The Poisson probability distribution was introduced by S.D. Poisson in a book he wrote regarding the application of probability theory to law suits, criminal trials, and the like.
POISSON DISTRIBUTION
The Poisson probability distribution was
introduced by S.D. Poisson in a book he wrote regarding the application of
probability theory to law suits, criminal trials, and the like.



i. Poisson Distribution
A random variable X is said to follow
Poisson distribution if it assumes only non-negative values and its probability
mass function is given by,

λ is known as the parameter of the
Poisson distribution.
ii. Poisson frequency distribution
Let a Poisson experimental consist of n
independent trials. Let this experiment, under similar conditions be repeated N
times. Then
gives the expected number of x successes in N
experiments, each consisting of n trials. The possible number of successes
together with the expected frequencies is said to constitute a Poisson frequency
distribution.
The following are some of the examples
where the Poisson probability law can be applied:
1. Number of defective items produced in
the factory
2. Number of deaths due to a rare
disease.
3. Number of deaths due to the kick of a
horse in an army.
4. Number of mistakes committed by a typist per page.
iii. Additive property of Poisson random variables
If X1 and X2 are
two independent Poisson random variable with parameters λ1 and λ2
then X1 + X2 is a Poisson random variable with parameter λ1
+ λ2.
(i) No. of defective items produced
(ii) No. of deaths due to a rare
disease.
Note:
The binomial distribution is characterised by two parameters p, n while the
Poisson distribution is characterised by a single parameter λ. The sample space
for the binomial distribution is {0, 1, 2, ... n} while the sample space for
the poisson distribution is {0, 1, 2, ... n,...} Expected value (mean) is given
by λ and variance of the Poisson distribution is also λ.
Example 1.8.1
If X is a Poisson variate such that P(X
= 2)= 9 P(X = 4) + 90 P(X = 6), find the variance. [A.U. A/M. 2008, M/J 2013]
Solution:
The probability distribution for the
Poisson R.V. X is given by,

Given: P(X = 2) = 9 P(X = 4) + 90 P(X =
6)


For a Poisson distribution, Var (X) = λ
= 1.
Example 1.8.2
Write down the probability mass function
of the Poisson distribution which is approximately equivalent to B (100, 0.02).
Solution :
Given: n = 100, p = 0.02
λ = np = 100 × 0.02 = 2
Hence, the probability distribution is P
(X = x) 
Example 1.8.3
If X and Y are independent Poisson
variate such that P(X = 1) = P(X = 2) and P(Y = 2) = P(Y = 3) find the variance
of X - 2Y.
Solution :
We know that, P(X = x) = 


Example 1.8.4
What are the main characteristics of the
Poisson distribution and give some example of the same.
Solution :
Its main characteristics are :
(i) It is the limiting form of binomial
distribution when n is large and p (or q) is small.
(ii) Here p (or q) is very close to zero
or unity, but if p is very close to zero, the distribution is unimodal.
(iii) As it consists of a single
parameter 'λ' the entire distribution can be obtained by knowing the mean 'λ'
only.
Some examples:
(i) The number of defective screws per box
of 100 screws.
(ii) The number of typographical errors
per page in a typed material.
(iii) The number of cars passing through a certain street in time 't'.
Example 1.8.5
Is the additive or reproductive property
of Poisson distribution true for (i) the
(i) the mean of two Poisson variates
(ii) the difference between the two independent Poisson variates.
Solution :
(i) The mean of two Poisson variates
cannot be a Poisson variate, since the average can take fractional values which
are not possible for a Poisson variate.
(ii) The difference between the
independent Poisson variates is not a Poisson variate; because, the difference
can take negative values also, whereas in a Poisson distribution, negative
values are not permitted.
Example 1.8.6
Deduce the mean and four moments of the
Poisson distribution from binomial distribution as a limiting case: [A.U A/M
2019 (R17) RP]
Solution:
Binomial distribution -> Poisson
distribution,
when n -> ∞, np = λ and p or q ->
1
.'. Mean of binomial distribution = np =
λ = mean of Poisson distribution
µ2 (for binomial
distribution) = npq -> np = λ = µ2 (for Poisson distribution) as q -> 1.
µ3 (for binomial
distribution) = npq (q-p)
-> np (1 - p) as q -> 1
-> npq -> np = λ = µ3
(for Poisson distribution)
µ4 (for binomial
distribution)

Example 1.8.7
If X and Y are independent Poisson
variates, show that the conditional distribution of X given X + Y is binomial.
[A.U. M/J 2006]
Solution :
X and Y are independent Poisson variates
with parameter λ1 and λ2 respectively
-> X + Y is a Poisson variate with
parameter λ1 + λ2.

['.' X and Y have Poisson distribution
with parameters λ1 and λ2 => X + Y also has Poisson
distribution with parameter λ1 + λ2]

pdf of binomial distribution.
Hence the result.
Example 1.8.8
The sum of two independent Poisson
variates is a Poisson variate. [A.U. M/J 2006] [A.U N/D 2018 R-17 PS]
Solution:
Let X1, X2 be the two independent Poisson variate with parameter λ1, λ2 respectively.

.'. The sum of two independent poisson
variates is a Poisson variate.
Example 1.8.9
If X1 and X2 is
independent Poisson variates, show that X1 – X2 is not a
Poisson variate. [A.U M/J 2006]
Solution:
Let X1, X2 be the
two independent Poisson Variates with parameter λ1, λ2
respectively.

which cannot be expressed in the form of
eλ(et-1)
.'. X1 - X2 is not
a Poisson variate.
Example 1.8.10
Derive the Poisson distribution as a
limiting case of Binomial distribution. (OR) State the conditions under which
the Poisson distribution is a limiting case of the Binomial distribution and
show that under these conditions the binomial distribution is approximated by
the Poisson distribution. [A.U N/D 2013, N/D 2014]
Solution :
The Binomial probability law for x
successes in a series of 'n' independent trials is 
To consider it under limiting case when
(i) n is indefinitely large (i.e.,) n
-> ∞
(ii) p is very small s.t. p -> 0
(iii) np = λ (a finite quantity)
=> p = λ/n and q = 1 - p = 1 - λ/n

where λ is known as the parameter of the
distribution.
Example 1.8.11
If X is a Poisson variate such that 2
P[X = 0] + P [X = 2] = 2P [X = 1], find E[X].
Solution:
We know that, P[X = x] =
, x = 0,
1, 2, ..., n. and λ > 0
Given:

Example 1.8.12
If X is a Poisson variate such that E [X2]
= 6, then find E[X]
Solution:
We know that, E[X] = Var[X] = λ, Given
E[X2] = 6

Example 1.8.13
If X is a Poisson variate such that P [X
= 0]= 0.5, then find Var[X]
Solution:
Given: P[X = 0] = 0.5


Example 1.8.14
It is known that the probability of an
item produced by a certain machine will be defective is 0.05. If the produced
items are sent to the market in packets of 20, find the number of packets
containing atleast, exactly and atmost 2 defective items in a consignment of
1000 packets using (i) Binomial distribution, (ii) Poisson approximation to Binomial
distribution. [A.U Trichy M/J 2011, CBT N/D 2011] [A.U N/D 2017 (RP) R-08]
Solution:
(i)
Binomial distribution: Let X denotes the number of defective
items produced by a certain machine.

p -> Probability that an item to be
defective = 0.05 and q = 0.0.95 and n = 20.
(a) Number of packets containing atleast
2 defective items
= NP (X ≥ 2)
= 1000 [1 - P (X < 2)] = 1000 [1 - (P
(X = 0) + P(X = 1))]

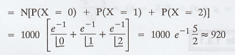
(b) Number of packets containing exactly
2 defective items
= N [P(X = 2)]

(c) Number of packets containing atmost
2 defective items
= N (P(X ≤ 2))
= N [P(X = 0) + P(X = 1) + P(X = 2)]

(ii)
Poisson distribution : Since p = 0.05 is very small and n =
20 is sufficiently large, Binomial distribution may be approximated poisson
distribution with parameter
λ = np = 20 x 0.05 = 1

(a) Number of packets containing atleast
2 defective items
= NP(X ≥ 2)

(b) Number of packets containing exactly
2 defective items
= NP(X = 2)

(c) Number of packets containing atmost
2 defective items
= NP(X ≤ 2)

Example 1.8.15
If X and Y are independent Poisson
variates with means λ1 and λ2 respectively, find the
probability that (i) X + Y = K, (ii) X = Y.
Solution :
(i) We know that, for a Poisson variate
'X'


Example 1.8.16
If the moment generating function of the
R.V is e4(et - 1), then find P(X = µ + σ) where µ and σ2
are the mean and variance of the Poisson.
Solution:
We know that, for a Poisson
distribution, the moment generating function is Mx(t) = eλ(et-1),
where λ = 4
Mean = 4 and S.D. = vVar = v4 = 2
.'. P (X = µ + σ) = P(X = 6) = 
Example 1.8.17
If X is a Poisson R.V such that P (X =
1) = 0.3 and P (X = 2) = 0.2, then find P (X = 0)
Solution :
If X is a Poisson R.V with parameter ?, then


Example 1.8.18
The number of monthly breakdown of a
computer is a random variable having a Poisson distribution with mean equal to
1.8. Find the probability that this computer will function for a month.
(1) without a breakdown (2) with only
one breakdown and (3) with atleast one breakdown. [AU May/June 2006
MA034"] [A.U N/D 2012] [A.U M/J 2007, N/D 2008] [A.U A/M 2017 R-08] [A.U
N/D 2017 (RP) R-13]
Solution:
Given: mean = λ = 1.8
Let X denotes the no. of breakdowns of a
computer in a month.
.'. the probability distribution is P(X
= x) = 
(a) P(without a breakdown) = P(X = 0) =
= 0.1653
(b) P(with only one breakdown) = P(X =
1) =
= 0.2975
(c) P(with atleast 1 breakdown) = P(X ≥
1) = 1 - P(X < 1) = 1 - P(X = 0) = 1 - 0.1653
= 0.8347
Example 1.8.19(a)
The number of typing mistakes that a
typist makes on a given page has a Poisson distribution with a mean of 3
mistakes. What is the probability that she makes
(1) Exactly 7 mistakes = P[X = 7]
(2) Fewer than 4 mistakes = P[X < 4]
0
(3) No mistakes on a given page = P[X =
0] [A.U N/D 2015 R-8]
Solution
Given:
Mean (λ) = 3 = 

Example 1.8.19(b)
The average number of traffic accidents
on a certain sections of a highway is two per weak. Assume that the number of
accidents follows a Poisson distribution. Find the probability of (i) no
accident in a week (ii) atmost two accidents in a 2 week period. [A.U A/M 2019
(R13) RP] [A.U M/J 2009]
Solution:
Given: Mean = λ = 2 per week
We know that, P [X = x] = 
(i) P[X = 0] = 
(ii) During a 2 week period the average
number of accidents in this highway = 2 + 2 =
4
The probability of atmost two accidents
in a 2 week period.
=> P(X ≤ 2) = P[X = 0] + P[X = 1] + P
[X = 2]

Example 1.8.20
A book of 500 pages contains 500
mistakes. Find the probability that there are atleast four mistakes per page.
Solution :
Total number of mistakes in Book = 500
Total number of pages = 500
The average of 1 mistake per page i.e., λ
= 1
Let X be a random variable mistakes in a
page then
P(X = x) = 
P(atleast four mistakes)
P(X ≥ 4) = 1 - P(X < 4) = 1 - P(X ≤
3)
= 1 - [P (X = 0) + P(X = 1) + P(X = 2) +
P(X = 3)]

Example 1.8.21
The atoms of a radioactive element are
randomly disintegrating. If every gram of this element, on average, emits 3.9
alpha particles per second, what is the probability that during the next second
the number of alpha particles emitted from 1 gm is (a) atmost 6 (b) atleast 2
(c) atleast 3 and atmost 6. [AU N/D 2007]
Solution:
Now Mean λ = 3.9
We know that, P(X = x) = 
(a) P(atmost 6) = P(X ≤ 6) = P[X = 0] +
P(X = 1] + P[X = 2] + P[X = 3] + P[X = 4] + P[X = 5] + P[X = 6]

= 0.899
(b) P(atleast 2) = P(X ≥ 2) = 1 - P[X
< 2]
= 1 - [P(X = 0) + P(X = 1)]

(c) P(atleast 3 and atmost 6)
= P(3 ≤ X ≤ 6) = P[X = 3] + P[X = 4] +
P[X = 5] + P [X = 6]

= 0.646
Example 1.8.22
VLSI chips, essential to the running of
a computer system, fail in accordance with a Poisson distribution with the rate
of one chip in about 5 weeks. If there are two spare chips on hand, and if a
new supply will arrive in 8 weeks. What is the probability that during the next
8 weeks the system will be down for a week or more, owing to a lack of chips?
[A.U N/D 2007]
Solution :
λ = rate of one chip in about 5 weeks =
1/5
P(system down for atleast one week
before new supply in 8 weeks)
= P(3 or more failures within 7 weeks)
= 1 - P[0, 1, 2, failures in 7 weeks]
= 
where a = λ t = 1.4

Example 1.8.23
Messages arrive at a switch board in a
Poisson manner at an average rate of six per hour. Find the probability for
each of the following events :
(1) exactly two messages arrive within
one hour.
(2) no message arrives within one hour
(3) atleast three messages arrive within one hour. A.U. A/M 2015 R13] [A.U N/D 2016 R13 PQT] [A.U A/M 2018 R-13] [A.U N/D 2017 R-13]
Solution:
Mean λ = 6 per hour

Example 1.8.24
The probability that a man aged 35 years
will die before reaching the age of 40 years may be taken as 0.018. Out of a
group of 400 men now aged 35 years, what is the probability that 2 men will die
within next 5 years?
Solution :
Given that, n = 400 and p = 0.018
λ = np = 0.018 × 400 = 7.2

Example 1.8.25
The manufacturer of pins knows that 2%
of his products are defective. If he sells pins in boxes of 100 and guarantees
that not more than 4 pins will be defective. What is the probability that a box
will fail to meet the guaranteed quality ? [A.U N/D 2013] [A.U A/M 2018 R8]
Solution :
Given that, n = 100 and p = 2% = 2/100
λ = np = (2/100) x 100 = 2

EXERCISE 1.8
1. A large shipment of text books
contains 2% with imperfect bindings. What is the probability that among 400
text books, taken from this shipment exactly 5 have imperfect bindings? [Ans.
0.09]
2. The probability of getting no
misprint in a page of a book is e-4. What is the probability that a
page contains (a) 2 misprints (b) more than 3 misprints? [Ans. (a) 0.1465 (b)
0.5665]
3. In a certain factory producing cycle
tyres, there is a small chance of 1 in 500 tyres to be defective. The tyres are
supplied in lots of 10. Using Poisson distribution calculate the approximate
number 10 of lots containing no defective, one defective and two defective
tyres respectively, in a consignment of 10,000 lots. [Ans. (i)9802 lots (ii)196
lots (iii) 2 lots]
4. Using Poisson distribution, find the
probability that the ace of spades will be drawn from a pack of well shuffled
cards atleast once in 104 consecutive trails. [Ans. 0865]
5. Out of 1000 balls, 50 are red and the
rest white. If 60 balls are picked at random, what is the probability of picking
up (i) 3 red balls (ii) not more than 3 red balls in the sample? [Ans. (i)
0.2241 (ii) 0.6474]
6. Find the probability that atmost 5
defective fuses will be found in a box of 200 fuses if experience shows that 2%
of such fuses are defective. [Ans. 0.785]
7. It is known from past experience that
in a certain plant there are on the average 4 industrial accidents per month.
Find the probability that in a given year there will be less than 4 accidents.
[Ans. 0.4332]
8. A distributor of bean seeds determines
from extensive tests that 5% of large batch of seeds will not germinate. He
sells the seeds in packets of 200 and guarantees 90% germination. Determine the
probability that a particular packet will violate the guarantee. 
9. An automatic machine makes paper
clips from coils of a wire. On the average, 1 in 400 paper clips is defective.
If the paper clips are packed in boxes of 100, what is the probability that any
ovitogiven box of clips will contain (i) no defective, (ii) one or more
defectives, (iii) less than two defectives. [Ans. (i) 0.7787, (ii) 0.2213,
(iii) 0.97344]
10. x is a Poisson variate with λ = 1.5.
Find the probability that (i) x = 3; (ii) x ≤ 3. [Ans. 0.125; 0.934]
11. If 2.5% of the units produced in a
factory are known to be defective, find the probability that in a box of 100
units produced by the factory 3 or less are defective. [Ans. 0.758]
12. If one in a thousand workers in a
factory has a lung disease find the probability that among 2000 workers 2 or 3
will have that disease. [Ans. 0.451]
13. In a company, on an average 3
workers are absent. Assuming Poisson distribution find the probability that 5
are absent on a 1285.000 particular day. [Ans. 0.101]
14. 1% of the units manufactured by a
company are defective. They are packed in boxes of 250 each. Find the
probability that a particular box contains 4 defectives. In one thousand such
boxes [SEE how many boxes may be expected to contain less than 2 defectives?
[Ans. 0.134; 287]
15. The probability that a man aged 50
will die within the next year is 0.002. What is the probability that out of 100
such persons 98 will survive till next year ? [Ans. 0.984]
Random Process and Linear Algebra: Unit I: Probability and Random Variables,, : Tag: : Poisson Distribution with Problems - Poisson Distribution
Random Process and Linear Algebra
MA3355 - M3 - 3rd Semester - ECE Dept - 2021 Regulation | 3rd Semester ECE Dept 2021 Regulation