All the oscillators using tuned LC circuits operates well at high frequencies. At low frequencies, as the inductors and capacitors required for the time circuit would be very bulky. RC oscillators are found to be more suitable. Two important RC oscillators are (i) RC phase shift oscillator and (ii) Wien Bridge Oscillator.
RC OSCILLATORS
All the oscillators using tuned LC circuits operates well at high frequencies. At low frequencies, as the inductors and capacitors required for the time circuit would be very bulky. RC oscillators are found to be more suitable. Two important RC oscillators are (i) RC phase shift oscillator and (ii) Wien Bridge Oscillator.
In
this oscillator the required phase shift of 180° in the feedback loop from
output to input is obtained by using R and C components instead of tank
circuit.
The
Fig.4.15 shows the circuit of RC phase shift oscillator using cascade
connection of high pass filter.


Here
a common emitter amplifier is followed by three sections of RC phase shift
network, the output of the last section being returned to the input. In order
to make the three RC sections identical, R3 is choosen as R3
= R - Ri.
Where
Ri - input impedance of the circuit. The phase shift, φ given by
each RC section is
If R is made zero then φ will become 90°.
But making R = 0 is impracticable because if R is zero, then the voltage across
it will become zero. Therefore, in practice the value of R is adjusted such
that becomes 60°.
If
the values of R and C are chosen that for the given frequency fo,
the phase shift of each RC section is 60°. Thus such a RC ladder network
produces a total phase shift of 180° between its input and output voltages for
the given frequency. Therefore, at the specific frequency fo, the
total phase shift from the base of the transistor around the circuit and back
to the base will be exactly 360° or 0°, thereby satisfying Barkhausen condition
for oscillation. The frequency of oscillation is given by

At
this frequency, it is found that the feedback factor of the network is |β| =
1/29. In order that |Aβ| shall not be less than unity, it is required that the
amplifier gain |A| must be more than 29 for oscillator operation.
The
RC phase shift oscillator is suitable for audio frequencies only. Its main
drawbacks are that the three capacitors or resistors should be changed
simultaneously to change the frequency of oscillation and it is difficult to
control the amplitude of oscillation without affecting the frequency of
oscillation.
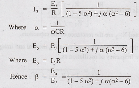
Analysis
From
4.15 (b), we can write the following three equations


Solving
the above simultaneous equations, we get

For
determining the frequency of oscillation the phase shift, ie., the imaginary
part must be equal to zero.
Hence

The
condition for maintanence of oscillation is obtained by substituting α = √6
into β thus, we get

Hence
a transistor with gain < 29 cannot be made to oscillate in a circuit and the
frequency of oscillation may be varied by changing any of the impedance element
in the phase shifting network.
WIEN BRIDGE OSCILLATOR
The
Fig. 4.16 shows the circuit of Wien-bridge oscillator. The circuit consists of
a two-stage RC coupled amplifier which provides a phase shift of 360° (or) 0°.
A balanced bridge is used as the feedback network which has no need to provide
any additional phase shift.
The
feedback network consists of a lead-lag network provides a positive feedback to
the input of the first stage and the voltage divider provides a negative
feedback to the emitter of Q1.
If
the bridge is balanced, 
Where
XC1 and XC2 are the reactance of the capacitors.
Simplifying
the above equation and equating the real and imaginary parts on both sides, we
get the frequency of oscillation as,

The
ratio of R3 to R4 being greater than 2 will provide a
sufficient gain for the circuit to oscillate at the desired frequency. This
oscillator is used in commercial audio signal generators.

Electronic Devices and Circuits: Unit IV: Feedback Amplifiers and Oscillators : Tag: : RC Phase Shift Oscillator, Wien Bridge Oscillator - RC Oscillators
Electronic Devices and Circuits
EC3353 - EDC - 3rd Semester - ECE Dept - 2021 Regulation | 3rd Semester ECE Dept 2021 Regulation