Definition of Continuous Time Fourier Transform, Inverse Fourier transform, Existence of Fourier Transform-Dirichlet Condition, Fourier Transform Properties
CONTINUOUS
TIME FOURIER TRANSFORM
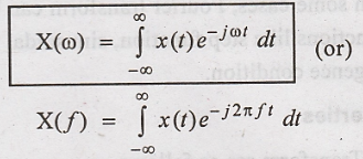
Definition of Continuous Time Fourier Transform
Let us consider the
continuous time signal x(t). Fourier transform of x(t) is defined as

⇒ Frequency domain
representation of the signal.
Inverse Fourier transform
x(t) is obtained by
taking inverse transform of X(ω)

Fourier transform pair

Fourier transform of
x(t) is X(ω) .

Inverse Fourier transform
of X(ω) is x(t).
Existence of Fourier Transform-Dirichlet Condition
The Fourier transform
does not exist for all aperiodic functions. The conditions for a function x(t)
to have Fourier transform, called Dirichlet's conditions, are:
1. x(t) is absolutely
integrable over the interval -∞ to ∞, that is 
2. x(t) has a finite
number of discontinuities in every finite time interval. Further, each of these
discontinuities must be finite.
3. x(t) has a finite
number of maxima and minima in every finite time interval.
Almost all the signals
that we come across in physical problems satisfy all the above conditions
except possibly the absolute integrability condition.
Dirichlet's condition
is a sufficient condition but not necessary condition. This means, Fourier
transform will definitely exist for functions which satisfy these conditions on
the other hand, in some cases, Fourier transform can be found with the use of
impulses even for functions like step function, sinusoidal function, etc.,
which do not satisfy the convergence condition.
Fourier Transform Properties
The properties of
Fourier Transform are as follows,
(i) Linearity
(superposition)
(ii) Duality or
symmetry property
(iii) Time shifting
(iv) Frequency shifting
(v) A rea under x(t)
(vi) Area under X(f)
(vii) Differentiation
in Time Domain
(viii) Integration in
Time Domain
(ix) Conjugate
Functions
(x) Multiplication in
Time Domain (Multiplication Theorem)
(xi) Convolution in
time domain
(xii) Time scaling
(Convolution Theorem)
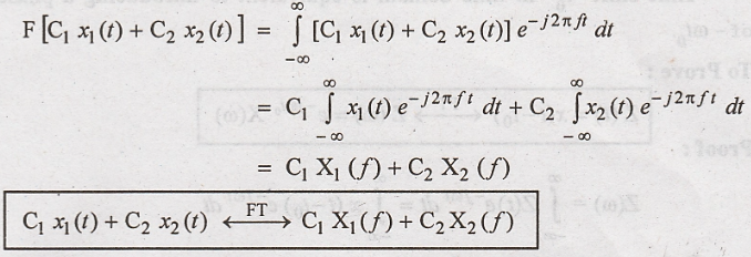
Linearity
Let x1(t) ↔
X1(f) represent a fourier transform pair and
x2(t) ↔ X2(f)
represent another fourier transform pair.
Then for all constants
like C1 & C2 we have,

To
Prove:

Proof:
By the definition of
Fourier Transform,

Hence Proved
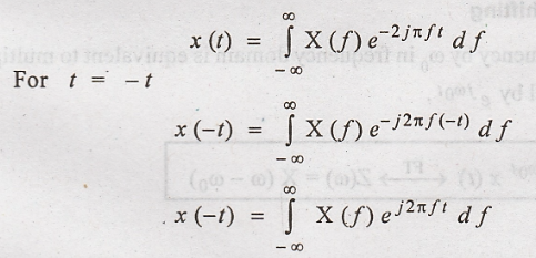
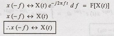
Duality or Symmetry
Property
Duality property of
Fourier Transform states that if,

To
Prove:

Proof :
By the definition of
inverse Fourier transform we have,

Interchanging 't' and
'f' we get,

Time Shifting
Time shift
"t0" in time domain is equivalent to introducing a phase shift of -
To
Prove:

Proof :

Hence Proved.
Frequency Shifting
Shifting the frequency
by ω0 in frequency domain is equivalent to multiplying the time
domain signal by 
To
Prove:

Proof :

Hence Proved.
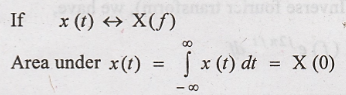
Area Under x(t)

To
Prove:

(ie) Area Under x(t) is
equal to its Fourier Transform at zero frequency.
Proof :
By definition of
Fourier Transform,

Hence Proved
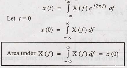
Area Under X(f)

To
Prove:

That is, the area Under
Fourier transform spectrum of a signal is equal to its value at t = 0
Proof :
By the definition of I
F T, (Inverse fourier transform), we have,

Hence Proved
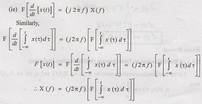
Differentiation in
Time Domain
Differentiation in time
domain is corresponds to multiplying by jω in frequency domain.
To
Prove:

Proof :

Hence Proved.
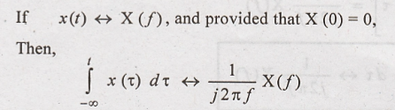
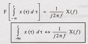
Integration in Time
Domain

Assuming that X(0) = 0,
the integration of x(t) in time domain has the effect of dividing its Fourier
transform by (j2πf).
To
Prove:

Proof :
Let x(t) be expressed
as,

We known that x(t) ↔ X(f)

By the property of
differentiation,


Hence Proved
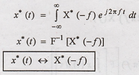
Conjugate Functions
If, x(t) ↔ X(f) then
for complex valued time function x(t), we have,
x*(t) ↔ x*(-f)
To
Prove:
x*(t) → x*(-f)
Proof:
By definition of
Inverse Fourier Transform,

By taking complex conjugates
on both sides,

Now, by replacing 'f'
by '-f', we get,

Hence Proved
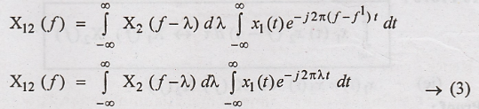
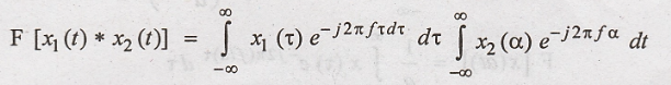
Multiplication in
Time Domain (Multiplication Theorem)
Let the two Fourier
transform pairs be x1(t) ↔ X1(f) and x2(t) ↔ X2(f),
then

To
Prove:

The Multiplication of
two signals in "Time domain"
is transformed into convolution of their Fourier transforms in "Frequency domain".
Proof:
Consider the RHS of the
above equation, (ie)

In other words we have,

[By definition of
Fourier Transform]
We know that, x2(t)
can be written by Inverse Fourier Transform as,

Substitute equation (2)
in equation (1), we get,

Let us consider λ = f –
f 1 then by rearranging the above equation,

By the definition of
Fourier transform we have,

Substituting equation
(4) in equation (3), we get,

Hence Proved
This property is
sometimes called as "Multiplication
Theorem".
The above equation can
also be written as,

Hence Proved
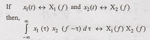
Convolution in Time
Domain (Convolution Theorem)

This property states
that convolution of two signals in "Time
domain" is transformed into multiplication of their individual Fourier
transforms in "Frequency domain".
To
Prove:

Proof :
Convolution of x1(t)
and x2(t) is given as,


Let t - τ = α in second
integral of the above equation,

From the definition of
Fourier transform, the right hand side of the above equation can be written as
follows,

Hence Proved
Time Scaling
Let x(t) & X(f) be
a Fourier transform pair and 'a' is some constant.
Then by time scaling
property,

To
Prove:

Proof:
By the definition of
Fourier transform, we have,


Substituting equation
(2) in (1), we get.

Hence Proved
Signals and Systems: Unit II: Analysis of Continuous Time Signals,, : Tag: : Existence of Fourier Transform-Dirichlet Condition, Fourier Transform Properties - Continuous Time Fourier Transform
Signals and Systems
EC3354 - 3rd Semester - ECE Dept - 2021 Regulation | 3rd Semester ECE Dept 2021 Regulation