All SSS process is a WSS process but the converse is not true. i.e., Every WSS process need not be a SSS process.
SECOND-ORDER
AND WIDE-SENSE STATIONARY PROCESS
(a)
Second-order stationary process
A process is said to be
second order stationary, if the 2nd order density function
satisfies.
eeeeeeeeeee
(b) "A
random process X (t) is said to be wide-sense stationary if it satisfies the
conditions
(i) E [X (t)] =
constant
(ii) R (t1,
t2) = E [X(t1) X(t2)] = R(t1 - t2)
Note:
All SSS process is a WSS process but the converse is not true. i.e., Every WSS
process need not be a SSS process.
(c)
Jointly Wide-Sense stationary processes :
Two random processes X
(t) and Y (t) are called jointly wide-sense stationary if
(i) X(t) is a WSS
process
(ii) Y(t) is a WSS
process
(iii) R(t1,
t2) = E[X(t1) Y(t2)] = R(t1 - t2)
(d) N-th
order stationary.
The stationary concept
can be defined by considering any number of random variables of the process.
Definition : Stationary to
order N.
In general, a process is
stationary to order N, if for N random variables of the process considered at
times t1, t2, ... tN, their N-th order joint
density function is invariant with time origin shift.

Comparison
of SSS and WSS processes :


Note :
1. A second-order
stationary process is also a first order-stationary.
2. The second-order
densities of a SSS process are functions τ = t1 - t2
Theorem.
If a random process
X(t) is WSS then it must also be covariance stationary. [AU 2003]
Proof :
Given: X (t) is WSS
(i) E[X(t)] = µ = a
constant.
(ii) R(t1, t2)
= a function of (t1 - t2)
The autocovariance
function is given by

which depends only on
the time difference.
Hence, X (t) is
covariance stationary.
I. Example for Stationary of second order
Example 3.3.1
A random process is
described by X(t) = A sin t + B cos t where A and B are independent random
variables with zero mean and equal variances (or equal S.D). Show that the
process is stationary of second order.
Solution:
Given: X (t) = A sin t
+ B cos t ........(1)
E[A] = 0, E[B] = 0
...........(2)


Hence, the process X
(t) is stationary of second order.
II. Example for WSS process [Uniform distribution type]
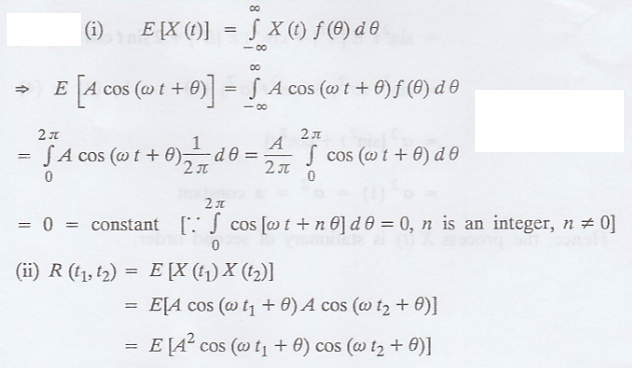
Example 3.3.2
Show that the random
process X (t) = A cos (ωt + θ) is wide sense stationary it A & ω are
constant and 'θ' is uniformly distributed random variable in (0, 2л). [A.U.
N/D, 2003, 2005] [A.U. M/J 2007] [A.U Trichy A/M 2010] [A.U A/M 2010] [A.U CBT
Dec. 2009] [A.U Tvli A/M 2009] [A.U N/D 2011, A/M 2014, N/D 2015 R-8, N/D 2015
R-13] [A.U M/J 2016 R13 RP] [A.U N/D 2017 (RP) R-13] [A.U A/M 2018 (R13, R08)]
[A.U A/M 2019 (RP) R-13]
Solution
:
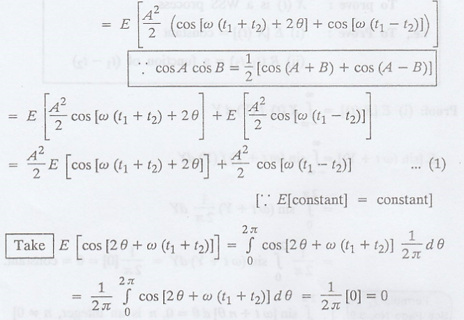
Given X(t) = A cos (ωt
+ θ),
where 'θ' is uniformly
distributed in (0, 2л).

Proof :



Hence, X (t) is a WSS
process.
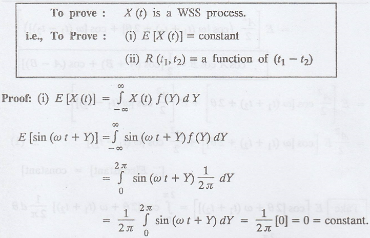
Example 3.3.3
If X (t) = sin (ωt+ Y),
where Y is uniformly distributed in (0, 2π), then show that X (t) is wide-sense
stationary.[AU N/D 2018 R13 RP] [A.U N/D 2009] [A.U Trichy M/J 2011] [A.U N/D
2017 R-08] [A.U A/M 2019 R-13 PQT]
Solution:
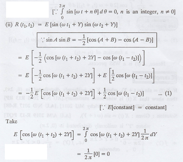
Given: X (t) = sin (ωt
+ Y), where 'Y' is uniformly distributed in (0, 2л)




=> The
autocorrelation function is a function of time difference only.
.’. X(t) is a WSS
process.
Example 3.3.4
Consider the random
process X(t) = A cos (100 t + θ), where A and θ are independent variables. A is
a random variable with mean 0 and variance 1. θ is uniformly distributed in
[-л, л]. Find mean and auto correlation and hence show that X(t) is WSS.
Solution:
Given: X(t) = A cos
(100 t + θ)
E [A] = 0, Var(A) = 1
............(1)

Here, 'θ' is uniformly
distributed in [-л, л]

Proof :


Both the conditions are
satisfied.
Hence, X (t) is a WSS
process.
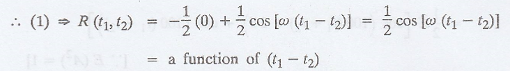
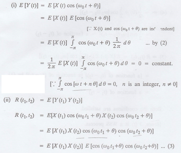
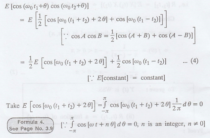
Example 3.3.5
Consider a random
process Y(t) = X(t) cos (ωot + θ), where X(t) is wide sense stationary
random process. θ is a random variable independent of X(t) and is distributed
uniformly in (-л, л) and ωo is a constant. Prove that Y(t) is
wide-sense stationary. [A.U A/M 2003] [A.U M/J 2016 R-13 PQT]
Solution:
Given: X(t) is a WSS
process.
E [X(t)] = constant.
R (t1, t2)
= a function of (t1 - t2)
i.e., R [t1,
t2] = E(X(t1) X(t2)] = a function of (t1
- t2) ......(1)
Given: Y(t) = X(t) cos
(ωot + θ),
where 'θ' is uniformly
distributed in (-л, л)

Proof :



Both the conditions are
satisfied.
Hence, Y(t) is a WSS
process.
III. Example for not WSS process [Uniform distribution type]
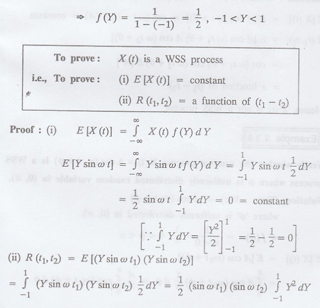
Example 3.3.6
For a random process
X(t) = Y sin ω t, Y is an uniform random variable in the interval -1 to +1.
Check whether the process is wide sense stationary or not. [A.U N/D 2006,
Trichy M/J 2011]
(OR) Verify whether the
sine wave random process X (t) = Y sin ω t, Y is uniformly distributed in the
interval -1 to 1 is WSS or not.
Solution:
Given: X (t) Y sin ωt,
where 'Y is uniformly
distributed in -1 to 1.


Example 3.3.7
A random process X(t)
is defined as X(t) = A cos (ωt+ θ), where ω and θ are constants and A is a
random variable. Determine whether X(t) is a wide sense stationary process or
not. [A.U Tvli A/M 2009]
Solution:
Given: X(t) = A cos
(ωt+ θ), A is a random variable.

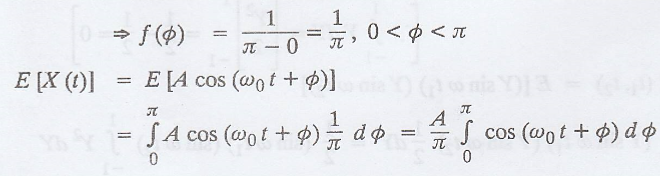
Example 3.3.8
Verify whether the
random process X(t) = A cos (ωot + φ) is a WSS process where φ is
uniformly distributed random variable in (0, л).
Solution:
Given: X (t) = A cos (ωot+φ),
where 'φ' is uniformly
distributed in (0, л).


IV. Example for WSS process [Normal distribution type]
Example 3.3.9
If X(t) = A cos λt + B
sin λt, where A and B are two independent normal random variables with E(A) =
E(B) = 0, E(A2) = E(B2) = σ2, and λ is a
constant, prove that {X(t)} is a strict sense stationary process of order 2.
[OR] If X (t) = A cos
λt + B sin λ t, t ≥ 0 is a random process where A and B are independent N (0, σ2)
random variables, examine the WSS process of X(t). [OR] Show that the random
process X (t) = A cos λ t + B sin λt is WSS if A and B are random variables
such that E(A) = E(B) = 0, E(A2) = E(B2) and E[AB] = 0
[A.U. N/D 2006, M/J 2007, N/D 2007, Trichy M/J 2011] [A.U CBT A/M 2011, CBT N/D
2011, Tvli M/J 2011] [A.U M/J 2013, A/M 2015 R8, A/M 2015 (RP) R8, R13] [A.U
N/D 2017 (RP) R8] [A.U N/D 2018 R-13 PQT]
Solution
:
Given: E[A] = 0, E[B] =
0 .................(1)
E[AB] = E[A] E[B] = (0)
(0) = 0 .................(2)
['.' A and B are
independent]
E[A2] = E[B2]
= σ2 = k .................(3)


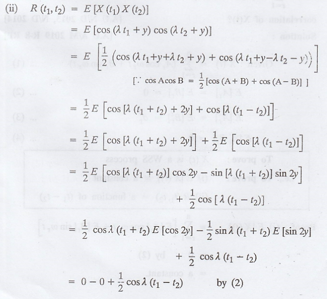
Example 3.3.10
Given a random variable
y with characteristic function φ(ω)=E[eiωy] and a random process
defined by X(t)= cos [λt+y], show that {X(t)} is stationary in the wide sense
of φ(1) = φ(2) = 0. [A.U. A/M. 2003] [A.U A/M 2005] [A.U M/J 2009] [A.U CBT
Dec. 2009]
Solution
:


Proof:


R (t1, t2)
is a function of (t1 - t2)
The autocorrelation function
is a function of time difference only.
So, both the conditions
are satisfied.
Hence, X(t) is a WSS
process.
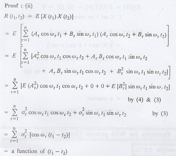
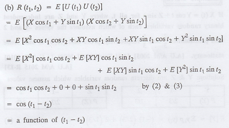
Example 3.3.11.
If the two random
variables Ar and Br are uncorrelated with zero mean and
Show that
the process
is WSS. What are mean and auto correlation of X(t)?
[A.U N/D 2013, N/D 2014] [A.U A/M 2019 R-8 RP]
Solution
:


.'. Both the conditions
are satisfied.
Hence, X (t) is a WSS
process.
V. Example for not WSS Process [Normal distribution type]
Example 3.3.12.
Consider a random
process X(t) defined by X(t) = U cost + (V+1) sin t, where U and V are
independent random variables for which E[U] = E[V] = 0, E[U2] = E[V2]
= 1. Is X(t) is WSS? Explain your answer.[AU A/M. 2008]
Solution:
Given: X(t) = U cost +
(V+1) sint,
E[U] = E[V] = 0
..................(1)
E[U2] = E[V2]
= 1 ..................(2)

VI. Examples for WSS process [Jointly WSS process]
Example 3.3.13.
Two random process X(t)
and Y(t) are defined by X(t) = A cos ωt + B sin ωt and Y(t) = B cos ωt- A sin
ωt. Show that X(t) and Y(t) are jointly wide-sense stationary, if A and B
uncorrelated random variables with zero means and the same variances and ω is
constant. [A.U. A/M 2003] [A.U. Model] [A.U CBT N/D 2010] [A.U A/M 2014] [A.U
N/D 2018 R-13 RP]
[OR] Let the two random
processes X (t) and Y(t) be defined as X(t) = A cos ωt+ B sin ωt, Y(t) = B cos
ωt - A sin ωt, where A and B are random variables, ω is a constant. If E[A] =
E[B] = 0, E[AB] = 0 and E[A2] = E[B2] = k, prove that
X(t) and Y(t) are jointly wide-sense stationary.
Solution:
Given:
X(t) = A cos ωt + B sin
ωt
Y(t) = B cos ωt - A sin
ωt


.'. Both the conditions
are satisfied.
{X(t)} and {Y(t)} are
jointly WSS process.
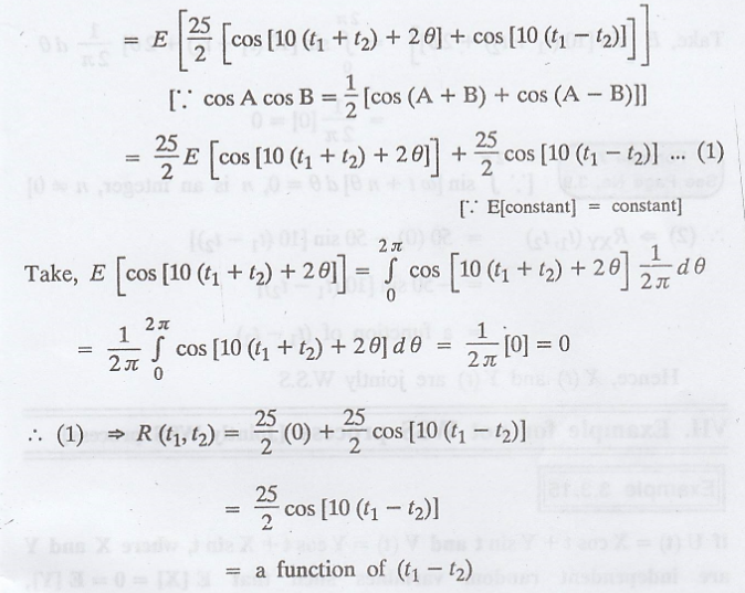
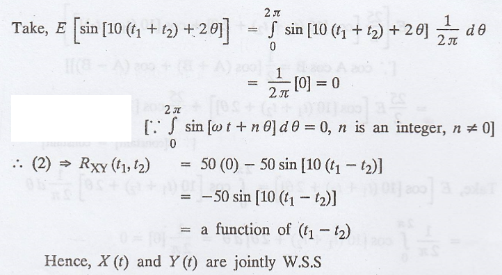
Example 3.3.14
If X(t) = 5 cos (10t +
θ) and Y(t) = 20 sin (10t + θ), where θ is a random variable uniformly
distributed in (0, 2л), prove that the process {X(t)} and {Y(t)} are jointly
wide-sense stationary.
Solution:
Given: X(t) = 5 cos
(10t + θ)
Y(t) = 20 sin (10t + θ)
where 'θ' is uniformly
distributed in (0, 2л)


.'. Both the conditions
are satisfied.
Hence, X (t) is a WSS
process.
Similarly, Y(t) is a
WSS process.


VII. Example for not WSS process [Jointly WSS process]
Example 3.3.15
If U(t) = X cost + Y
sint and V(t) = Y cos t + X sin t, where X and Y are independent random
variables such that E[X] = 0 = E[Y], E[X2] = E[Y2] = 1,
show that {U(t)} and {V(t)} are individually stationary in the wide-sense, but
they are not jointly wide-sense stationary.
Solution:
Given: U(t) = X cos t +
Y sin t
V(t) = Y cos t + X sin t
E[X] = 0, E[Y] = 0
..............(1)
E[X2] = 1,
E[Y2] = 1 ..............(2)
E[XY] = E[X] E[Y] = (0)
(0) [ X and Y are independent random variables]
E [XY] = 0
..............(3)



= a function of (t1
- t2)
(Hence, U(t) is a WSS
process.
(ii) Similarly, V(t) is
a WSS process.


Hence, U(t) and V(t)
are individually WSS process, but not jointly WSS process.
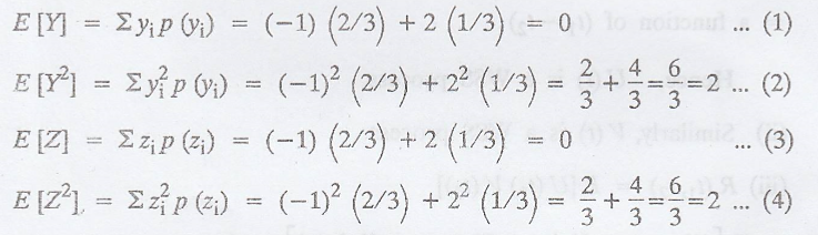
VIII. Example for WSS process[Discretre random variable type]
Example 3.3.16
If X(t) = Y cos t + Z
sin t for all t, where Y and Z are independent binary random variables, each of
which assumes the values -1 and 2 with probabilities 2/3 and 1/3 respectively,
prove that {X(t)} is wide sense stationary. [A.U A/M 2005] [A.U Trichy M/J
2009] [A.U N/D 2010] [A.U A/M 2015 R-13]
Solution:
Y & Z are discrete
random variables which assume values


Y and Z are independent
random variables


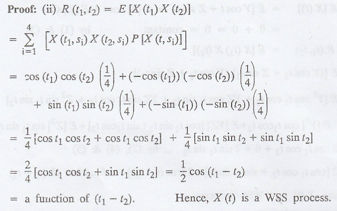
Example 3.3.17
Assume a random process
X(t) with sample functions X(t, s1) = cos t, X(t, s2) = - cos t,
X(t, s3) = sin t, X (t, s4) = -sin t which are equally
likely, show that X(t) is WSS process. [A.U N/D 2017 R-08]
Solution
:
Given: P[X(t, S1)]
= P[X(t, s2)] = P[X(t, S3)] = P[X(t, S4)] = 1/4


IX. Example for not WSS process [discrete random variable type]
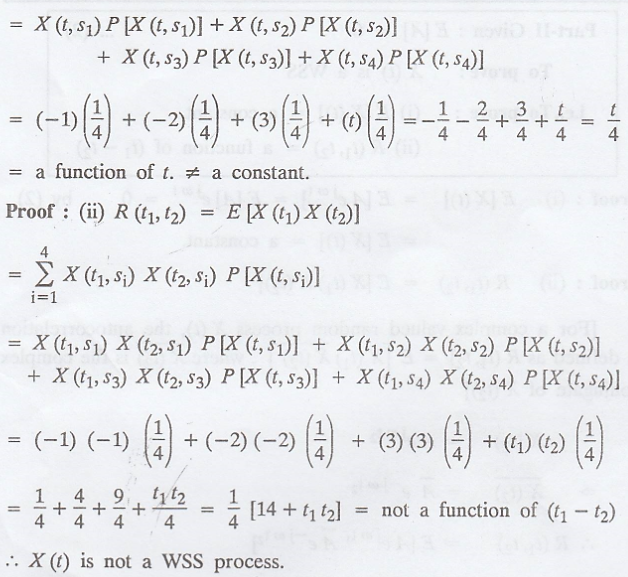
Example 3.3.18
A random process X(t)
is characterized by four sample functions (i) X(t, s1) = -1, (ii)
X(t, s2) = -2, (iii) X (t, s3) = 3, (iv) X(t, S4)
= t. Assume that the sample functions are equally likely. Find the
auto-correlation function and check whether it is WSS process or not.
Solution
:
Given: P[X(t, s1)] =
P[X(t, s2)] = P[X(t, s3)] = P[X(t, s4)] = 1/4


X. Example for WSS process [Complex valued type]
Example 3.3.19
Show that the random
process X(t) = A e j ω t is WSS if and only if E[A] = 0
Solution
:

Proof : 


EXERCISE 3.3
1. If X(t) = Y cos ωt +
Z sin ωt where Y and Z are two independent normal random variables with E[Y] =
E[Z] = 0, E[Y2] = E[Z2] = σ2 and ω is a
constant. Prove that X(t) is a SSS of order 2. [A.U A/M 2015 (RP) R8]
2. Show that the random
process X(t) = A sin (ωt + φ), where A and ω are constants, φ is a random
variable uniformly distributed in (0, 2л) is WSS.
3. Show that the random process X(t) = 100 sin (ωt + φ) is WSS, where ω is a constant and φ is uniformly distributed in (0, 2л)
4. If X(t) = cos (λt +
y) where y is uniformly distributed random variable in (-л, л). Show that X (t)
is WSS.
5. If X (t) = U cos t +
V sin t where U and V are independent random variables each of which assumes
the values -2 and 1 with probabilities 1/3 and 2/3 respectively. Show that X(t)
is covariance stationary (WSS). [A.U N/D 2015 R8]
6. Show that the random
process X(t) = A cos t + B sin t, -∞ < t < ∞, is a WSS process, where A
and B are independent random variables each of which has a value -2 with
probability 1/3 and a value 1 with probability 2/3 [AU A/M. 2011] [A.U N/D 2015
R13 RP]
7. Let X(t) = Y cos t +
Z sin t for all t, where Y and Z are independent binary random variables each
of which assumes the values -1 and 1 which are equally likely, then prove that
X(t) is WSS. [A.U. Tvli. M/J 2011]
8. Consider a random
process X(t) = A cos(50t + φ), where A and φ are independent random variables.
A is a random variable with zero mean and variance 1. φ is uniformly
distributed in (-л, л) show that X (t) is WSS. [A.U. A/M 2004]
9. If X(t) = 2 cos (5t
+ θ), Y(t) = 5 cos (5 t + θ), where is θ a random variable uniformly
distributed in (0, 2л), prove that the process X(t) and Y(t) are jointly WSS.
10. Consider a random
process Z(t) = X1 cos ωot - X2 sin ωot,
where X1 and X2 are independent Gaussian random variables
with zero mean and variance σ2. Find E[Z] and E[Z2]
11. The random process
X(t) = sin(ωt + y), where y is a random variable uniformly distributed in (0,
2л). Prove that 
12. If X(t) = R cos (ωt
+ φ) where R and φ are independent random variables with E[R] = 2 and V(R) = 6
and φ is uniformly distributed in (-л, л). Рrove that X(t) is WSS process.
13. Consider the random
process X(t) = cos (t + φ) where φ is a random variable with density function
f(φ) = 1/π, -π/2 < φ < π/2, check whether or not the process is
wide-sense stationary. [A.U. N/D 2010]
14. Let X(t) be a WSS
process with auto correlation RXX(τ) = A e – α | τ |. Find the
second moment of the random variable Y = X(5) - X(2).
Random Process and Linear Algebra: Unit III: Random Processes,, : Tag: : Jointly Wide-sense, N-th order Stationary, Example for WSS process, - Second- Order and Wide-Sense Stationary Process
Random Process and Linear Algebra
MA3355 - M3 - 3rd Semester - ECE Dept - 2021 Regulation | 3rd Semester ECE Dept 2021 Regulation