1. A random variable X may have no moment although its m.g.f exists. 2. A random variable X can have its moment generating function and some (or all) moments, yet the moment generating function does not generate the moments. 3. A random variable X can have all or some moments, but moment generating function do not exist except perhaps at one point.
MOMENTS - MOMENT
GENERATING FUNCTIONS AND THEIR PROPERTIES
Moments [Discrete case]
Let X be discrete R.V. taking the values
x1, x2, ... xn with probability mass function
p1, p2, ... pn respectively then the rth
moment about the origin is

In particular from (1)

Moments [Continuous case]
If X is a continuous R.V. with
probability density function f(x) defined in the interval (a, b) then

Moments Generating Function (M.G.F)
An important device that can be used to
calculate the higher moments is the moment generating function.
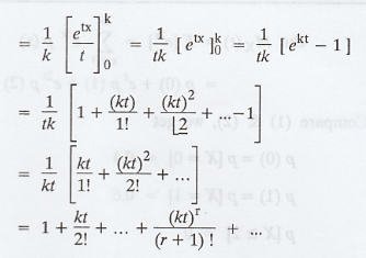
Moment generating function of a random
variable X about the origin is defined as

where t being a real parameter assuming
that the integration or summation is absolutely convergent for some positive
number h such that |t| < h


.'. MX(t) generates moments about the
origin and hence we call it as moment generating function.
Note

Limitations of m.q.f
1. A random variable X may have no
moment although its m.g.f exists.
2. A random variable X can have its
moment generating function and some (or all) moments, yet the moment generating
function does not generate the moments.
3. A random variable X can have all or
some moments, but moment generating function do not exist except perhaps at one
point.
Properties of moment Generating function [A.U Tvli. A/M 2009]
Let Y = aX + b, where X is a R.V with
moment generating function MX(t). Then

2.
where c is a constant.
3. If X and Y are two independent random
variables, then

Proof :

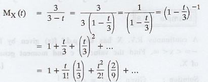
Example 1.6.1
Find the moment generating function of
the RV X whose probability function P(X = x) = 1/2x, x = 1,2,...
Hence find its mean. [A.U Tvli A/M 2009] [A.U CBT A/M 2011] [A.U N/D 2018 PQT
R-13]
Solution:


Example 1.6.2
If X represents the outcome, when a fair
die is tossed, find the moment generating function (MGF) of X and hence find
E(X) and Var(X). [A.U A/M 2018 R-13]
Solution:
The probability distribution of X is
given by

Example 1.6.3
Find the probability distribution of the
total number of heads obtained in four tosses of a balanced coin. Hence obtain
the MGF of X, mean of X and variance of X. [AU A/M 2008]
Solution
:

(i) MGF


Example 1.6.4
For a discrete random variable. X with
probability function

Show that E(X) does not exist eventhough
m.g.f exists. [A.U N/D 2012]
Solution:
Given: 

Hence, E(X) does not exist.
Now, we have, by definition the m.g.f as



by using L'Hospital rule for indetermine
form (0 x ∞) and Mx(t) does not exist for t > 0
Example 1.6.5
For the triangular distribution

find the mean, variance and the moment
generating function (MGF) also find cdf of F(x). [A.U. M/J 2006, N/D 2013] [A.U
CBT M/J 2010, CBT N/D 2011] [A.U N/D 2013] [A.U A/M 2018 R-08] [A.U N/D 2018
R13 RP]
Solution
Given: f(x) = 
Mean = 


The moment generating function of the
Random variable X is


To find the cdf of F (x)


Example 1.6.6
Let the random variable X have the p.d.f

Find the moment generating function,
mean and variance of X. [A.U. A/M. 2005, N/D 2012] [A.U A/M 2019 (R8) RP]
Solution:
The m.g.f is given by


Example 1.6.7
The density function of a random
variable x is given by
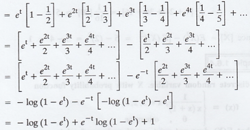
f(x) = Kx (2-x), 0 ≤ x ≤ 2. Find K,
mean, variance and rth moment. [A.U. N/D 2006] [A.U. M/J 2007] [A.U
Trichy A/M 2010]
Solution :
Given: f (x) = Kx (2-x), 0 ≤ x ≤ 2 is a
p.d.f.
We know that, if f (x) is a p.d.f then,



Example 1.6.8
A continuous R.V. X has the p.d.f f(x)
given by f(x) = ce-|x|, -∞ < x < ∞. Find the value of c and
moment generating function of X. [A.U. M/J 2007]
Solution :
Given: f(x) = ce-|x|
Given f(x) is a p.d.f.

Example 1.6.9
If a R.V X has the mgf
obtain
the standard deviation of X [A.U A/M 2018 R-08]
Solution :



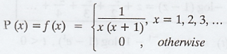
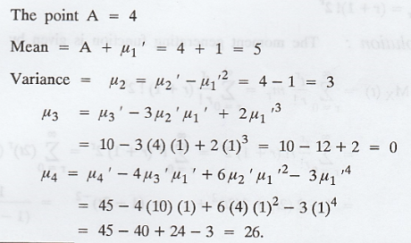
Example 1.6.10
The first four moments of a distribution
about X = 4 are 1, 4, 10 and 45 respectively. Show that the mean is 5, variance
is 3, µ3 = 0 and µ4 = 26. [A.U. N/D. 2004]
Solution:


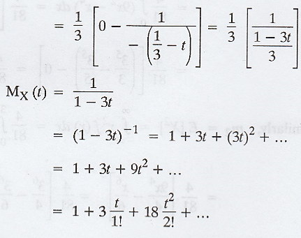
Example 1.6.11
If a RV X has the moment generating
function MX(t) = 2/2-t determine the variance of X. [A.U M/J 2012]
Solution :


Example 1.6.12
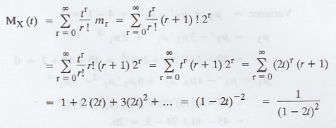
Find the moment generating function of
the RV whose moments are 
Solution:
The moment generating function is given
by

Example 1.6.13
A random variable X has density function
given by

Find (1) m.g.f. (2) rth moment (3) mean
(4) variance [AU N/D 2006]
Solution :



Example 1.6.14
If the moments of a random variable 'X'
are defined by E (Xr) = 0.6; r = 1, 2, 3, ...
Show that P (X = 0) = 0.4, P (X = 1) =
0.6, P (X ≥ 2) = 0 [AU N/D 2008]
Solution:
We know that,


Example 1.6.15
Prove that the moment generating
function of the sum of a number of independent random variables is equal to the
product of their respective moment generating functions. [AU N/D 2006]
Solution:
Given:

Example 1.6.16
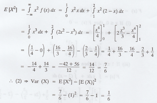
Let X be a R.V. with p.d.f f(x) = 
Find,
(1) P(X > 3)
(2) Moment generating function of X
(3) E(X) and Var(X) [AU M/J 2007]
Solution:





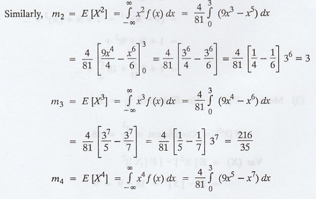
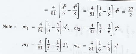
Example 1.6.17
Find the first four moments about the
origin for a random variable X having the pdf.
[AU N/D 2008] [A.U N/D 2016
R13 PQT] [A.U N/D 2019 (R17) PS]
Solution:
Given: f(x) = 



Example 1.6.18
Give an example to show that if pdf
exists but MGF does not exist.
Solution:
Let f (x) = 

R.H.S is a divergent series. .'. MGF
does not exist.
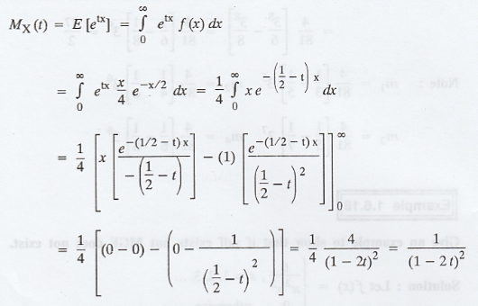
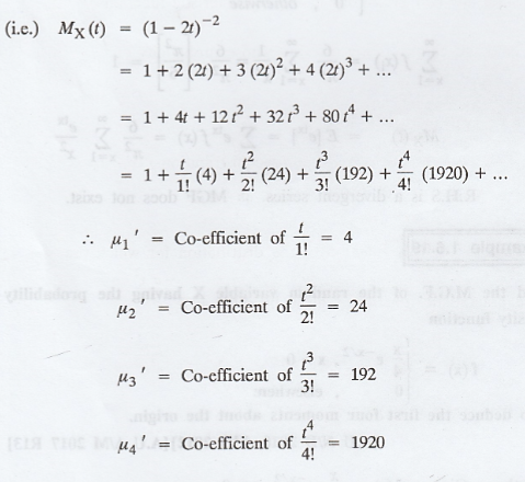
Example 1.6.19
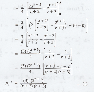
Find the M.G.F. of the random variable X
having the probability density function

Also deduce the first four moments about
the origin. [A.U N/D 2010, M/J 2012] [A.U A/M 2017 R13]
Solution:
Given: f(x) = 


EXERCISES 1.6
1. Define m.g.f. of a discrete and
continuous r.v. X.
2. Define cumulants and obtain the first
four cumulants interms of central moments.
3. Define the characteristic function of
a r.v. X. Show that the bas characteristic function of the sum of two
independent variables is equal to the product of their characteristic function.
4. Find the characteristic function of
r.v. X defined as 
5. State any two properties of the
characteristic function of a r.v. X.
6. Find the characteristic function
whose probability density function is

7. Show that the rth moment for the
distribution
, c is positive and 0 ≤ x ≤ 8 is 
8. Find the density function of the
distribution for which the characteristic function is given by 

9. If the m.g.f of a R.V. 'X' is
2/(2-t), then find the S.D of X. [Ans.1/2]
10. Find the m.g.f of a r.v. X whose
density function is given by
. Hence find its mean and
variance.

11. The random variable X assumes the
value x with the probability P(X=x) = q1-xp, x = 1, 2, 3, ... Find
the m.g.f of X and find its mean and variance. 
12. Find the m.g.f for the given distribution
Also, find µ1' and µ2'
by two different methods.

13. A random variable X has the p.d.f.
Find its m.g.f mean and variance. [Ans. 
14. Give the significance of moments of
a random variable.
15. Define nth moment about
origin for a random variable.
16. Find the moment generating function
of a R.V X having the density function f (x) =
Using the generating function, find the
first four moments about the origin.
Random Process and Linear Algebra: Unit I: Probability and Random Variables,, : Tag: : - Moments - Moments Generating Functions and Their Properties
Random Process and Linear Algebra
MA3355 - M3 - 3rd Semester - ECE Dept - 2021 Regulation | 3rd Semester ECE Dept 2021 Regulation