The type of disjoint distributions are explained.
Joint distributions - marginal and conditional distributions
i. Joint probability
distribution
The
probabilities of the two events A = {X ≤ x} and B = {Y ≤ y} defined as
functions of x and y, respectively, are called probability distribution
functions.
Fx
(x) = P(X ≤ x);
Fy
(y) = P(Y ≤ y)
Note: We introduce a new concept to include
the probability of the joint event {X ≤ x, Y ≤ y}.
ii. Joint probability
distribution of two random variables X and Y
We
define the probability of the joint event {X ≤ x, Y ≤ y}, which is a function
of the numbers x and y, by a joint probability distribution function and denote
it by the symbol Fx, y (x, y).
Hence
FX,Y (x,y) = p (X ≤ x, Y ≤ y}
Note: Subscripts are used to indicate the
random variables in the bivariate probability distribution. Just as the
probability mass function of a single random variable X is assumed to be zero
at all values outside the range of X, so the joint probability mass function of
X and Y is assumed to be zero at values for which a probability is not
specified.
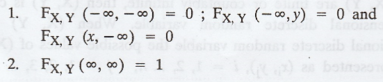
iii. Properties of
the joint distribution.
A
joint distribution function for two random variables X and Y has several
properties.


For
a given function to be a valid joint distribution function of two dimensional
RVs X and Y, it must satisfy the properties (1), (2) and (5)
iv. Joint probability
function of the discrete random variables X and Y
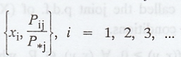
If
(X, Y) is a two-dimensional discrete random variable such that f(xi,
yj) P(X = xi, Y = yj) = Pij is
called the joint probability function or joint probability mass function of (X,
Y) provided the following conditions are satisfied.

The
set of triples {xi, yj, Pij}, i = 1, 2, … n, j
= 1, 2, ... m is called the joint probability distribution of (X, Y). It can be
represented in the form of table as given below.

v. Marginal
probability distribution
If
more than one random variable is defined in a random experiment, it is
important to distinguish between the joint probability distribution of X and Y
and the probability distribution of each variable individually. The individual
probability distribution of a random variable is referred to as its marginal
probability distribution.
In
general, the marginal probability distribution of X can be determined from the
joint probability distribution of X and other random variables.
vi. Marginal probability
mass function of X
If
the joint probability distribution of two random variables X and Y is given,
then the marginal probability function of X is given by

Note: The set {x1, P1.} is called the
marginal distribution of X.
vii. Marginal
Probability mass function of Y
If
the joint probability distribution of two random variables X and Y is given,
then the marginal probability function of Y is given by


viii. Conditional
Probability distribution
is called the conditional probability function of X, given Y = yj
The
collection of pairs
is called the conditional probability
distribution of X, given Y = yj
Similarly,
the collection of pairs,
is called the
conditional probability distribution of Y given X = xi.
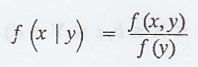
let
(X, Y) be the two dimensional continuous R.V. The conditional probability
density function of X given Y is denoted by f(x | y) and is defined as,

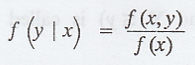
Similarly,
the conditional probability density function of Y given X is denoted by f (y |
x) and is defined as,

ix. Independent
random variables
Two
R.V's X and Y are said to be independent if f(x,y) = f(x). f(y) where f(x, y)
is the joint probability density function of (X, Y), f(x) is the marginal
density function of X and f(y) is the marginal density function of Y.
Also
we can say, the random variables X and Y are said to be independent R.V's if

where Pij is the joint probability function of (X, Y), Pix is the marginal probability function of X and P*j is the marginal probability function of Y.
x. Joint probability
density function
If
(X, Y) is a two-dimensional continuous R.V such that

then
f(x, y) is called the joint p.d.f. of (X, Y), provided f(x, y) satisfies the
following conditions.
(i) f(x, y) ≥ 0, V (x,y) ε R, where 'R' is the range space.

Moreover,
if D is a subspace of the range space R,

xi. Cumulative
distribution function
If
(X, Y) is a two-dimensional continuous random variable, then F(x,y) = P(X ≤ X
and Y ≤ y) is called the cdf of (X, Y) and is defined as,


xii. Marginál density
function [A.U CBT Dec. 2009]
If
(X, Y) is a two-dimensional continuous random variable, then

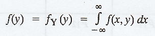
Let (X, Y) be the two dimensional random variable. Then, the marginal probability density function of X is denoted by f(x) and is defined as,

Similarly,
the marginal probability density function of Y is denoted by f(y) and is
defined as,

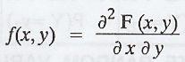
xiii. Joint
probability density function
Let
(X, Y) be the two dimensional random variable and F(x, y) be the joint
probability distribution function. Then the joint probability density function
of X and Y is denoted by f(x, y) and is defined as,

xiv.Table - I
To
calculate marginal distributions when the random variable X takes horizontal
values and Y takes vertical values.

xv. Table - II
To
calculate marginal distributions when the random variable X takes vertically
and Y takes horizontally.

PROBLEMS UNDER
DISCRETE RANDOM VARIABLES :
Example 2.1.1
From,
the following table for bivariate distribution of (X, Y) find (i) P(X ≤ 1),
(ii) P(Y ≤ 3), (iii) P(X ≤ 1, Y ≤ 3), (iv) P(X ≤ 1 / Y ≤ 3), (v) P (Y ≤ 3 / X ≤
1), (vi) P (X + Y ≤ 4). (vii) The marginal distribution of X or Marginal PMF of
X (viii) The marginal distribution of Y or Marginal PMF of Y (ix) The
conditional distribution of X given Y = 2 (x) Examine X and Y are independent.
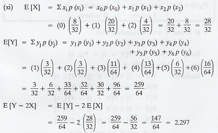
(xi) E[Y – 2X]

Solution :



(vii)
The marginal distribution of X is

(viii)
The marginal distribution of Y is

(ix)
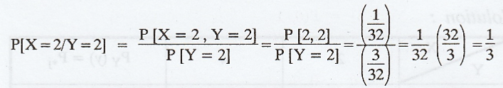
The conditional distribution of X given Y = 2 is


(x)
Formula for X and Y are independent.

Here,
X and Y are not independent.


Example 2.1.2
Let
X and Y have the following joint probability distribution.

Show
that X and Y are independent.
Solution :

If
X and Y are independent, then

Similarly,

.'.
X and Y are independent.
Example 2.1.3
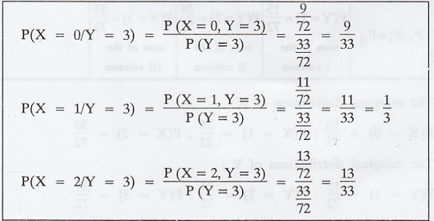
The
joint probability mass function of (X, Y) is given by P(x, y) = K(2x + 3y), x =
0, 1, 2; y = 1, 2, 3. Find all the marginal and conditional probability
distributions. Also, find the probability distribution of (X + Y) and P[X + Y
> 3]. [A.U. 2004] [A.U N/D 2007, A.U N/D 2008, A.U. Tvli. A/M 2009, A.U N/D
2014] [A.U CBT A/M 2011, N/D 2011, N/D 2013, A.U N/D 2015 R13 RP] [A.U A/M 2017
R-13] [A.U N/D 2018 (R17) PS]

Solution :

The
marginal distribution of X :

The
marginal distribution of Y :

The
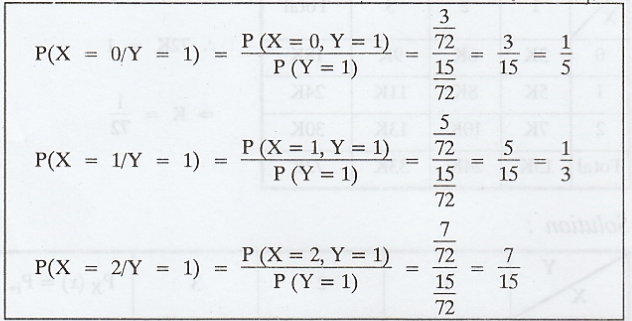
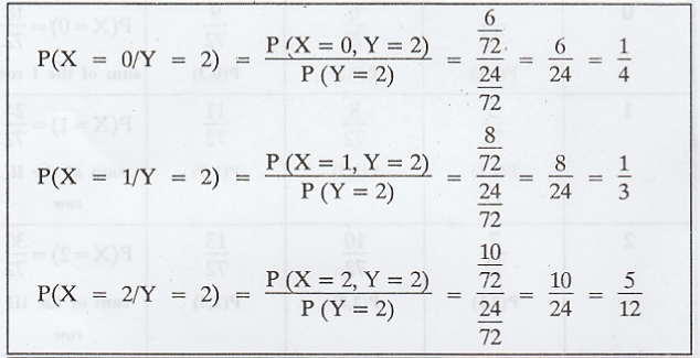
conditional distribution of X, given Y is P {X = xi/Y = yj}



The
conditional distribution of Y, given X is P {Y = yj/X = xi}




P[X
+ Y > 3] = P[X + Y = 5] = 21/72 + 13/72 = 34/72
Example 2.1.4
The
joint probability distribution of a two-dimensional discrete random variable
(X,Y) is given below :

(i)
Find, P(X > Y) and P{Max (X, Y)
(ii)
Find, the probability distribution of the random variable, Z = min (X,Y)
Solution :


Given
Z = min (X,Y)

Example 2.1.5
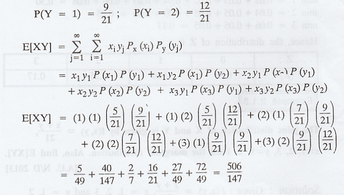
The
joint distribution of X and Y is given by f(x,y) = x+y/21, x = 1,2,3 y = 1,2. Find
the marginal distribution. Also find E[XY] [A.U. N/D 2013]
Solution :


The
marginal distribution of X :

The
marginal distribution of Y :

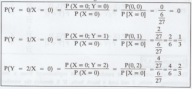
Example 2.1.6
The
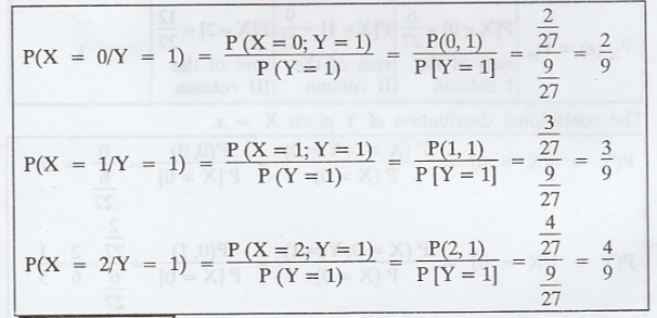
two dimensional random variable (X, Y) has the joint density function f(x, y) =
x +2y/27, x = 0, 1, 2 ; y = 0, 1, 2. Find the conditional distribution of Y
given X = x. Also, find the conditional distribution of X given Y = 1. [A.U Tvli.
A/M 2009] [A.U N/D 2017 R13-RP]
Solution:
Given:
f(x, y) = x + 2y/27, x = 0, 1, 2 ; y = 0, 1, 2

The
conditional distribution of Y given X = x


The
conditional distribution of X given Y = 1

Example 2.1.7
Three balls are drawn at random without replacement from a box / containing 2 white, 3 red and 4 black balls. If X denotes the number of white balls drawn and Y denote the number of red balls drawn, find the joint probability distribution of (X, Y). [AU M/J 2007] [A.U A/M 2015 (RP) R-8] [A.U M/J 2016 RP R13]
Solution:
Three
balls are drawn out of 9 balls.
X
-> number of white balls drawn.
Y
-> number of red balls drawn.

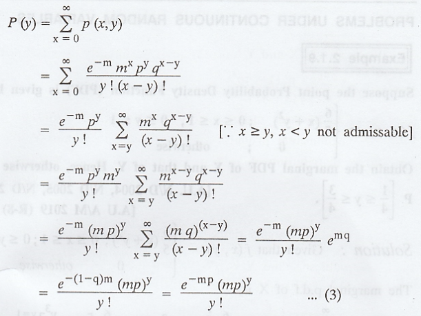
Example 2.1.8
Two discrete r.v.'s X and Y have the joint probability density function;
x
= 0, 1, 2, where m, p are constants with m > 0 and 0 < p < 1. Find (i)
the marginal probability density function X and Y, (ii) the conditional
distribution of Y for a given X and of X for a given Y. [A.U. N/D. 2005] [A.U
Tvli. M/J 2010]
Solution :
Given
the joint probability density function of the two discrete random variables X
and Y is 

(i)
Then the marginal probability density function of X is,

which
is a probability function of a Poisson distribution with parameter m.

which
is the probability function of a Poisson distribution with parameter (mp).
(ii)
The conditional distribution of Y for given X is,

And
the conditional probability distribution of X given Y is,

Random Process and Linear Algebra: Unit II: Two-Dimensional Random Variables,, : Tag: : - Joint Distribution - Marginal and conditional distributions
Random Process and Linear Algebra
MA3355 - M3 - 3rd Semester - ECE Dept - 2021 Regulation | 3rd Semester ECE Dept 2021 Regulation