A subset W of a vector space V over a field F is called a sub-space of V if W is a vector space over F with the operations of addition and scalar multiplication defined on V.
SUB-SPACES
Definition: Sub-spaces
A subset W of a vector
space V over a field F is called a sub-space of V if W is a vector space over F
with the operations of addition and scalar multiplication defined on V.
Note
1. In any vector space
V, V and {0} are subspaces
2. {0} is called the
zero subspace of V.
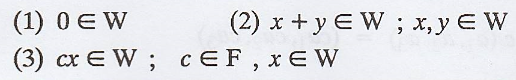
3. A subset W of a
vector space V is a sub-space of V if and only if the following four properties
holds
(a) x + y ε W whenever
x ε W and y ε W
(b) c x ε W whenever c
ε F and x ε W
(c) W has a zero
vector.
(d) Each vector in W
has an additive inverse in W.
Example
:
Consider 
It is a vector space
for addition and scalar multiplication of vectors.
Consider 
We can easily see that
it is a vector space for addition and scalar multiplication of vectors.
Further W C V
.'. W is a vector
sub-space of V.
(a)
Function subspace Fn
Theorem:
Let V be a vector space
and W a subset of V. Then W is a subspace of V if and only if the following
three conditions hold for the operations defined in V.

Proof :
Given: V is a vector
space and W is a subset of V.
If
part: W is a subspace of V then prove that (a), (b) &
(c) conditions.
Proof
:
By definition of W is a subspace of V, (b) and (c) holds

So condition (a) holds
Converse
part :
To prove W is a
sub-space of V
If the conditions (a),
(b) & (c) hold only, the remainder is each vector in W has an additive
inverse in W.

Thus the additive
inverse of each element of W is also in W.
Hence, W is a sub-space
of V.
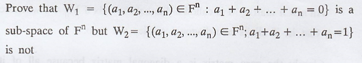
Problem 1.
Prove that a subset W
of a vector space V is a sub-space of V if and only if 0 ε W and ax + y ε W
whenever a ε F and x, y ε W
Solution
:
Given: V is a vector
space and W is a sub-set of V.
If
part: If W is a sub-space of V then
(i) 0 ε W
(ii) ax + y ε W whenever
a ε F and x, y ε W
Proof : W is a sub-space of V

So conditions (i) &
(ii) hold
Converse
part :
Given:

i.e., To Prove :

Thus the additive
inverse of each element of W is also in W.
Hence, W is a sub-space
of V.
Problem 2.

Solution
:


Problem 3

Solution
:


(b)
Matrix sub-space
Example
1 :
An n x n matrix, M is
called a diagonal matrix if Mij = 0 whenever i ≠ j, that is, if all
its non-diagonal entries are zero.
Clearly the zero matrix
is a diagonal matrix because all of its :noitulo2 entries are 0.
Moreover, if A and B
are diagonal n x n matrices, then whenever i ≠ j
for any
scalar c.
Hence, A + B and c A
are diagonal matrices for any scalar c. Therefore the set of diagonal matrices
is a subspace of Mn x n(F)
Example
2.
The trace of an n x n
matrix M, denoted tr(M), is the sum of the diagonal entries of M; that is,

It follows that the set
of n x n matrices having trace equal to zero is a sub-space of Mn x n
Example
3.
The set of matrices in
Mm x n(R) having non-negative entries is not a sub space of Mm x
n(R) because it is not closed under scalar multiplication (by negative
scalars).
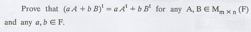
Problem 1.
Determine the transpose
of the matrices. In addition, if the matrix is square, compute its trace.

Solution
:


Problem 2

Solution
:


Problem 3
Prove that diagonal
matrices are symmetric matrices.
Solution:
If A is a diagonal
matrix,
we have Ajj
= 0 = Aji when i ≠ j
⇒
A is symmetric.
(c)
Intersection of sub-spaces
Theorem :
Any intersection of
sub-spaces of a vector space V is a sub-space of V.
Proof :
Let C be a a collection
of sub-spaces of V.
Let W = ∩ C
Clearly W is not empty
as 0 ε ∩ C

Problem 1.
The intersection of the
sub-spaces W1 and W2 of a vector space V is also a
sub-space.
Solution
:

Problem 2.
Prove that the
intersection of any two sub-sets of V is not a sub-space of V.
Solution
:

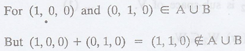
Problem 3.
Prove that the union of
two sub-spaces of a vector space need not be a sub-space.
Solution
:

Hence, W is a sub-space
of R3
However A U B is not a
sub-space of R3

Problem 4.
Let W1 and W2
be sub-spaces of a vector space V. Prove that

(OR)
The union of two
sub-spaces is a sub-space iff one is contained in the other. [A.U. N/D 2019,
R-17]
Solution:
Let W1 and W2
be sub-spaces of a vector space V.
Ist Part :

Proof:


Converse Part :

To prove : 
Proof : Let us assume
that


Which is a
contradiction.

This gives a
contradiction.

(d)
Vector sub-space R3
Definition:
A subset W of a vector space V is a subspace of V if it satisfies.

Problem 1.

Solution
:


All the three
conditions are satisfied.
Hence, W is a sub-space
of V.
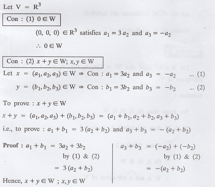
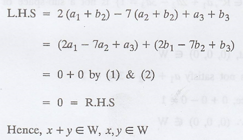
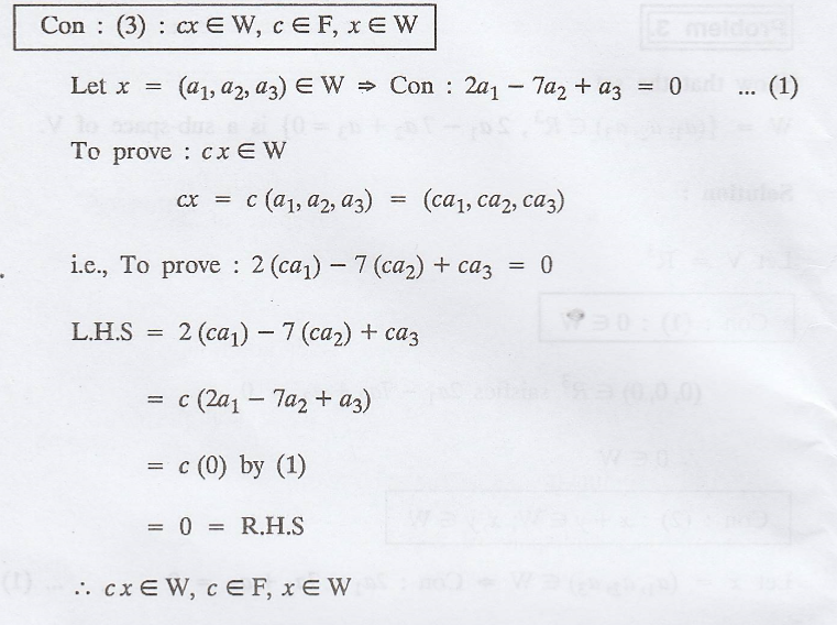
Problem 2.

Solution
:

Problem 3.
Show that the set

Solution
:



All the three
conditions are satisfied.
.'. W is a subspace of
V.
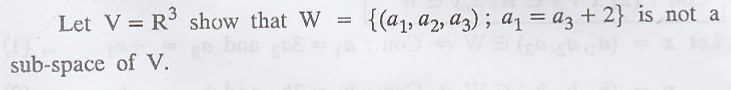
Problem 4.
Show that the set

Solution
:

(e)
Function sub-space 
Problem 1.
Let S be a non-empty
set and F a field. Prove that for any
is a sub-space of
Solution
:

And zero function is in
the set.
.'. Given is a
sub-space of 
Problem 2.
Let S be a non-empty
set and F a field. Let C(S, F) denote the set of all functions f ε
such
that f(s) = 0 for all but a finite number of elements of S. Prove that C (S, F)
is a sub-space of
.
Solution
:
The number of non-zero
points of f + g is less than the number of union of non-zero points of ƒ and g.
=> It is closed
under addition.
The number of non-zero
points of c f equals to the number of
f.
=> It is closed
under scalar multiplication.
And zero function is in
the set.
.'. C(S, F) is a sub-space
of 
Problem 3.
Is the set of all
differentiable real-valued functions defined on R a sub-space of C(R)? Justify
your answer.
Solution
:
The sum of two
differentiable functions and product of one scalar and one differentiable
function are again differentiable.
The zero function is
differentiable.
.'. Yes, the set of all
differentiable real-valued functions defined on R a sub-space of C(R).
(f)
Sequence and Polynomial sub-space F.
Problem 1.
Show that the set of
convergent sequence {an} is a sub-space of the vector space

Solution
:
We know that, {an
+ bn} and {t an} will converge. And zero sequence, that
is sequence with all entries zero, will be the zero vector.
Therefore the set of
convergent sequence {an} is a sub-space of the vector space V.
Problem 2.
Is the set
a sub-space of P(F) if n ≥ 1 ? Justify your answer.
Solution
:
No in general, but yes
when n = 1,
Since, W is not closed
under addition, when n =
is not in W.

Definition:
If S1 and S2
are non-empty sub-sets of a vector space V, then the sum of S1 and S2,
denoted S1 + S2, is the set 
Definition:
A vector spave V is
called the direct sum of W1 and W2 if W1 and W2
are sub-spaces of V such that W1 ∩ W2 = {0} and W1
+ W2 = V. We denote that V is the direct sum of W1 and W2
by writing 
Note:
The necessary and sufficient conditions for a vector space V to be the direct
sum of two of its sub-spaces W1 and W2, are

Problem 1.
Let W1 and W2
be sub-spaces of a vector space V.
(a) Prove that W1
+ W2 is a sub-space of V that contains both W1 and W2.
(b) Prove that any
sub-space of V that contains both W1 and W2 must also
contain W1 + W2.
Solution
:
(a) By the definition
of a subspace, if 0 is in W1, 0 is in W2


Thus, W1 + W2 satisfies the condition of a subspace.
Therefore, W1
+ W2 is a subspace of V.


Problem 2.
Show that Fn
is the direct sum of the sub-spaces

Proof :
Given: W1 is
a sub-space of Fn

Given: W2 is
also a sub-space of Fn

=> Fn is
the direct sum of W1 and W2.
(h)
Co-set of W containing V
Definition
:
For any v Є V the set
{v} + W = {v + w; w ε W} is called the co-set of W containing v.
Note: Denote this co-set v + W rather than {v} + W
Additional and scalar
multiplication by scalars of F can be defined {v + W : v ε V} of all co-sets of
W as follows :

Problem 1.
If W be a sub-space of
a vector space V over a field F, prove that v + W is a sub-space of V if and
only if v ε W.
Solution
:
Part I. Given: v + W is
a sub-space of V.
To prove v ε W
Proof: W is a
sub-space, 0 ε W and so v + 0 = v ε v+W
=> v ε W
Part II. Given: v ε W
To prove: v + W is a
sub-space of V.
Proof : Since W is a
sub-space,
0 ε W

Hence, v + W is a
sub-space.
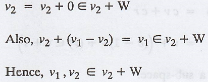
Problem 2.
Let W be a sub-space of
a vector space over a field F. Prove that 
Solution:
Part-I :

Proof: 

Part-II :

Proof : Consider the
co-set v2 + W


EXERCISE 4.2
1. Determine the
transpose of each of the matrices given in addition if the matrix is square
find its trace.


3. Let V denote the
vector space consisting of all upper triangular n x n matrices and let W1
denote the sub-space of V consisting of all diagonal matrices. Show that
where 
4. If Wi, 1
≤ i ≤ 2 are vector sub-space of a vector space V, then W1 ∩ W2
is a vector sub-space.
5. If Wi, 1
≤ i ≤ 2 be vector sub-spaces of a vector space V, when is W1 U W2
a sub-space of V?
6. Let W be a vector
sub-space of V. What is w + W if w ε W? What is W + W? Is it true that w + W =
W if and only if w ε W?
7. A sub-set W of a
vector space V(F) is sub-space of V if and only if 
8. The union of two
sub-spaces of a vector space V3(R) may not be a sub-space of V3(R)
9. Let V be the vector
space of all square matrices over R. Determine which of the following are
sub-spaces of V.

10. Let V be the space
of all functions from R to R, and W1 and W2 be the
sub-spaces of V defined by

11. Let W1,
W2 be the sub-spaces of R3 given by

Random Process and Linear Algebra: Unit IV: Vector Spaces,, : Tag: : - Sub-Spaces
Random Process and Linear Algebra
MA3355 - M3 - 3rd Semester - ECE Dept - 2021 Regulation | 3rd Semester ECE Dept 2021 Regulation