Standard distributions of all distribution like binomial, poisson, geometric, uniform, exponential and normal distribution
STANDARD DISTRIBUTIONS
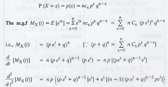
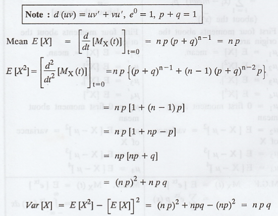
Binomial Distribution


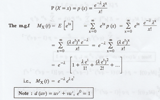
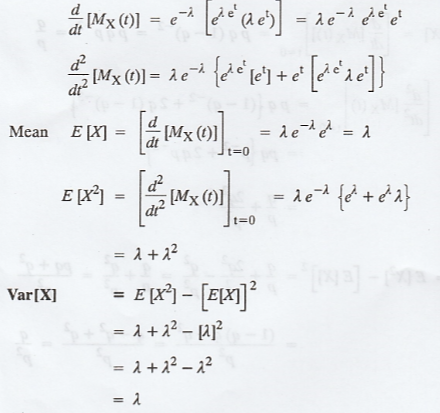
Poisson Distribution


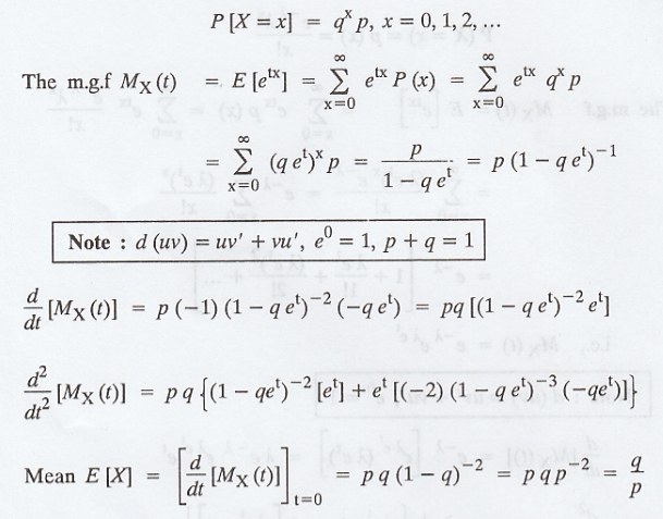
Geometric Distribution


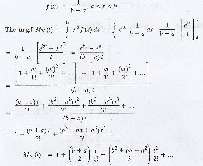
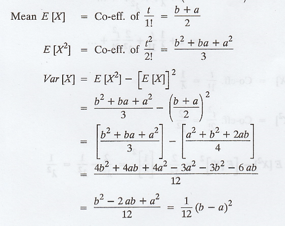
Uniform Distribution


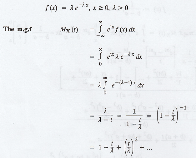
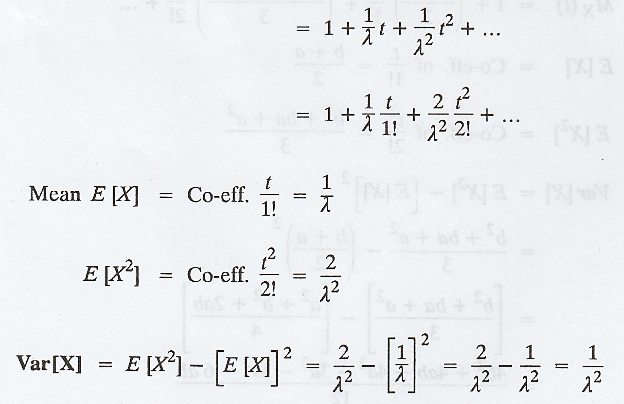
Exponential Distribution


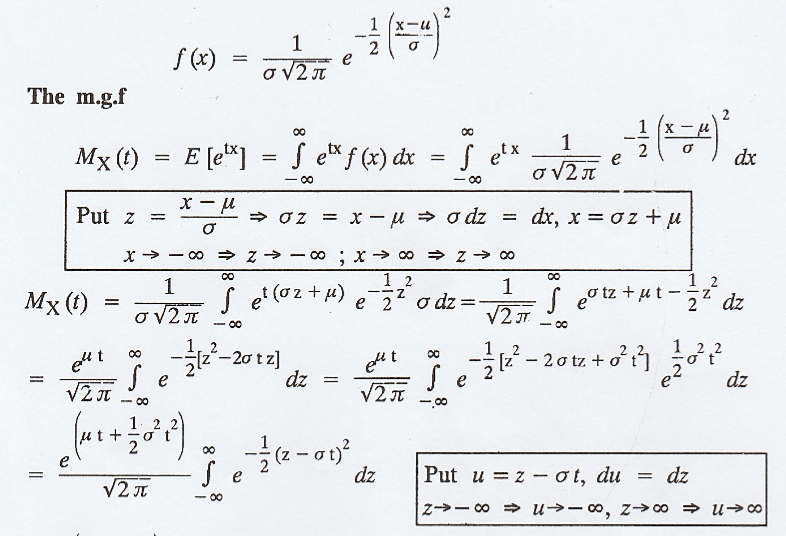
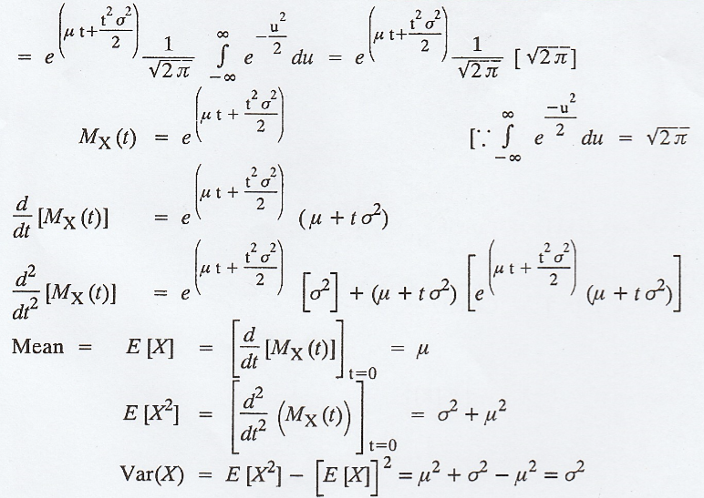
Normal Distribution


Random Process and Linear Algebra: Unit I: Probability and Random Variables,, : Tag: : Binomial, Poisson, Geometric, Uniform, Exponential, Normal Distributions - Standard Distributions
Random Process and Linear Algebra
MA3355 - M3 - 3rd Semester - ECE Dept - 2021 Regulation | 3rd Semester ECE Dept 2021 Regulation