpm
at full load. Determines the value of slip at this load condition.
Solution:
Given
data:
1.
No. of poles, P = 6, 2. Frequency, f= 50 Hz, 3. Speed, N = 800 rpm.
To find:
(i)
Slip (S):
S
= ((NS-N)/NS) × 100
NS
= 120ƒ/P = (120×50)/6 = 1000rpm
S
= ((1000-800)/1000) × 100
S = 0.2 (or) 20%.
18. An 3-phase, 50 Hz induction
motor run at 960 rpm on full load, find the number of poles and slip speed.
Solution:
Given
data:
(i)
Frequency, F = 50 Hz, (ii) Speed, N = 960 rpm.
To find:
(i)
No. of poles P.
(ii)
Slip speed (NS−N).
1000
rpm is the nearest synchronous speed for 960 rpm.
NS
= 120ƒ/P ═> P = 120f/Ns = (120×50)/1000 = 6
P=
6.
Slip
speed = NS - N = 1000-960 = 40 rpm.
Slip Speed = 40 rpm.
19. An 3 phase, 6 pole, 50 Hz
induction motor runs at 960 rpm. Find the slip.
Solution:
Given
data:
(1)
No. of poles, P = 6. (2) Frequency, F = 50 Hz. (3) Motor speed, N = 950 rpm.
To find:
(1)
Slip (S).
Synchronous Speed
NS
= 120ƒ/P = (120×50)/6
NS
= 1000 rpm.
Slip:
S
= ((NS - N)/NS) × 100 = ((1000-950)/1000) × 1000 = 0.05
(or) 5%
S = 5%.
20. The following data refers to a
10-pole, 400 V, 50 Hz 3φ induction motor R1=1.75 Ω, X1 =
=5.5 Ω, R2' = 2.25 Ω, X2' = 6.6 Ω.
When the motor is tested on no- load, it is observed that it takes 3.8 A (line
current) and the total core loss is 310 W. By using approximate equivalent
circuit at 4% slip, calculate: (i) The rotor current, (ii) Supply current and
power factor, (iii) Mechanical power developed, (iv) Gross load torque and (v)
Draw the equivalent circuit.
Solution:
Stator
resistance R1 = 1.75 Ω
Stator
reactance X1 = 5.5 Ω
Rotor
resistance referred to stator R2' = 2.25 Ω
Rotor
reactance referred to stator X2' = 6.6 Ω
Total
core loss = 310 W
No-load
line current I0 = 3.8 A
If
cos φ0 is the power factor at no-load, then
√3
VL I0 cos φ0 = 310









21. A 220 V, 3 phase, 4 pole, 50 Hz
Y-connected induction motor is rated 3.78 kW the equivalent circuit parameter
are R1 = 0.45 Ω, X1 = 0.8 Ω, R2' = 0.4 Ω, X2' = 0.8 Ω, B0=1/30. The stator core
loss is 50 W and rotational losses is 150 W. For a slip of 0.04, find input
current, Pf, air gap power, mechanical power, electromagnetic torque output
power and efficiency. Draw the equivalent circuit and mark the parameters
given.
Solution:
(i)
Power factor = cos 25.8 = 0.9 lag
cos
φ = 0.9 lagging.

(iii)
Mechanical power developed Pm
Pm
= (1-S) P2 = (1 - 0.04) x 4.52 = 3986 W
Pm = 3986 W.



22. A 4 pole alternator has an
armature with 85 slots and 8 conductors per slot and rotates at 1500 rpm and
the flux per pole is 0.05 wb. Calculate the emf generated, if winding factor is
0.96 and all the conductors are in series.
Solution:
N
= 1500 rpm, φ = 0.05 wb, f=50 Hz, P = 4,
No.of
Slots = 25, No. of Conductor/Slot = 8.
No.
of armature conductors = 25 × 8 = 200
No.
of turns Tph = Zph/2 = 200/2 = 100
Winding
factor kw = kp kd = 0.96
f
= PN/120 = (4×1500)/120 = 50 Hz.
Generated
emf/phase = 4.44 f φ Tph kd kp = 4.44 × 50 ×
0.05 × 100 × 0.96 Volts
Eph = 1065.6 Volts.
23. A 4 poles 50 Hz star connected
alternator has a flux per pole of 0.12 wb. It has 4 slots per pole of phase,
conductors per slot being 4. If the winding coil span is 150°, find the emf.
Solution:
No.
of slots/pole/phase m = 4.
No.
of slots per pole n = m × No. of phases = 4 × 3 = 12.
No.
of slots per phase = m × No. of poles = 4 × 4 = 16.
No.
of conductors connected in series per phase.
Zph
= No. of conductors/slot × No. of slots per phase = 4 × 16 = 62.
No.
of turns per phase, Tph = Zph/2 = 64/2 = 32.
Angular displacement between the slots, B = 180°/n = 180°/12 = 15.

kd
= sin 30°/4 sin 7.5° = 0.5/0.5221 = 0.9576
Chording
angle α = 180° - Coil span = 180° - 150° = 30°
Pitch
factor kp = cos α/2 = cos (30°/2) = 0.9659
Phase
voltage = 4.44 f φ Tph kd kp = 4.44 × 50 ×
0.12 × 32 × 0.9686 × 0.9576
Eph
= 788.497 V
Line
voltage = EL = √3 × 788.497 = 1365.718 Volts
EL = 1365.718 V
24. A three-phase induction motor
is supplied at 50 Hz and is wound for 4 poles. Calculate (i) Synchronous speed,
(ii) Speed when the slip is 3%, (iii) Frequency of the rotor emf when it runs
at 1200 rpm.
Solution:
Supply
frequency f= 50 Hz, No. of poles P = 4.
(i)
Synchronous Speed NS = 120ƒ/P = (120×50)/4 = 1500 rpm
NS
= 1500 rpm.
(ii)
Speed when the slip 8%
S
= 0.03
N = NS (1-S) = 1500 (1-0.03)
N=1455
rpm.
(iii)
N=1200 rpm
ff
= Sf,
Slip
(S) = (NS - N)/NS = (1500-1200)/1500 = 0.2
fr
= 0.2 × 50
fr = 10 Hz.
25. For a 4 pole, 3φ, 50Hz
induction motor ratio of stator to rotor turns is 3. On a certain load, its
speed is observed is to be 1450 rpm. When connected to 415 V supply calculate
(i) frequency of rotor emf in running condition, (ii) magnitude of induced emf
in the rotor at standstill, (iii) magnitude of induced emf in the rotor under
running condition. Assume star connected stator.
Solution:
P
= 4, f= 50 Hz, EIL = 415 V Stator Side line voltage = 415 V Stator
Side line voltage
k
= Rotor turns / Stator turns = 1/8 = 0.333; N = 1450 rpm.
(i)
NS = 120ƒ/P = (120×50)/4 =1500 rpm
N
= 1450 rpm
S
= (NS - N)/NS = (1500–1450)/1500 = 0.033
fr
= Sf = 0.033 × 50 = 1.66 Hz.
(ii)
Magnitude of induced emf in the rotor at standstill (E2ph)
k = E2ph / Elph = rotor turns / stator turns
E1ph
= Stator side phase voltage
E1L
=415 V; E2ph = rotor side phase voltage
E1ph
= 415/√3 = 239.6 V ; E2ph/E1ph = 0.333
E2ph = 0.333 × 239.6 V
E2ph = 79.78 V.
(iii) Under Running condition
E2r
= SE2 = 0.033 × 79.78 = 2.68 V.
Electrical and Instrumentation Engineering: Unit III: AC Rotating Machines : Tag: : - Solved Example Problems of AC Rotating Machines
Electrical and Instrumentation Engineering
BE3254 - 2nd Semester - ECE Dept - 2021 Regulation | 2nd Semester ECE Dept 2021 Regulation