A subset S of a vector space that is not linearly dependent is called linearly independent. As before, we also say that the vectors of S are linearly independent. The following facts are true in any vector space. 1. The empty set is linearly independent, for linearly dependent sets must be non-empty. 2. A set consisting of a single non-zero vector is linearly independent. For if {u} is linearly dependent, then au = 0 for some non-zero scalar a.
LINEAR
DEPENDENCE AND LINEAR INDEPENDENCE
Definition
:
A sub-set S of a vector
space V is called linearly dependent if there exist a finite number of distinct
vectors u1, u2, ..., un in S and scalars a1,
a2, ... an, not all zero, such that

Note:
In this case we also say that the vectors of S are linearly dependent.
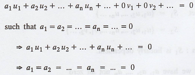
For any vectors u1,
u2, ..., un, we have

We call this the trival representation of 0 as a linear
combination of u1, u2, ..., un. Thus, for a
set to be linearly dependent, there must exist a non-trivial representation of
0 as a linear combination of vectors in the set.
Consequently, any
subset of a vector space that contains the zero vector is linearly dependent,
because 0 = 1.0 is non-trivial representation of 0 as a linear combination of
vectors in the set.
Definition
:
A subset S of a vector
space that is not linearly dependent is called linearly independent. As before, we also say that the vectors of S
are linearly independent.
The following facts are
true in any vector space.
1. The empty set is
linearly independent, for linearly dependent sets must be non-empty.
2. A set consisting of
a single non-zero vector is linearly independent. For if {u} is linearly
dependent, then au = 0 for some
non-zero scalar a. Thus,

3. A set is linearly
independent if and only if the only representations of 0 as linear combinations
of its vectors are trival representations.
(a)
Vector Space M = Mm x n
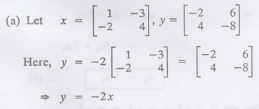
Problem 1.
Determine whether the
following sets are linearly dependent or linearly independent.

Solution
:

Hence, x,y are linearly
dependent.



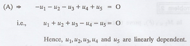
Put a4 = 1,
we get a1 = -3, a2 = -1, a3 = −1
the values satisfy all
the (1), (2), (3) & (4) equations.

Hence, u1, u2,
u3, u4 are linearly dependent.
Problem 2.
In M2 x 3
(F), prove that the set

is linearly dependent.
Solution
:


Problem 3.
The set of diagonal
matrices in M2 x 2(F) is a subspace. Find a linearly independent set
that generates this sub-space.
Solution
:

To prove that the
linearly independent set that generates E.
First find the set that
generates E.

The vector u can be written
as,


Hence, the linearly
independent set that generates the subspace E is 
Problem 4.
Let M be a square upper
triangular matrix with non-zero diagonal entries. Prove that the columns of M
are linearly independent.
Solution
:
Let the columns of an n
x n upper triangular matrix





(b)
Vector space - Linear dependence in R3 & R4, Pn(F)
Problem 1.
Let S = {(1, 3, -4, 2),
(2, 2, -4, 0), (1, -3, 2, -4), (-1, 0, 1, 0)} in R4. We show that S
is linearly dependent and then express one of the vectors in S as a linear
combination of the other vectors in S.
Solution
:
To show that S is
linearly independent, we must find scalars a1, a2, a3,
and a4, not all zero such that

One such solution is a1
= 4, a2 = −3, a3 = 2, a4 = 0. Thus S is a
linearly dependent subset of R4, and
4 (1, 3, 4, 2) - 3 (2,
2, −4, 0) + 2 (1, −3, 2, −4) + 0 (−1, 0, 1, 0) = 0
Problem 2.
Determine the following
sets are linearly dependent or linearly independent.

Solution
:

Solving (1), (2) and
(3) by using your calculator fx991Ms
we get a1 =
a2 = a3 = 0
Hence, the s is
linearly independent.



Put a4 = 1,
a1 = 4, a2 = 3, a3 = -3
The values satisfied
all the (5) equations.
.'. Hence, the set is
linearly dependent.
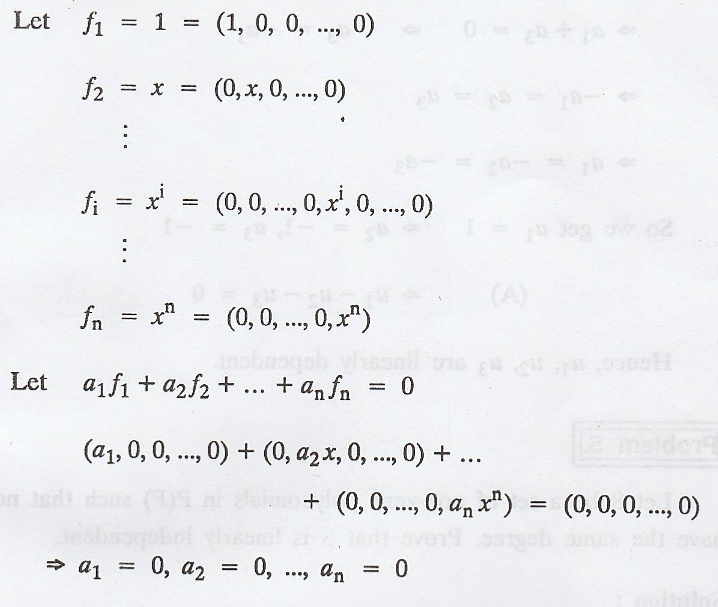
Problem 3.
Show that the set {1,
x, x2,...,xn} is linearly independent in Pn(F)
Solution
:


Thus, f1,f2,
.... fn are linearly independent.
i.c., S = {1, x, x2,
...,.xn) is linearly independent.
Problem 4.
Give an example of
three linearly dependent vectors in R3 such that none of the three
is a multiple of another.
Solution:
Given: None of the
three is multiple of another


Problem 5
Let S be a set of
non-zero polynomials in P(F) such that no two have the same degree. Prove that
S is linearly independent.
Solution
:
Given : S is the set of
all non-zero polynomials.


By the definition of
degree of polynomial ann ≠ 0

So these polynomials
are linearly independent.
(c)
Sub-set, span, finite set, F(R, R)
Theorem :
Let V be a vector
space, and let
If S1 is linearly dependent, then S2
is linearly dependent.
Proof:

Given: S1 is
linearly dependent.
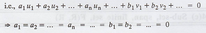
Then we have a1,
a2, ..., an not all zero
Such that a1u1
+ a2u2 + ... + an un + ... = 0
We can extend

Clearly, this is the
linear combination of vectors of S2 such that not all a1,
a2, …, an, … are zero.

Satisfies the
definition of linear dependence.
So, S2 is
linearly dependent.
Corollary
:
Let V be a vector
space, and
If S2 is linearly independent, then S1
is linearly independent.
Proof
:
Given: S2 is
linearly independent.

Conveniently, we write

thus, u1, u2,
..., un are linearly independent
=> S1 is
linearly independent.
Theorem :
Let S be a linearly
independent subset of a vector space V, and v be a vector in V that is not in
S. Then S U {v} is linearly dependent if and only if v ε span(S)
Proof :
If S U {v} is linearly
dependent, then u1, u2, ..., un ε S U {v}
such that
for some non-zero scalars a1, a2, ..., an.

Since v ≠ vi
for i 1, 2, m, the coefficient of v in this linear combination is non-zero, and
so the set {v1, v2, ..., vm, v} is linearly
dependent.
Therefore S U {v} is
linearly dependent.
Problem 1.
Let S = {u1,
u2, ..., un} be a linearly independent sub-set of a
vector space V over the field Z2. How many vectors are there in span(S)? Justify
your answer.
Solution
:
Let V be a vector space
and let S = {v1, v2, ..., vn} be a subset of V
then span (S) is the e set of all those vectors in V.
Let the linearly
independent subset S = {u1, u2, ..., un} of a
vector space V over the field Z2.
Assume S has the
maximum number of linearly independent vectors possible in V, and then clearly
each of the vectors ui, 1 ≤ i ≤ n is an n-tuple or in other words,

Since Z2 =
{0, 1}, then each place ai have only two choices either 0 or 1 and
there are total n places to fill.
Therefore, there are 2
x 2 x ... x 2 = 2n choices
Thus, the span(S) has 2n
vectors.
Problem 2.
Let V be a vector space
over a field of characteristic not equal to two. Let u, v and w be distinct
vectors V.
Prove that {u, v, w} is
linearly independent if and only if {u + v, v + w, u + w} is linearly
independent.
Solution
:
Given that u, v and w
are distinct vectors in a vector space over the field of characteristic not 0.
Suppose {u, v, w} is a
linearly independent set.
To prove : {u + v, v +
w, u + w} is a linearly independent.
Let a(u + v) + b(v + w)
+ c(u + w) = 0 for some scalar a, b, c
=> (a + c) u + (b +
a) v + (b + c) w = 0
Since {u, v, w} is
linearly independent, the corresponding, scalars must be zero.
i.e., a + c = 0, b + c
= 0, a + b = 0
Solving, we get a = b =
c = 0
So, we have shown that
whenever
a (u + v) + b (v + w) +
c (u + w) = 0, we get
a = b = c = 0
=> {u + v, v + w, u
+ w} is a linearly independent set.
Converse Part:
Suppose {u + v, v + w,
u + w} is a linearly independent set.
To prove {u, v, w} is a
linearly independent set.
For, suppose p + q, q +
r, r + p are any three scalars such that
(p + q) u + (q + r) v +
(r + p) w = 0
=> p (u + w) + q (u
+ v) + r (v + w) = 0
Since {u + v, v + w, u
+ w} is linearly independent, the corresponding scalars must be zero.
i.e., p = q = r = 0
Consequently, p + q =
0, q + r = 0, r + p = 0
So, we have shown that
whenever
(p + q) u + (q + r) v +
(r + p) w = 0,
we get p + q = 0, q + r
= 0, r + p = 0
⇒
{u, v, w} is linearly independent.
Hence, the proof.
EXERCISE 4.4
1. Determine whether
the following sets are linearly dependent or linearly independent.



2. For what values of c
are the vectors (-1, 0, -1), (2, 1, 2) and (1, 1, c) in R3 linearly
dependent?
3. For what values of λ
are the vectors t + 3 and 2t + λ2 + 2 in P1 linearly
dependent?
4. Determine if the
vectors

5. The non-zero
vectors, v1, v2, ..., vn in a vector space V
are linearly dependent if and only if vj, j ≥ 2, is a linear
combination of the preceeding vectors v1, v2, vj-1
6. Prove that if two
vectors are linearly dependent, one of them is a scalar multiple of the other.
7. Under what
conditions on the scalar 'a' are the vectors (a, 1, 0), (1, a, 1) and (0, 1, a)
in R3 linearly dependent.
8. Show that the
vectors u + v, u - v, u - 2v + w are linearly independent provided u, v, w are
linearly independent.
Random Process and Linear Algebra: Unit IV: Vector Spaces,, : Tag: : - Linear Dependence and Linear Independence
Random Process and Linear Algebra
MA3355 - M3 - 3rd Semester - ECE Dept - 2021 Regulation | 3rd Semester ECE Dept 2021 Regulation