The properties of the Fourier series are as follows. (i) Linearity (ii) Time shift (iii) Frequency shift (iv) Scaling (v) Differentiation in time (iv) Convolution in time (vii) Modulation (viii) Symmetry
PROPERTIES
OF FOURIER SERIES
The properties of the
Fourier series are as follows.
(i) Linearity
(ii) Time shift
(iii) Frequency shift
(iv) Scaling
(v) Differentiation in
time
(iv) Convolution in
time
(vii) Modulation
(viii) Symmetry
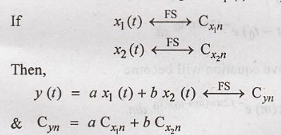
(i) Linearity
The Fourier series
equation is given by

From the above
equation, x(t) has the Coefficient Cn. Let these coefficient be defined
as Cx n.
The signal x(t) &
its coefficients Cx n is called the Fourier series Pair.

Now let us consider Two
signals x1(t) & x2(t) which are defined as follows.

To
Prove:

Proof:
By definition of Cx,
the equation is given as,

Hence proved
Thus from the above
equation the Fourier series coefficients are also linearly related.
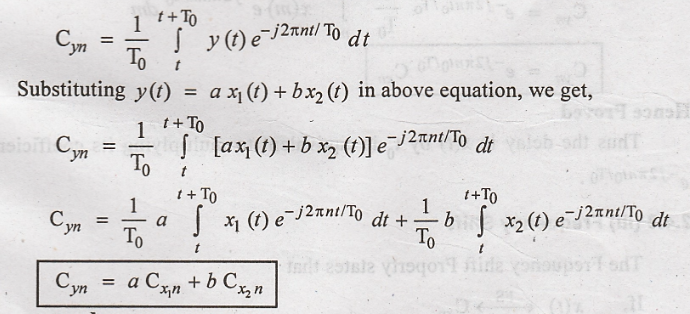
(ii) Time Shift
It states that

To
Prove:

Proof :

Substituting y(t) = x(t-t0)
in the above equation,

Let t - t0 =
m, then the above equation will become

In the above equation
the limits of integration are over one period of x(m)

Hence Proved
Thus the delay in x(t)
by t0 is equivalent to multiplying its coefficient by 
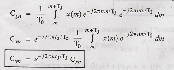
(iii) Frequency Shift
The Frequency shift
Property states that

To
Prove:

Proof :
By definition of Cn,
we have,

Hence Proved
Thus shifting the
frequency components by no is equivalent to multiplying x(t) by 
(iv) Scaling
The scaling property
stats that,

To
Prove:

Proof:
By definition of Cn,
we have,

If x(t) is periodic
then y(t) = x(at) is also Periodic
If T is the period
x(t), then period of y(t) will be T/a.
.'. Substitute T0
as T0/a in the equation of Cyn as same as Cxn.

Substituting equation
(2) & (3) in equation (1), we get

Hence Proved
Thus after Time
scaling, the Fourier series Coefficients are same. But the spacing between the
components changes from 1/T0 to a/T0.
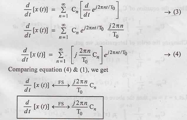
(v) Differentiation in Time
This property states
that,

To
Prove:

Proof :
From the definition of
Fourier series x(t) can be written as,

Differentiating both
sides with respect to 't',

Changing the order of
summation & Differentiation,

Hence Proved
Thus differentiating
the signal is equivalent to multiplying its coefficients by j2πn/T0.
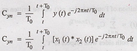
(vi) Convolution in Time
This property states
that,

To
Prove:

Proof :
By the Fourier series
definition, we have the equation as,

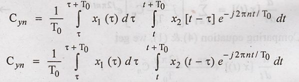
Substituting y(t) = x1(t)
* x2(t) in the above equation and using the convolution formula,
The intergration is
above for one period for periodic signals.
Hence the equation of Cyn,
now can be written as follows,

Changing the order of
Integrations, we get,

Let t - τ = m, then the
above equation will be,


Hence Proved.
Thus the Convolution of
the two sequences results in multiplication of their coefficients and T0.
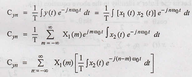
(vii) Modulation
This property states
that,

To
Prove:

Proof :

The term inside the
bracket indicates Fourier co-efficient X2(n-m)

(viii) Symmetry Property
It states that if x(t)
is real then

To
Prove:

Proof :
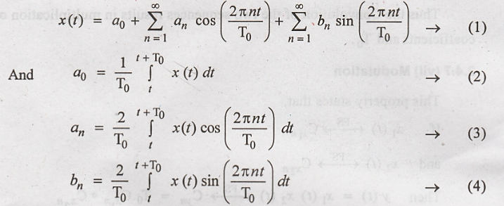
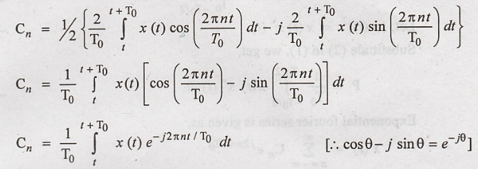
Quadrature/Trignometric
Fourier series :

The equation (1) is
written as,

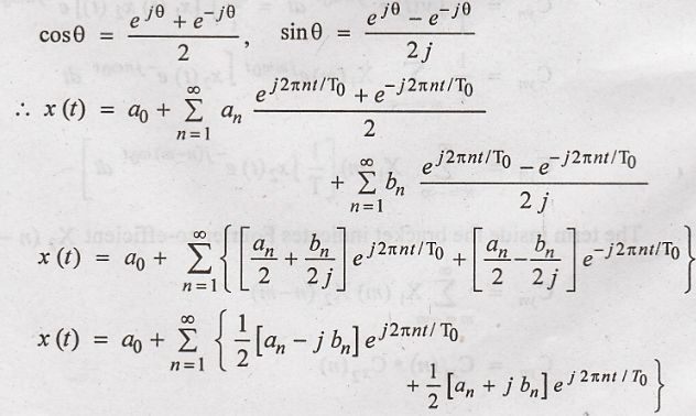
Let us use Euler's
identity in the above equation (i.e).,


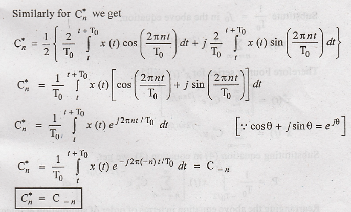
Then, complex conjugate
of Cn will be,

Substituting the values
of an & bn from equation (3) & (4) in equation
(5) & (6)


Hence Proved.
Parseval's Power Theorem
Statement of the Theorem:
It states that the
Total average power of the periodic signal x(t), is equal to the sum of the
average powers of its phasor components.
Parseval's Power Theorem:
Total Average Power: 
Proof :
The Total Normalized
average power 'P' of the signal x (t) is given as,

Substitute (2) in (1),
we get,

Exponential fourier
series is given as,

Substitute 1/T0
= f0 in the above equation,

Therefore Fourier
series for x*(t) will be,

Substituting equation
(4) in equation (3), we get,

Rearranging the above
equation in terms of order of summation & Integration.

Hence Parseval's
Theorem is proved
Signals and Systems: Unit II: Analysis of Continuous Time Signals,, : Tag: : Parseval's Power Theorem - Properties of Fourier Series
Signals and Systems
EC3354 - 3rd Semester - ECE Dept - 2021 Regulation | 3rd Semester ECE Dept 2021 Regulation