The Normal Distribution was introduced by the French Mathematician Abraham De Moivre in 1733. Demoivre, who used this distribution to approximate probabilities connected with coin tossing, called if the exponential bell-shaped curve.
NORMAL DISTRIBUTIONS
The Normal Distribution was introduced
by the French Mathematician Abraham De Moivre in 1733. Demoivre, who used this
distribution to approximate probabilities connected with coin tossing, called
if the exponential bell-shaped curve.
i. Normal Distribution
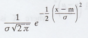
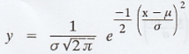
A normal distribution is a continuous
distribution given by
where X is a continuous normal variate
distributed with density function f(x) =
with mean µ and standard
deviation σ.
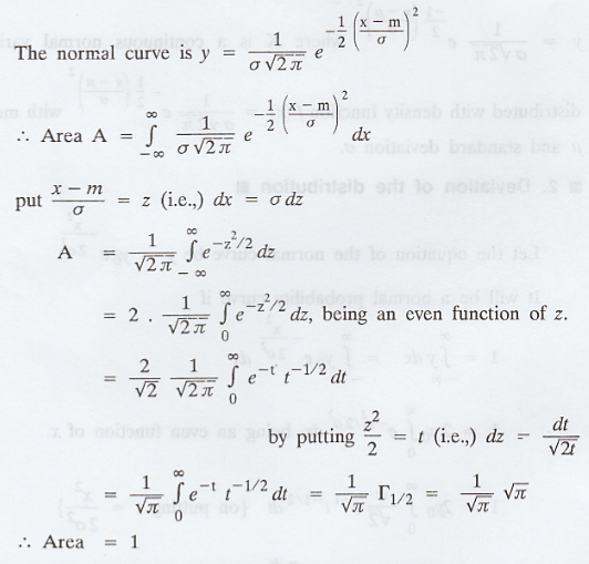
ii. Deviation of the distribution
Let the equation of the normal curve be
y = 
It will be a normal probability curve if

In the above derivation, mean has been
taken at the origin, but if however another point is taken as the origin such
that the excess of the mean over the arbitrary origin is 'm', then
is the standard form of
the normal curve with origin at (m, 0).
iii. Area under the normal curve is unity
The normal curve is y = 

iv. Characteristics of the Normal Distribution
The diagram of a normal distribution is
given below. It is called normal curve. It suggests several important
properties of the normal distribution.

a. The normal distribution is a
symmetrical distribution and the graph of the normal distribution is bell
shaped.
b. The curve has a single peak point
(i.e.,) the distribution is unimodal.
c. The mean of the normal distribution
lies at the centre of normal curve.
d. Because of the symmetry of the normal
curve, the median and mode are also at the centre of the normal curve. Hence in
a normal distribution the mean, median and mode coincide.
e. The tails of the normal distribution
extend indefinitely and never touch the horizontal axes. That is, we say that
the normal curve approaches asymptotically on either side of its horizontal
axes.
f. The normal distribution is a two
parameter probability distribution. The parameters mean and standard deviation
(µ, σ) completely determine the distribution.
g. Area property: In a normal
distrbution, about 67% of the observations will lie between mean ± S.D (i.e., µ
± σ). About 95% of the observations will lie between mean ± 2 S.D (µ ± 2
σ).
About 99% of the observations will lie between mean ± 3 S.D (i.e., µ ± 3
σ).
v. Standard normal probability distribution
If X is a normally distributed random
variable µ and s are respectively its mean and standard deviation, then Z = (X
- µ)/ σ
is called standard normal random variable.

Special table called table of areas
under normal curve is available to determine probabilities that the random
variable lies in a given range of values of the variables. Using the table, we
can determine the probability for X, taking a value less than x (X < x) and
also for a given probability we determine the value x such that X < x.
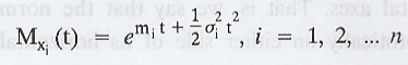
vi. The additive property of Normal Distribution
If X1, X2, ... Xn
are independent normal variates with parameters (m1, σ1),
(m2, σ2) ... (mn, σn) respectively,
then X1 + X2 + ... + Xn is also a normal
variate with parameter (m, σ),
where m = m1 + m2
+ ... + mn and 
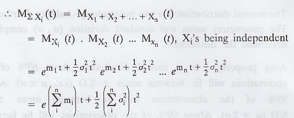
Proof :


which is the moment generating function
of a normal variate with mean
and variance 
Hence, X1 + X2 +
... + Xn follow normal distribution with mean
and
variance 
Example 1.12.1
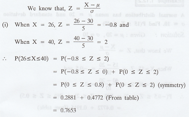
X is a normal variate with mean 30 and S.D 5. Find the probabilities that (i) 26 ≤ X ≤ 40, (ii) X ≥ 45, (iii) |X - 30| > 5 [A.U Tvli A/M 2009]
Solution



Example 1.12.2
A normal distribution has mean µ = 20
and standard deviation σ = 10. Find P(15 ≤ X ≤ 40)
Solution :
Given: µ = 20, σ = 10

Example 1.12.3
The average seasonal rainfall in a place
in 16 inches with a S.D. of 4 inches. What is the probability that in a year
the rainfall in that place will be between 20 and 24 inches ?
Solution :


Example 1.12.4
If X is a random variable normally
distributed with mean zero and variance σ2, find E [|X|].
Solution:
E [|X|] = Mean deviation about origin
= Mean deviation about mean (.'. mean =
0)
Mean deviation about mean = 4σ/5
.'. E [|X|] = 4σ/5.
Example 1.12.5
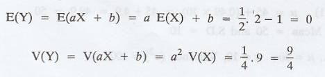
X is a normal variate with mean 1 and
variance 4. Y is another normal variate independent of X with mean 2 and
variance 3. What is the distribution of X + 2Y.
Solution:
Since X and Y are independent normal
variates, X + 2Y will also be a normal variate by the addition property and
Mean of (X + 2Y) = = E(X + 2Y) = E(X) +
2E(Y)
= 1 + 2 x 2 = 5 [.'. E(X) = 1, E(Y) = 2]
Variance of (X + 2Y) = V(X + 2Y) = V(X)
+ 4V(Y) ['.' X and Y are independent]
= 4 + 4 x 3 = 16 [V(X) = 4, V(Y) = 3]
.'. X + 2Y will follow normal with mean
5 and variance 16.
Example 1.12.6
If X is normal with mean 2 and standard
deviation 3, describe the distribution of Y = 1/2 (X - 1) find P[Y ≥ 3/2]
Solution :
Given X follows normal with mean 2 and
variance 9. The distribution of Y = aX + b is also normal with


Example 1.12.7
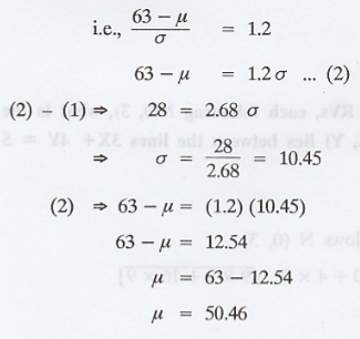
In a normal distribution, 31% of the
items are under 45 and 8% are over 64. Find the mean and variance of the
distribution. [A.U N/D 2015 R13, RP] [A.U A/M 2019 (R13) RP] [A.U CBT N/D 2011]
[A.U M/J 2012]
Solution:
We know that, Z = 




Example 1.12.8
(i) A company finds that the time taken
by one of its engineers to complete or repair job has a normal distribution
with mean 40 minutes and standard deviation 5 minutes. State what proportion of
jobs take: (a) less than 35 minutes (b) more than 48 minutes
(ii) The company charges Rs. 20 if the
job takes less than 35 minutes, Rs. 40 if it takes between 35 and 48 minutes and
Rs. 70 if it takes more than 48 minutes. Find the average charge for a repair
job.
Solution :





.'. Proportion of jobs which takes more
than 48 minutes = 0.0548.
(ii) P(35 < X < 48) = P( -1 < Z
< 1.6)
= P(-1 < Z < 0) + P(0 < Z <
1.6)
= 0.3413 + 0.4452 = 0.7865
.'. Proportion of jobs which takes
between 35 and 48 minutes = 0.786.

Example 1.12.9
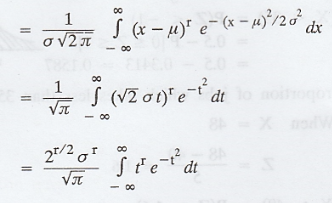
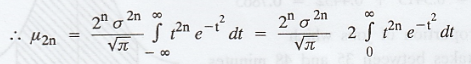
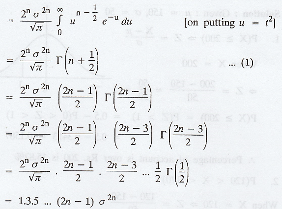
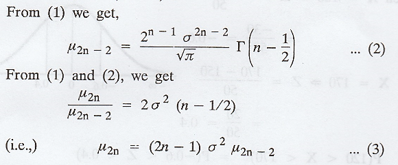
Find the nth central moments of normal
distribution. [AU M/J 2007] [A.U N/D 2014 (RP) R-8]
Solution:
Central moments of the normal
distribution N(µ, σ)
Central moments µr of N(µ, σ)
are given by µr = E(x - µ)r

Case (i) r is an odd integer, that is, r
= 2n + 1.

Case (ii) r is an even integer, that is
r = 2n

['.' the integrand is an even function
of t]


(3) gives a recurrence relation for the
even order central moments of the normal distribution N (µ, σ).
Example 1.12.10
The savings bank account of a customer
showed an average balance of Rs. 150 and a standard deviation of Rs. 50.
Assuming that the account balances are normally distributed.
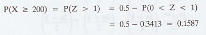
1. What percentage of account is over
Rs. 200 ?
2. What percentage of account is between
Rs. 120 and Rs. 170? [AU N/D 2006]
3. What percentage of account is less than Rs. 75 ?
Solution
Given: µ = 150, σ = 50



.'. Percentage of account is over Rs.
200 is 15.87%
2. P(120 < x < 170)



.'. Percentage of account is between Rs.
120 and Rs. 170 is 38.11%
3. P(X < 75) => Z = 

.'. Percentage of account is less than
Rs. 75 is 6.68%
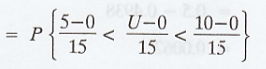
Example 1.12.11
An electrical firm manufactures light
bulbs that have a life, before burn-out, that is normally distributed with mean
equal to 800 hours and a standard deviation of 40 hours. Find
(1) the probability that a bulb burns
more than 834 hours
(2) the probability that bulb burns
between 778 and 834 hours. [AU N/D 2006] [A.U N/D 2018 R-13 PQT]
Solution
(1) Given: µ = 800 hours σ = 40 hours



(2) Given: X1 = 778 and X2
= 834

Example 1.12.12
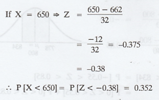
The mean yield for one-acre plot is 662
kilos with standard deviation 32 kilos. Assuming normal distribution, how many
one-acre plots in a patch of 1,000 plots would you expect to have yield over
700 kilos, below 650 kilos. [AU A/M 2008]
Solution:
Given: µ = 662, σ = 32
Standard normal variate
.'. The number of plots have yield over
700 kilos = 117

.'. The number of plots have yield below 700 kilos = 117

.'. The number of plots have yield below
650 kilos = 352
Example 1.12.13
In a distribution exactly normal 7% of
the items are under 35 and 89% are under 63. What are the mean and standard
deviation of the distribution? [AU Nov. 2005]
Solution:
We know that, Z = X - µ / σ




Example 1.12.14
The independent RVS X and Y have
distributions N(45, 2) and N(44, 1.5) respectively. What is the probability
that randomly chosen values of X and Y differ by 1.5 or more? [A.U N/D 2011]
Solution:
X is N (45, 2) and Y is N(44, 1.5)
.'. By the property of additive
U = X - Y follows the distribution 
i.e., N (1, 2.5)
P[X and Y differ by 1.5 or more]
Example 1.12.15
If X and Y are independent RVs, each
following N(0, 3), what is the probability that the point (X, Y) lies between
the lines 3X + 4Y = 5
and 3X + 4Y = 10?
Solution :
X follows N(0, 3) and Y follows N (0,
3).
U = 3X + 4Y follows 
i.e., N(0, 15)
P[the point (X, Y) lies between the
lines 3X + 4Y = 5 and 3X + 4Y = 10]
= P [5 < 3X + 4Y < 10]
= P [5 < U < 10]

= P [0.33 < Z < 0.67]
where Z is the standard normal variable
= P(0 < Z < 0.67) - P (0 < Z
< 0.33)
= 0.2486 - 0.1293, by using the table
= 0.1193
Example 1.12.16
The peak temperature T, as measured in
degrees Fahrenheit, on a particular day is the Gaussian (85, 10) random
variable. What is P (T > 100), P (T < 60) and P [70 ≤ T ≤ 100]? [A.U A/M.
2015, R13]
Solution :
Given µ = 85, σ = 10
We know that, Z = T - µ / σ

(ii) When T = 60, Z = 60 - 85 / 10 =
-2.5
P[T < 60] = P[Z < -2.5]
= 0.5 - P[0 ≤ Z ≤ 2.5]
= 0.5 - 0.4938
= 0.0062
(iii) When T = 70, Z = 70 - 85 / 10
P [70 = T = 100] = P[-1.5 ≤ Z ≤ 1.5]
= P[-1.5 = Z = 0] + P [0 = Z = 1.5]
= 0.4332 + 0.4332 = 0.8664
EXERCISE 1.12
1. If
is the moment
generating function of a normal random variable X, find P [-1 < X < 9].
2. If f(x) =
is the
density function of a normal distribution, k being a constant, find the mean
and standard deviation of the distribution. [Ans. Mean = 2/3; standard
deviation = 1/3v2
3. If X is normally distributed with
mean zero and variance unity, what is the expectation and variance of eaX?
[Ans. 
4. The quartiles of a normal
distribution are 8 and 14 respectively. Estimate the mean and standard
deviation. [Ans. µ = 11, σ = 4.4]
5. Given that X is distributed normally.
P [X ≤ 45] = 0.31 and P [X ≥ 64] = 0.08, find the mean and standard deviation
of the distribution. [Ans. m = 50, σ2 = 100]
6. In a sample of 1000 cases, the mean
of a certain test is 14 and standard deviation is 2.5. Assuming the
distribution to be normal find (i) How many students score between 12 and 15 ?
(ii) How many score above 18 ? (iii) How many score below 18 ? (iv) How many
score 16? [Ans. (i) 443, (ii) 54, (iii) 8, (iv) 116]
7. The average test marks in a
particular class is 79. The S.D is 5. If the marks are distributed normally,
how many students in a class of 200 did not receive marks between 75 and 82?
[Ans. 97]
8. In a sample of 120 workers in a
factory the mean and standard deviation of wages were Rs. 11.35 and Rs. 3.03
respectively. Find the percentage of workers getting wages between Rs. 9 and
Rs. 17 in the whole factory assuming that the wages are normally ICI
distributed? [Ans. 75.09%]
9. At a certain examination 10% of the
students who appeared for the paper in statistics got less than 30 marks and
97% of the students got less than 62 marks. Assuming the distribution is
normal, find the mean and the S.D. of the distribution.
[Ans. µ = 43.04, σ = 10.03]
Random Process and Linear Algebra: Unit I: Probability and Random Variables,, : Tag: : Deviation, Characteristics of Normal Distribution - Normal Distribution
Random Process and Linear Algebra
MA3355 - M3 - 3rd Semester - ECE Dept - 2021 Regulation | 3rd Semester ECE Dept 2021 Regulation