"If a random process is stationary to all order then the random process is said to be strict sense stationary process."
STRICTLY
STATIONARY PROCESSES
(a)
Stationary process (or) Strictly stationary process (or) Strict sense
stationary process [SSS processes] [A.U. N/D. 2004, M/J
2014]
"If a random
process is stationary to all order then the random process is said to be strict
sense stationary process."
Note:
1. In general we consider upto second order density function or second order
characteristics to verify whether a process to be stationary or not in the
respective order.
2. If a random process
fails to be atleast first order stationary then the random process is not a
stationary process.
(b)
Jointly stationary in the strict sense.
Two real-valued random
processes {X(t)} and {Y(t)} are said to be jointly stationary in the strict
sense, if the joint distribution of X(t) and Y(t) of all order are invariant
under translation of time.
(c) First
order stationary process
A random process is
called stationary to order one, if its first-order density function does not
change with a shift in time origin.
In otherwords,
fx(x1:t1)=
fx(x1:t1 + ∆) must be true for any t1
and any real number ∆ then X (t) is to be a first order stationary process.
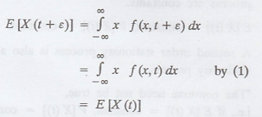
Theorem 1:
A first order stationary random process has a constant mean. (OR) The first
order stationary random process X(t) has independent of t.
Let X (t) be a first
order stationary random process
=> f(x, t + ε) =
f(x, t) ............(1) where t, ε are arbitrary.

Proof :

Hence, E [X (t)] =
constant.
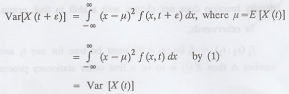
Theorem 2: A
first order stationary random process has a constant variance.
Let X (t) be a first
order stationary random process.
→ f(x, t + ε) = f(x, t)
............(1) where t, ε are arbitrary.

Proof :

Hence, Var [X (t)] =
constant.
STATIONARY
PROCESS
Formula: E[X(t)] =
Constant and V[X(t)] = Constant
Note 1 : First-order
densities of a SSS process are independent of time. i.e., E [X (t)] = a
constant.
Note 2 :
A random process that is not stationary in any sense is called an evolutionary
process.
Note 3 :
The mean and variance of a first-order stationary process are constants.
E [X (t)] = constant,
V[X (t)] = constant.
Note 4 : A
second order stationary process is also a first order stationary process.
"The converse need
not be true, i.e., if E [X (t)] = constant, V[X (t)] = constant, then X (t)
need not be a SSS process."



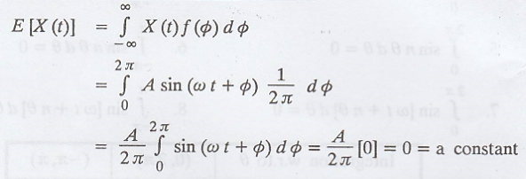
I. Example for First Order Stationary Process
Example 3.2.1
Show that the random
process X (t) = A sin (ωt + φ) where A and ω are constants, φ is a random
variable uniformly distributed in (0, 2π) is first order stationary.
Solution:
Given: X (t) = A sin
(ωt + φ)
where 'φ' is uniformly
distributed in (0, 2π)

Proof :


Hence, X (t) is a first
order stationary process.
II. Example for SSS Process
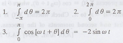
Example 3.2.2
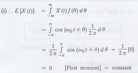
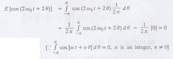
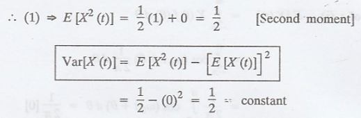
Consider the random
process X(t) = cos (ω0t + θ), where θ is uniformly distributed in
the interval -л to л. Check whether X(t) is stationary or not? Find the first
and second moments of the process. [A.U. A/M. 2004] [A.U N/D 2010]
Solution:
Given: X (t) = cos (ω0t
+ θ), where 'θ' is uniformly distributed in (−л, л)


Proof:


(ii)



Hence, X (t) is a SSS
process.
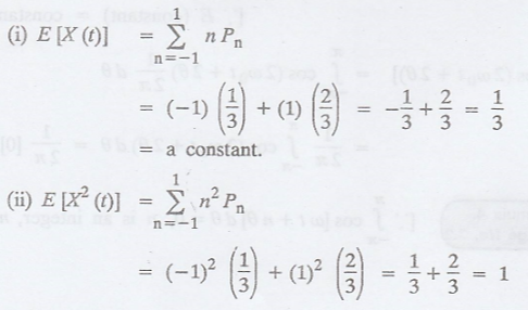
Example 3.2.3
If the random process
X(t) takes the value -1 with probability 1/3 and takes the value 1 with
probability 2/3, find whether X(t) is a stationary process or not. [A.U A/M
2017 (RP) R-13]
Solution:
Given:


Proof :


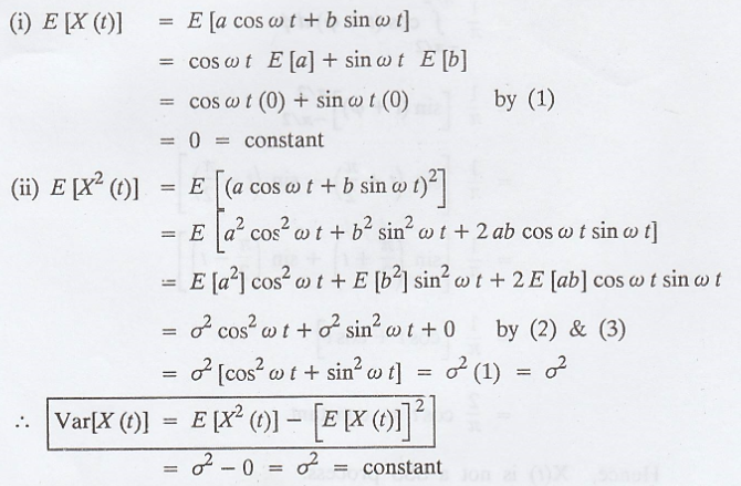
Example 3.2.4
Show that, if the
process X(t) = a cos ωt + b sin ωt is SSS, where 'a' and 'b' are independent
random variables, then they are normal.
Solution:
Given: X(t) = a cos ωt
+ b sin ωt


Proof

Hence, X(t) is a SSS process.
III. Example for not SSS process
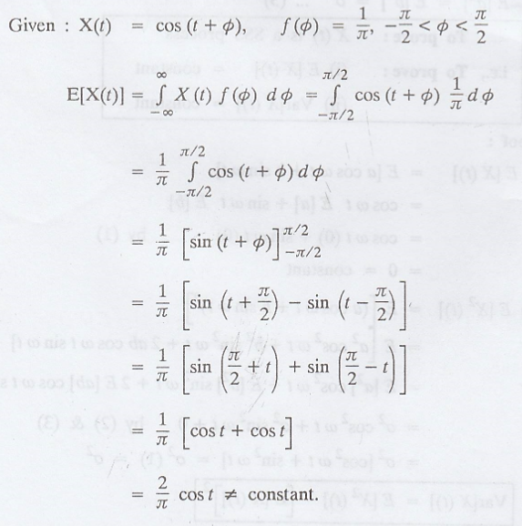
Example 3.2.5
Consider the random
process X (t) = cos (t + φ), where is a φ random variable with density function
f(φ) = 1/π, -π/2 < φ < π/2, check whether the process is stationary or
not. [A.U. May 2000] [A.U CBT M/J 2010, A.U Tvli. A/M 2009] [A.U N/D 2010]
Solution :

Hence, X(t) is not a
SSS process.
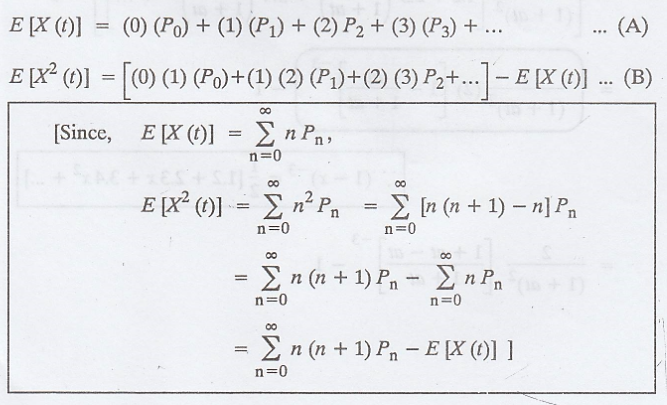
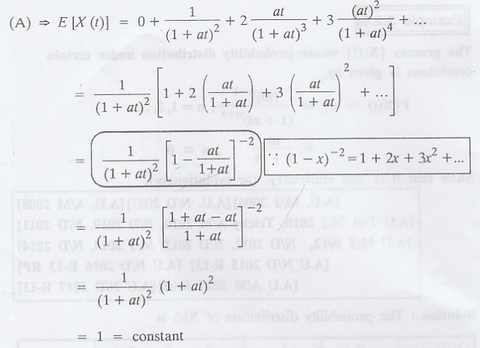
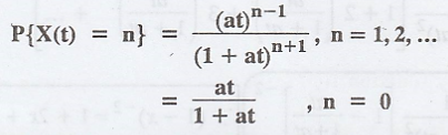
Example 3.2.6
The process {X(t)} whose probability distribution under certain conditions is given by,
Show that it is
"not stationary" (or evolutionary).
[A.U. M/J 2006] [A.U. N/D 2007] [A.U. A/M 2008] [A.U Tvli M/J 2010, Trichy A/M 2010, N/D 2010, N/D 2011] [A.U M/J 2012, N/D 2012, N/D 2013, M/J 2014, N/D 2014] [A.U N/D 2015 R-13] [A.U N/D 2016 R-13 RP] [A.U A/M 2017 R-08] [A.U N/D 2017 R-13]
Solution:
The probability
distribution of X(t) is





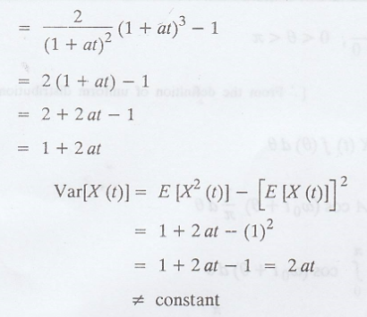
Here, E [X (t)] =
constant but Var [X (t)] ≠ constant.
.'. The given process
is not a stationary process.

Example 3.2.7
Show that the random
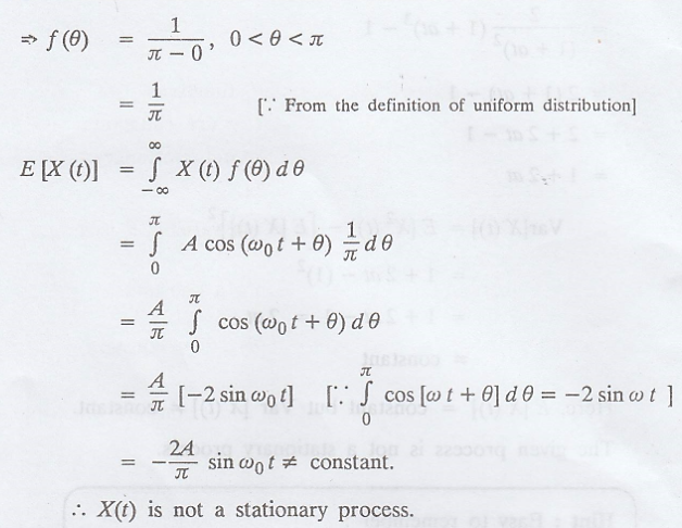
process X(t) = A cos (ωot + θ) is not stationary, if A and ωo
are constants and θ is uniformly distributed random variable in (0,л) [AU Dec.
2005, April 2007]
Solution
:
Given: X (t) = A cos (ωot
+ θ),
where 'θ' is uniformly
distributed in (0, л).

Example 3.2.8
Verify whether the sine
wave process X(t), where X(t) = Y cos ωt and Y is uniformly distributed in (0,
1) is a strict sense stationary process.
Solution
:
Given: X(t) = Y cos ωt,
..............(1)
where 'Y' is uniformly
distributed in (0, 1).

Example 3.2.9
A random process has
sample functions of the form X(t) = A cos(ωt + θ) in which A and ω are
constants and θ is a random variable. Prove this process is not stationary, if
it is uniformly distributed over a range of 2л.
Solution:
It is given that the
random variable is not uniform distributed.
Let the distribution be
ƒ(θ), it is not a constant.

This involves a time
component and is not constant which indicates that the process is not a
stationary process.
EXERCISE 3.2
1. Define a
strict-sense stationary process and give an example.
2. Define a kth
order stationary process. When will it become a SSS process ?
3. What is the first
order stationary process?
4. Show that the random
process X(t) = 100 sin (ω t + θ) is first order stationary, if it is assumed
that ω is constant and θ is uniformly distributed in (0, 2 л).
5. Consider the random
process X (t) = A cos (ωt + φ), where ω is a random variable with density
functions f(w) and φ a random variable uniform in the interval (-л, л) and
independent of ω, prove that X (t) is a first order stationary with zero means.
6. Consider the process
X(t) = 10 sin (200t + φ), where φ is uniformly distributed in the interval (-л,
л). Check whether the process is stationary or not.
7. Give an example of
stationary random process and justify your claim. [A.U N/D 2005]
Random Process and Linear Algebra: Unit III: Random Processes,, : Tag: : - Strictly Stationary Processes
Random Process and Linear Algebra
MA3355 - M3 - 3rd Semester - ECE Dept - 2021 Regulation | 3rd Semester ECE Dept 2021 Regulation