Explain about Projection
(d) Projection
Definition :
Let V be a vector space and W1 and W2
be subspaces of V such that
A function T: V → V is called the projection
on W1 along W2 if, for x = x1 + x2
with x1 Є W1 and x2 Є W2, we have
T(x) = x1.
Problem 1.
Let T: R2 → R2
Find a formula for T(a, b), where T represent the
projection on the y-axis along the x-axis.
Solution :
By definition, if T projects on the y-axis, then
T(a, b) must results in the form (0, s).
Again, if it projects along the x-axis, the
displacement vector.
T(a, b) ~ (a, b)
Must have the form (t, 0)

This gives the linear system has a solution,
t = -a, s = b
And therefore, T(a, b) = (0, b)

Problem 2.
Let T: R3 → R3
Find a formula for T(a, b, c) where T is the
projection on the xy-plane along the z-axis.
Solution :
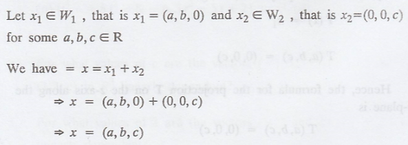
Let W1 = xy-plane, W2 =
z-axis, and V = R3

Using definition of projection, we get
T(x) = x1
T(a, b, c) = (a, b, 0)
Hence, the formula for the projection T on the
xy-plane along the z-axis.
T(a, b, c) = (a, b, 0)
Problem 3.
Let T: R3 → R3
Find a formula for T(a, b, c), where T represents
the projection on the z-axis along the xy-plane.
Solution :
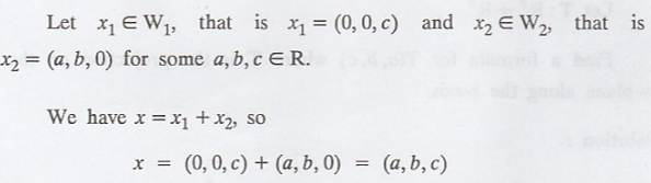
Let W1 = z-axis, W2 =
xy-plane, and V = R3

By definition of projection, we get
T(x) = x1
T(a, b, c) = (0, 0, c)
Hence, the formula for the projection T on the
z-axis along the xy-plane is
T(a, b, c) = (0, 0, c)
Problem 4.
T: V → V is the projection on W1 along W2.
Describe T if W1 = V
Solution :
The objective is to describe T if W1 = V.

As T is the projection on W1 along W2,
T(x) = X.
Hence, the required answer is T(x) = x, if x Є W1
Problem 5.
T: V → V is the projection on W1 along W2.
Describe T if W1 is the zero subspace.
Solution :
The objective is to describe T if W1 is
the zero subspace.
If W1 is the zero subspace, then W1
= 0
So, T(x) = 0 for all x Є W1
So, the required answer is T(x) = 0, for all x Є V
if W1 = 0
Problem 6.
Suppose that W is a subspace of a finite-dimensional
vector space V.
Prove that there exists a subspace W' and a function
T : V → V such that T is a projection on W along W'.
Solution :
Let W is a subspace of a finite-dimensional vector
space V.
To prove that there exist a substance W' and a
function that is projection on W along W'.
Suppose that {v1, v2, ..., vk}
is a basis for W.
Since W is a subspace of the finite dimensional
vector space V, so the basis of W can be extended to a basis of W.

Hence, there exists a subspace W'.
Since, W is a subspace and there is a subspace W',
so a projection T can defined from W to W'.
Problem 7
Suppose that W is a subspace of a finite-dimensional
vector space V.
Give an example of a subspace W of a vector space V
such that there are two projections on W along two (distinct) subspaces.
Solution :
The objective is to provide example of the subspace
W such that there are two projections on W along two distinct subspaces.
Consider the vector space R2.
Let T : R2 → R2 is defined as
T(a, b) = (0, b)
Then T is a projection on y-axis along the x-axis.
Let L = {(s,s) : S Є R}
Define the function T as T(a, b) = (0, b - a)
Then T is a projection on y-axis along the line L.
Random Process and Linear Algebra: Unit V: Linear Transformation and Inner Product Spaces,, : Tag: : - Projection
Random Process and Linear Algebra
MA3355 - M3 - 3rd Semester - ECE Dept - 2021 Regulation | 3rd Semester ECE Dept 2021 Regulation