Inverse Laplace transform of any function F(S) is obtained by the following methods a. Inverse Laplace transform using partial fraction expansion b. Inverse Laplace transform using convolution integral.
INVERSE
LAPLACE TRANSFORM
Inverse Laplace
transform of any function F(S) is obtained by the following methods
a. Inverse Laplace
transform using partial fraction expansion
b. Inverse Laplace
transform using convolution integral.
Inverse Laplace Transform using Partial Fraction Expansion
Case
1:
Simple and real roots.
X(s) is expanded in
partial fraction as

Here the roots S0,
S1, S2 are considered as real.
Then value of M0,
M1, M2, ... Mn are calculated as follows.

Then general equation
is written as.

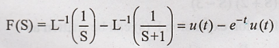
(1) Determine inverse
Laplace transform of following function.

Solution:

By using partial
fraction expansion, F(s)can be written as

Substitute A & B
value in F(s)

Taking inverse Laplace
transform on both sides.

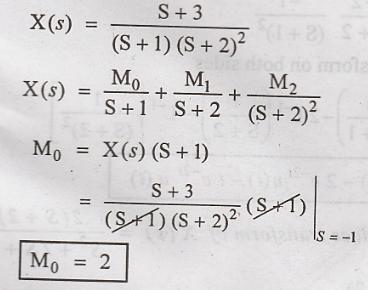
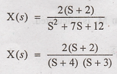
(2) Find inverse
Laplace transform of X(s) = 
Solution:

By using partial
fraction expansion X(s) can be written as


Substitute A & B
value in X(s)

Taking inverse Laplace
transform on both sides

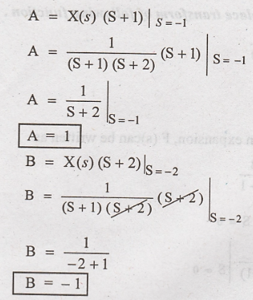
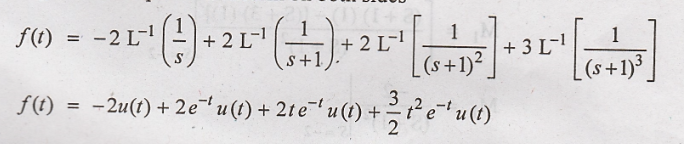
3. Find inverse Laplace
transform on F(s) = 
Solution:

By using partial
fraction expansion F (s) can be written as


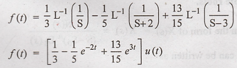
Substitute A,B,C Values
in F (s)

Taking inverse Laplace
transform on both sides

4. Obtain the inverse
Laplace transform of the following function

Solution:

Substitute A & B
value in X(s)

Taking inverse Laplace
transform on both sides

Case
ii:
Multiple roots.
If X(s) is in the form of
X(s) = 
Then F (s) can be
written as

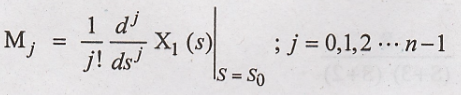
M0, M1,
M2, ... Mn-1 values are calculated using the general
method as follows,

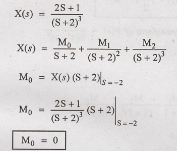
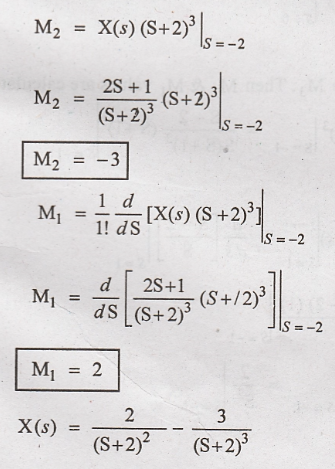
1. Find the inverse
Laplace transform of the following function.

Solution:

First we should
calculate M2. Then M1 is calculated.

Taking inverse Laplace
transform on both sides.

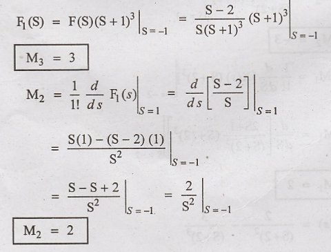
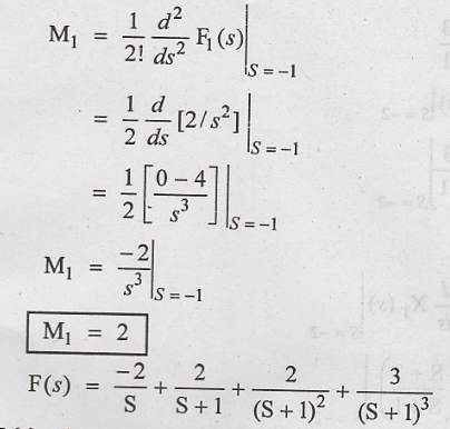
2. Find inverse Laplace
transform of F(s) = 
Solution:

First we should
calculate M3. Then M2 & M1 values are
calculated.


Taking inverse Laplace
transform on both sides

3. Find the inverse
laplace transform of X(s) = 
Solution:

First we should
calculate M2. Then M1 is calculated.



Taking inverse Laplace
transform on both sides

4. Determine the
inverse Laplace transform of X(s) = 
Solution:


Taking inverse Laplace
transform on both sides.

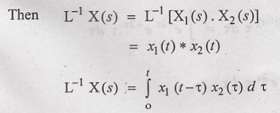
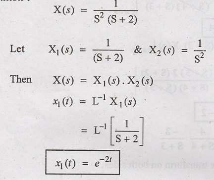
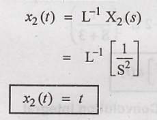
Inverse Laplace Transform using Convolution Integral
If L[x1(t)]
= X1(s) and L[X2(t)] = X2(s), then according
to convolution theorem

If X(s) is expressed as
the product of X1(s) and X2(s)

Problems
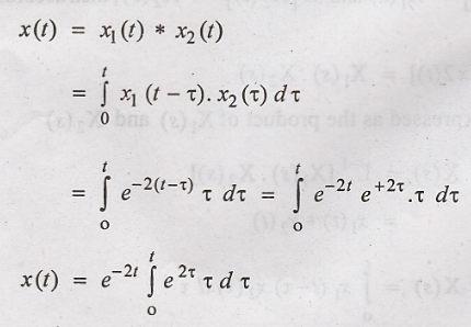
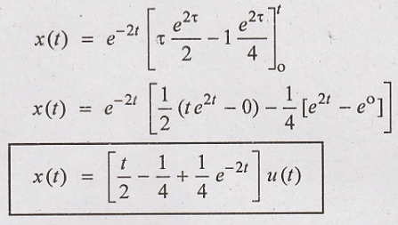
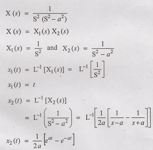
1. Find inverse Laplace
transform of X(s) =
using convolution integral.
Solution:


Convolution of and x1(t)
and x2(t) gives the value of x(t)

using Integration by
parts.

2. Determine the
inverse Laplace transform of using
convolution theorem.
Solution:

Convolution of x1(t)
and x2(t) gives the value of x(t)

Signals and Systems: Unit II: Analysis of Continuous Time Signals,, : Tag: : Inverse Laplace Transform using Partial Fraction Expansion, Inverse Laplace Transform using Convolution Integral - Inverse Laplace Transform
Signals and Systems
EC3354 - 3rd Semester - ECE Dept - 2021 Regulation | 3rd Semester ECE Dept 2021 Regulation