The most important questions of life are, for the most part, really only problems of probability".
INTRODUCTION
The theory of probability had its origin
in gambling and games of chance. It owes much to the curiosity of gamblers who
prestered their friends in the mathematical world with all sorts of questions.
Unfortunately, this association with gambling leads to very slow and sporadic
growth of probability theory as a mathematical discipline.
The first attempt at some mathematical
rigor is credited to Laplace. Laplace gave the classical definition of the
probability of an event that can occur only in a finite number of ways as the
proportion of the number of favourable outcomes to the total number of all possible
outcomes, provided that all the outcomes are equally likely.
Laplace said "We see that the
theory of probability is at bottom only common sense reduced to calculation, it
makes us appreciate with exactitude what reasonable minds fell by a sort of instinct,
often without being able to account for it... It is remarkable that this
science, which originated in the consideration of games of chance, should have
become the most important object of human knowledge... The most important
questions of life are, for the most part, really only problems of
probability".
SOME IMPORTANT TERMS OF PROBABILITY
i. Deterministic experiments
There are experiments, which always produce the same result, i.e., unique outcome or unique events, Such experiments are known as deterministic.
ii. Random experiments
The experiments which do not produce the
same result or outcome on every trial are called Random experiments.
Example
a. Throw an unbiased die b. If we toss a uniform unbiased coin.
Note: Outcome
In the study of probability, any process
of observation is referred to as an experiment. The results of an observation
are called the outcomes of the experiment.
iii. Trial and Event
The performance of a random experiment
is called a Trial and the outcome is called an event.
Example: Throwing of a coin is a trial
and getting H or T is an event.
iv. Sample space
The totality of the possible outcomes of
a random experiment is called the sample space of the experiment and it will be
denoted by O (Greek alphabet) or S (English alphabet)
Each outcome or element of this sample
space is known as the sample point or event and it is denoted by Greek alphabet
?.
The number of sample points in a sample
space is generally denoted by n (s)
Example:
a. Tossing a coin S = {H, T}; n(s) = 2
b. Tossing two coins simultaneously
S = {HH, HT, TH, TT}; n(s) = 4
c. Rolling a die S = {1, 2, 3, 4, 5, 6};
n(s) = 6
v. Finite sample space
If the set of all possible outcomes of the experiment is finite, then the associated sample space is a finite sample space.
Example:
a. One dimensional sample space

b. Two dimensional sample space

vi. Countably infinite
A sample space, where the set of all
outcomes can be put into a one-to-one correspondence with the natural numbers,
is said to be countably infinite.
vii. Countable or a discrete sample space.
If a sample space is either finite or
countably infinite, we say that it is a countable or a discrete sample space.
viii. Continuous
If the elements (points) of a sample
space constitute a continuem, such as all the points on a line, all the points
on a line segment, all the points in a plane, then the sample space is said to
be continuous.
ix. Equally likely events
The possibilities or events are said to
be equally likely when we have no reason to expect any one rather than the
other.
Example
In tossing an unbiased coin, the head or
tail are equally likely.
x. Mutually exclusive events [Disjoint events]
Two events A and B are said to be mutually exclusive events or disjoint events provided A ∩ B is the null set.
Note: If
A and B are mutually exclusive, then it is not possible for both events to
occur on the same trial.
Example:
In the throw of a single dice, the events of getting 1, 2, 3, ... 6 are
mutually exclusive.
xi. Exhaustive events
Events are said to be exhaustive when
they include all possibilities.
Example:
In tossing a coin, either the head or tail turns up. There is no other possibility
and therefore these are the exhaustive events.
xii. Favourable events
The trials which entail the happening of
an event are said to be favourable to the event.
Example: In
the tossing of a die, the number of favourable events to the appearance of a
multiple of 3 are two (i.e.,) 3 and 6.
xiii.

xiv. Mathematical (or a priori) definition of probability.
If there are n exhaustive, mutually
exclusive and equally likely events, probability of the happening of A is
defined as the ratio m/n, m is favourable to A.
Thus probability is a concept which
measures numerically the degree of certainty or uncertainty of the occurrence
of an event.
Notation: p(A) = p = m/n = Favourable number of cases/Exhaustive number of cases
This gives the numerical measure of
probability. Clearly, p is a positive number not greater than unity.
So that 0 ≤ p ≤ 1.
Since the number of cases in which the
event A will not happen is n - m, the probability q that the event A will not
happen is given by

Note: An
event A is certain to happen if all the trials are favourable to it and then
the probability of its happening is united, while if it is certain not to
happen, its probability is zero. Thus if p = 0, then the event is an
impossible event while if p = 1, the event is certain.
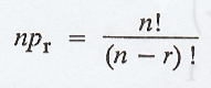
xv. Permutation
Permutation means selection and
arrangement of factors.
Notation: npr (or) p(n, r)
(or) Pn,r (or)
(or) (n)r.
The value of npr is equal to the number
of ways of filling 'r places with 'n' things.

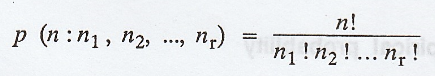
xvi. Permutations with Repetitions
Let p (n ; n1, n2,
... nr) denotes the number of permutations of n objects of which n1
are alike, n2 are alike, nr are alike,

Example: The number of permutations of the word 'RADAR' is 5!/2! 2! = 30. Since there are five letters of which two are 'R' and the two are 'A'.
xvii. Rule of Sum
If an event can occur in m ways and
another event can occur in 'n' ways there are m + n ways in which exactly one
event can occur.
Example:
Consider a box containing 8 red balls and 5 green balls, then are 8 + 5 ways to
choose either red ball or a green ball.
xviii. Rule of product
If there are m outcomes for event E, and
n possible outcomes for event E2 then there are mn outcomes for the
composite event E1 E2.
Example:
When a pair of dice is thrown once, the number of possible outcomes are 6 x 6 =
36. Since each dice has 6 possible outcomes.
xix. Combination
Combinations means selection of factors.

Notation: 
Note:

xx. Statistical or Empirical probability
If in n trials an event E happen m
times, then the probability p of the happening of E is given by

Random Process and Linear Algebra: Unit I: Probability and Random Variables,, : Tag: : Important Terms of Probability - Introduction of Probability
Random Process and Linear Algebra
MA3355 - M3 - 3rd Semester - ECE Dept - 2021 Regulation | 3rd Semester ECE Dept 2021 Regulation