Introduction and Details of Hartley Oscillator
HARTLEY OSCILLATOR
Hartley oscillator shown in Fig. 4.13, Z1 and Z2 are inductors and Z3 is a capacitor. resistors R1, R2 and RE provide the necessary dc bias to the transistor.
CE
is a bypass capacitor CC1 and CC2 are coupling
capacitors. The feedback network consisting of inductors L1 and L2,
and capacitor C determines the frequency of the oscillator.
When
the supply voltage +VCC is switched ON, a transient current is
produced in the tank circuit and consequently, damped harmonic oscillations are
set up in the circuit.
The
oscillatory current in the tank circuit produces ac voltages across L1
and L2. As terminal 3 is earthed, it is at zero potential. If
terminal 1 is at a positive potential with respect to 3 at any instant,
terminal 2 will be at a negative potential with respect to 3 at the same
instant.
Thus
the phase difference between the terminal 1 and 2 is always 180°. In the CE
mode, the transistor provides the phase difference of 180° between the input
and output. Therefore the total phase shift is 360°. Thus at the frequency
determined for the tank circuit, the necessary condition for sustained
oscillation is satisfied. If the feedback is adjusted so that the loop gain Aβ
= 1, the circuit acts as an oscillator.

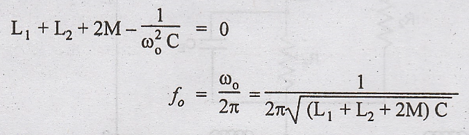
The
frequency of oscillation is fo = 
Where
L
= L1 + L2 + 2M
M
- Mutual inductance between the coils L1 and L2.
The
condition for sustained oscillation is

Analysis
In
the Hartley oscillator Z1 and Z2 are inductive reactances
and Z3 is the capacitive reactance. If M is the mutual inductance
between the inductors, then

Substituting
these values in oscillator equation, hie (Z1 + Z2
+ Z3) + Z1 Z2 (1+ hfe) + Z1
Z3 = 0 and simplifying, we get
0
The
frequency of oscillation fo = ωo/2π can be determined by
equating the imaginary part to zero

The
condition for maintenance of oscillation is

Electronic Devices and Circuits: Unit IV: Feedback Amplifiers and Oscillators : Tag: : - Hartley Oscillator
Electronic Devices and Circuits
EC3353 - EDC - 3rd Semester - ECE Dept - 2021 Regulation | 3rd Semester ECE Dept 2021 Regulation