Problems under n-step tpm pn
Type 4. n-step tpm pn
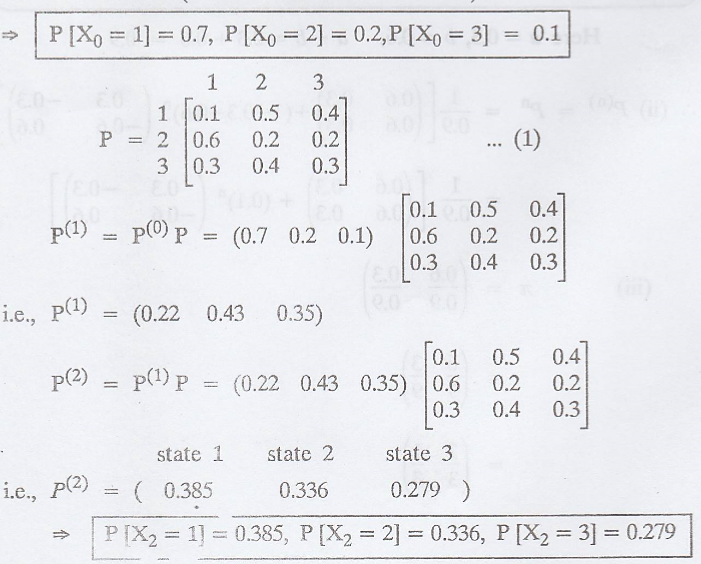
Example 3.7.21
The transition
probability matrix of the Markov Chain {Xn}, n = 1, 2, 3,... having
3 states 1, 2 and 3 is
and the initial distribution is P(0)
= (0.7 0.2 0.1) Find (i) P (X2 = 3) and (ii) P [X3 = 2, X2
= 3, X1 = 3, X0 = 2] [A.U N/D 2006, A/M 2010, CBT M/J
2010, N/D 2011, Trichy M/J 2011] [A.U M/J 2013,N/D 2013] [A.U M/J 2012, A.U N/D
2015 R-8, N/D 2016 R-13, A/M 2017 R-8] [A.U A/M 2018 R-8] [A.U A/M 2019 R-13
PQT]
Solution
:



Example 3.7.22
The tpm of a Markov
chain with three states 0, 1, 2 is
and the initial state
distribution of the chain is P (X0 = i) = 1/3, i = 0, 1, 2. Find (i)
P (X2 = 2) and (ii) P [X3 = 1, X2 = 2, X1
= 1, X0 = 2] [A.U A/M 2019 R-17 PQT]
Solution
:
Given: P[X0
= i] = 1/3, i = 0, 1, 2



Example 3.7.23
The tpm of a Markov
chain {Xn, n ≥ 0} have three states 0, 1 and 2.
and the
initial distribution is P(0)= (0.5 0.3 0.2). Find (1) P[X2
= 2], (2) P[X3 = 1, X2 = 2, X1 = 1, X0
= 2]
Solution:
Given: P(0)
= (0.5 0.3 0.2)
=> P[X0 =
0] = 0.5, P[X0 = 1] = 0.3, P[X0 = 2] = 0.2


Classification of Markov Chain
(1) Irreducible chain
If
for some
n and for every i and j then every state can be reached from every other state
when this condition is satisfied, the Markov chain is said to be irreducible.
(OR)
If all states
communicate with each other, then we say that the Markov chain is irreducible.
Note:
A Markov Chain is irreducible if there is only one communicating class.
Example 1.


State 0 and state 1 are
communicate with each other.
State 1 and state 2 are
communicate with each other.
State 2 and state 0 are
communicate each other through state 1.
.'. All the states are
communicate with each other.
=> The Markov chain
is irreducible.
Here the communicating
class is {0, 1, 2}.
Example 2.


State 1 and state 2 are
communicate with each other through state 3.
State 2 and state 3 are
communicate with each other.
State 3 and state 1 are
communicate with each other through state 2.
.'. All the states are
communicate with each other.
=> The Markov chain
is irreducible.
Here the communicating
class is {1, 2, 3}.
Example 3.

State 0 and state 1 are
communicate with each other through state 2.
State 1 and state 2 are
communicate with each other through state 0.
State 2 and state 1 are
communicate with each other through state 1.
.'. All the states are
communicate with each other
=> The Markov chain
is irreducible.
Here the communicating
class is {0, 1, 2}
Example 4.

State 2 and state 3 are
not communicate with each other.
=> The Markov chain
is not irreducible.
The Markov chain has 3
classes {1, 2}, {3}, {4}.

Example 5.

State 0 and state 1 are
not communicate with each other.
=> The Markov chain
is not irreducible.
=> The chain has two
classes {0}, {1}.

2. Periodic and Aperiodic states
The period di
of a return state i is defined as the greatest common divisor of all m such
that ![]()
i.e.,
. State
i is said to be periodic with period di if di > 1 and aperiodic if di
= 1.
Note :
(1) Whenever
, j is aperiodic.
(2) Any one state is
aperiodic.
=> All its states
are aperiodic.
Atleast One Diagonal element > 0
Example 1.

P00 = 1 >
0 ⇒ State 0 is aperiodic
P11 = 1/2
> 0 ⇒ State 1 is aperiodic
=> All its states
are aperiodic.
Example 2.

P44 = 1/4
> 0 => State 4 is aperiodic.
=> All its states
are aperiodic.
Example 3.

P00 = 1/4
> 0, P11 = 1/3 > 0,
P22 = 1/4
> 0, P33 = 1 > 0
=> All its states
are aperiodic.
All the Diagonal elements = 0
Example 4.

One can get back to
State 0 in 0→1→2→0 (3
steps)
State 1 in 1→2→0→1 (3
steps)
State 2 in 2→0→1→2 (3
steps)
=> All its states
are not aperiodic.
['.' The states are
periodic with period 3].
Example 5.

One can get back to
State 1 in 1→2→1 (2
steps)
State 2 in 2→1→2 (2
steps)
=> All its states
are "not aperiodic".
['.' The states are
periodic with period 2]
Example 6.

One can get back to
State 0 in 0→1→0 (2
steps)
State 1 in 1→0→1 (2
steps)
State 1 in 1→2→1 (2
steps)
State 2 in 2→1→2 (2
steps)
=> All its states
are "not aperiodic"
['.' The states are
periodic with period 2]
Example 7.

One can get back to
State 1 in 1→2→3→1 (3
steps)
State 2 in 2→3→2 (2
steps)
State 2 in 2→3→1→2 (3
steps)
State 3 in 3→2→3 (2
steps)
State 3 in 3→1→2→3 (3
steps)
=> All its states
are "aperiodic".
['.' The states are not
periodic, since GCD is not greater than 1]
3.(a) Recurrent or Persistent state
A state 'i' is said to
be persistent or recurrent of the return state 'i' is certain, i.e., 
(b) Transient state
A state 'ï' is said to
be transient if and only if there is a positive probability that the process
will not return to this state.
Note 1:
In a finite state Markov chain, not all states can be (transient. Atleast one
of the states must be recurrent.
Note 2 :
All states of a finite irreducible Markov chain are recurrent.
Note 3:
Pij = 1, for i = j then the state is Absorbing state (or) Trapping
state.
Example 1.


Here Xn =
{1,2,3,4,5}
=> Finite
..............(1)
Here all the states are
communicate with each other.
=> The Markov chain
is irreducible. ... (2)
=> From (1) &
(2) we get, All the states are recurrent.
Example 2.

State 4 and state 2 are
not communicate with each other.
.'. The Markov chain is
not irreducible
{1, 2, 3} recurrent
{4} transient
{5} transient

Example 3

State 3 and state 4 are
not communicate with each other.
.'. The Markov chain is
not irreducible.
{1, 2, 3} recurrent.
{4, 5} recurrent.

Example 4.

State 2 and state 3 are
not communicate with each other.
.'. The Markov chain is
not irreducible.
{1, 2} recurrent
P33 = 1 => {3}
recurrent [(absorbing) or (trapping)]
{4} transient
{5} transient
Example 5.

{A, B} transient
{C, D} recurrent.
4. Non-null persistent and Null persistent
The state 'i' is said
to be non-null persistent if its mean recurrence time
is finite and
null persistent if µii = ∞
Note:
If a Markov chain is finite and irreducible then all its states are non-null
persistent.
Example 1.

Xn = {0, 1,
2} => finite ..........(1)
State 0 and state 1 are
communicate with each other.
State 1 and state 2 are
communicate with each other.
State 2 and state 0 are
communicate with each other.
All the states are
communicate with each other.
=> The Markov chain
is irreducible. ..........(2)
From (1) & (2) we
get all the states are persistent and non-null.
Example 2.

Xn = {0, 1}
=> finite .......... (1)
State 0 and state 1 are
not communicate with each other.
=> The Markov chain
is not irreducible ..........(2)
=> From (1) and (2)
we get all the states are not persistent and non-null.
5. Ergodic state
A non-null persistent
and aperiodic state is called Ergodic.
6. Absorbing state (or) Trapping state
A state of a Markov
chain is called an absorbing state if no other state is accessible from it.
i.e., Pij =
1, for i = j; Pij = 0, for i≠j
Note 1.
Once the process enters a absorbing state, it never leaves the state.
Note 2.
An absorbing state is a recurrent state.
7. Ergodic chain
A Markov chain is said
to be an Ergodic chain if all its states are Ergodic.
8. Essential state
A state i' is called an
essential state if it communicates with every state.
i.e., Assume
is an essential state.
Example
[A.U M/J 2004]


State 2 and state 3 are
communicate with each other. So they are essential states.
State 1 leads to all
states but not lead by other states. So state 1 is not an essential state.
TYPE 5.
Example 3.7.23
Find the nature of the
states of the Markov chain with the tpm.
[A.U N/D 2019
R-17 PQT, RP] 0 [A.U. N/D 2004, N/D 2014, M/J 2013]
[A.U N/D 2016 R-13, A.U
A/M 2018 R-13]
Solution
:
(a) Given: Xn
= {0, 1, 2} finite ................(1)
(b) 
State 0 and state 1 are
communicate with each other.
State 1 and state 2 are
communicate with each other.
State 2 and state 0 are
communicate with each other through state 1.
=> The Markov chain
is irreducible ..........(2)
(c) From (1) & (2)
we get all its states are non-null-persistent ..........(3)
(d) One can get back to
State 0 in 0→1→0 (2
steps)
State 1 in 1→0→1 (2
steps)
State 1 in 1→2→1 (2
steps)
State 2 in 2→1→2 (2
steps)
=> The state are not
aperiodic .............(4)
['.' The states are
periodic with period 2]
(e) From (3) and (4) we
get the states are not Ergodic.
Example 3.7.24
Prove that the matrix
1 is the tpm of an irreducible Markov chain. [A.U. M/J 2009] [A.U.
N/D 20071
[OR]
Three boys A, B, C are
throwing a ball each other. A always throws the ball to B and B always throws
the ball to C but C is just as likely to throw the ball to B as to A. Show that
the process is Markovian. Find the tpm and classify the states. [A.U A/M 2017
R-13]
Solution:
The tpm of the given
Markov chain is

(a) Let Xn
={1, 2, 3} => finite ...........(1)
(b) 
State 1 and state 2 are
communicate with each other through state 3.
State 2 and state 3 are
communicate with each other.
State 3 and state 1 are
communicate with each other through state 2.
=> The Makov chain is irreducible .............(2)
(c) From (1) and (2)
all the states are persistent and non-null. .......(3)
(d) One can get back to
State 1 in 1→2→3→1 (3
steps)
State 2 in 2→3→2 (2
steps)
State 2 in 2→3→1→2 (3
steps)
State 3 in 3→1→2→3 (3
steps)
State 3 in 3→2→3 (2
steps)
=> The states are aperiodic
............(4)
['.' The states are not
periodic]
(e) From (3) and (4) we
get all the states are Ergodic.
Example 3.7.25
Consider the Markov
chain with tpm given by
Show
that it is Ergodic.
Solution
:
(a) Let Xn =
{1, 2, 3, 4} finite .................(1)
(b) 
State 1 and State 2 are
communicate with each other through state '3' & '4'.
State 2 and State 3 are
communicate with each other through state '4'
State 3 and State 4 are
communicate with each other through state '2'
State 4 and State 1 are
communicate with each other through state '3' & '2'.
.'. All the states are
communicate with each other.
=> The Markov chain
is irreducible. ................(2)
(c) From (1) and (2) we
get all its states are non-null persistent. ...........(3)
(d) Here P44
= 1/4 > 0 => The states are aperiodic. .............(4)
(e) From (3) & (4)
we get all the states are Ergodic.
Example 3.7.26
Consider the Markov
chain with tpm

Is it irreducible? If
not find the classes. Find the nature of the state.
Solution
:
(a) Let Xn =
{0, 1, 2, 3} => finite ............(1)
(b) 

State 3 and state 1 are
not communicate with each other.
=> The Markov chain
is not irreducible. ................(2)
(c) Here P33
= 1 > 0
=> All the states
are aperiodic. ..................(3)
(d) From (1) and (2) we
get all the states are not non-null persistent. ..............(4)
(e) From (3) and (4) we
get all the states are not Ergodic.
(f) The classes of the
chain are {0, 1}, {2}, {3}.

Example 3.7.27
Consider a Markov chain
with state space {0, 1} and the tpm

(i)Draw a transition
diagram.
(ii) Show that state 0
is recurrent.
(iii) Show that state 1
is transient.
(iv) Is the state 1
periodic? If so, what is the period?
(v) Is the chain
irreducible?
(vi) Is the chain
Ergodic? Explain. [A.U. A/M. 2007]
Solution
:
Let Xn = {0,
1} => finite
Given: 

(ii) Here, P00
= 1
=> State 0 is
recurrent.
['.' All absorbing
states are recurrent]
(iii) State 1 is
transient.
[.'. A state i is said
to be transient if and only if there is a positive probability that the process
will not return to this state]
(iv) In state 1, P11
= 1/2 > 0
=> State 1 is
aperiodic. ...............(2)
(v) State 0 and State 1
are not communicate with each other.
=> The Markov chain
is not irreducible. ................(3)
(vi) The Markov chain
is not irreducible.
The states are not
non-null persistent.
=> Hence the chain
is not Ergodic.
EXERCISE 3.7
1. Consider a Markov
chain on the non-negative integer such that starting from x, the chain goes to
state x + 1 with probabilities p, 0 < p < 1 and goes to state 0 with
probabilities (1 − p), (i) show that the chain is irreducible, and (ii) Show
that the chain is recurrent.
2. Determine the class
and the periodicity of the various states for a Markovian chain with tpm
and show that the chain is irreducible.
3. For the Markov Chain
with transition matrix P =
P(0) = (0.7 0.3). Find P(1), P(4) and
P(8).
4. Does the transition
matrix
Correspond to an absorbing Markov Chain?
Random Process and Linear Algebra: Unit III: Random Processes,, : Tag: : - Problems under n-step tpm pn
Random Process and Linear Algebra
MA3355 - M3 - 3rd Semester - ECE Dept - 2021 Regulation | 3rd Semester ECE Dept 2021 Regulation