A system is defined as an entity that acts on input signal and transforms it into an output signal. The most two attributes of a system are linearity and time invariance. A system which is both linear and time invariant is caused a linear time invariant (LTI) system.
LINEAR
TIME INVARINT-CONTINUOUS TIME SYSTEMS
INTRODUCTION
A system is defined as
an entity that acts on input signal and transforms it into an output signal.
The most two attributes of a system are linearity and time invariance. A system
which is both linear and time invariant is caused a linear time invariant (LTI)
system.
Linear time invariant
continuous time systems (LTI-CT) are characterized by
1) Differential
equation
2)
Block diagram
3) Impose response
4) Transfer function
5) State variable
description
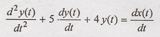
DIFFERENTIAL
EQUATION
The general form of a
constant co efficient differential equation is

Here N is the order of
the differential equation. x(t) is the input and y(t) is the output
(i) Zero state response
(ii) Zero input
response.
The zero-state response
of the system is the response due to the input when the initial state of the
system is zero, on the other hand the zero-input response of the system is the
response due to initial state of the system. In the second method, the output
of an LIT continuous time system can be obtained using convolution integral.
Solution
of differential equation
The general form of a
Nth order differential equation is given by,

Where ai and
bi are real constants and aN ≠ 0
All practical system
have M ≤ N
Total response = zero
input response + zero state response.
Natural response
The natural response is
the solution of equation (1) with x(t) = 0. This solution is also known as
homogenous solution and is denoted by y(n)(t), equating the input
terms in equation (1)

Let us assume the
solution of equation (2) is of the form*

Substituting these
result in equation (2) yields.

This polynomial is
called the characteristic equation of the system
This equation (4) can
be represented in factorized form as

Where λ1, λ2
are the roots of the characteristic equation roots, or eigen values or poles of
the system. The nature of the response depends on the type of these roots.
Distinct roots
If the roots λ1,
λ2 ..., λN of equation (5) are distinct then the solution
has the terms
. Therefore the solution is the form.

Repeated roots
If a root λ1
is repeated m times (root of Multispecialty m) and remaining (N-M) roots are
distinct then, the general solution is of the form

For example if the
roots of characteristic equations are

Complex roots
If the roots are
complex say λ and λ* then

Forced response
The forced response of
an LIT continuous time system is the response of the system when the initial
conditions are zero. The forced response of the system is also known as
zero-state response. It consists of, homogenous solution and particular
solution. The form of homogeneous solution can be obtained from the roots of
characteristic equation. The particular solution y(t) should satisfy the
differential equation. The particular solutions for different types of inputs
are given in the below table.

The forced response of
the system is obtained by adding particular solution and homogeneous solution and
then finding the coefficients of the homogeneous solution so that the combined
response yn(t) + yp(t) satisfies the zero initial
conditions.
Total response
The total response is
obtained by adding the natural response and forced response that is
y(t) = yn(t)
+ yf(t)
If we are not
interested in two separate solutions then it is also possible to obtain
directly the total response in the same way as forced response by using actual
initial conditions.
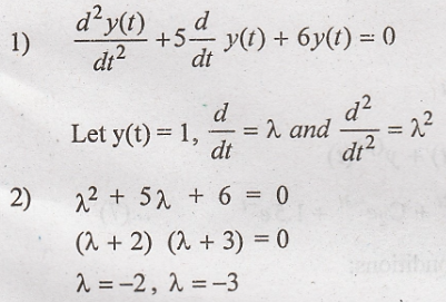
Problem 1:
An LTI CT system is
specified by the following equation,
. Find the following (i)
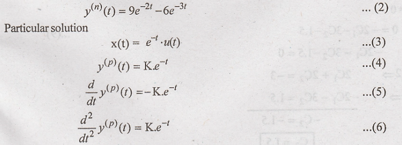
The input x(t) is e-t u(t) find the natural response for the initial
condition
(ii) Forced response (iii) Total response.
Solution:
To find natural
response:

3) Homogeneous
solution:

Apply initial
conditions, y(0) = 3

From the above equation
we get C1 = 9, C2= 6, substitute in (1)

The particular solution
should satisfy the given differential solution, so substitute (3), (4), (5)
& (6) in the equation (1)

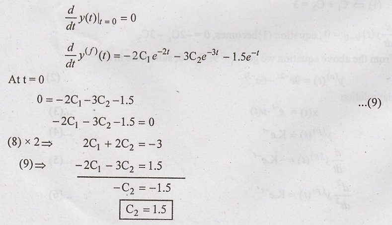
To obtain constants in
y(f)(t) with zero initial conditions:
Zero initial condition
means
putting these value in equation (7)

Differentiate equation
(7) with respect to 't'.

Substitute C2
in equation (8)

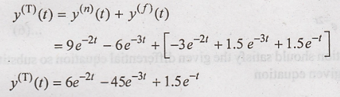
Total response:

Problem 2:
An LTI system is
represented by
with initial conditions
find the output
of the system, when the input is x(t) = et a(t).
Solution:
The given different
equation is 
The complete response
will be given as 
To find natural
response,

Homogeneous solution:

To find particular
solution

The particular solution
should satisfy the given differential equation so substitute (3), (4), (5)
& (6) in the given equation

Hence the particular
solution becomes

To obtain constants in
y(f)(t) with zero initial conditions:

Differentiate equation
(7) with respect to 't' O = C1 + C2 + 1


Substitute C2
in equation (8)

Substitute the values
of C1 and C2 in equation (7)

This is the complete
response of the given system.
Problem 3:
Determine the natural
response of the system described by differential equation
with
y(0) = 2.
Solution:
The natural response is
obtained with zero input. Hence the homogeneous differential equation becomes,

Step
1:
To obtain roots of characteristic equation
The characteristic
equation is given as,

Comparing above
equation with (1) we have a0 = 2 and a1 = 10. Hence above
equation will be,

Step
2:
To obtain form of natural response
Since the root of
characteristic equation is real,

Putting the value of r1
in above equation we get,

Step
3:
To obtain values of constants in y(n)(t)
The initial condition
is y(0) = 2, putting t = 0 in above equation,

Hence the equation (2)
becomes

This is the natural
response of the given system.
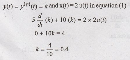
Problem 4:
Determine the forced
response of the system
for the input x(t) = 2 u(t).
Solution:
The forced response of
the system is obtained only with inputs. It is given as

Step
1:
To obtain roots of characteristic equation
For the order N = 1,

Comparing above equation with equation (1), we have a0 = 10 and a1 = 5r1 Hence above equation will be,

Step
2:
To obtain form of natural response

Step
3:
Form of particular solution
The particular solution
is of the same form of input. Here x(t) = 2 u(t), i.e. Constant. Hence the
particular solution will be of the form,
y(p)(t) = k
Step
4:
To obtain values of constants in y(p)(t)
Now we have to determine
the value of k for which y(p)(t) satisfies the systems differential
equation. Hence putting

Hence the particular
solution becomes,

Step
5:
Obtain constants in y(f)(t) with zero initial conditions
Zero initial conditions
means y(f)(0) = 0. Putting these values in equation
0 = C1 + 0.4
C1 = -0.4
Hence equation (2)
becomes,

This is the forced
response of the given system
Problem 5:
Determine the complete
response of the system:

Solution:
The given differential
equation is,

The complete response
will be given as,

To determine y(n)(t)
Step
1:
Roots of characteristic equation
Here N = 2, hence from
given differential equation we can write,
r2 + 5r + 4
= 0
Roots of this equation
will be,
r1 = - 4 and
r2 = -1
Step
2:
Form of natural response
For real roots.

Step
3:
Form of particular solution
The input is x(t) = e-2t
u(t). Hence the particular solution will be of form,

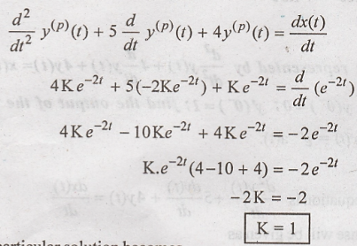
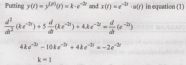
Step
4:
Values of k

Hence particular
solution becomes (putting k = 1 in equation (4)

To determine y(t)
Putting y(p)(t)
from above equation and y(n)(t) from equation (3) in equation (2)
We get natural response
as,

Step
5:
Values of C1
and C2 with initial conditions
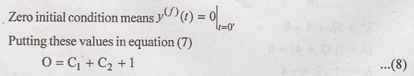
Putting y(0) = 0 above
equation
0 = C1 + C2
+ 1 ⇒ C2 = -1
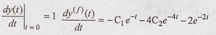
Differentiate equation (6) with respect to 't',

Solving above equation
and equation (7) for C1 and C2 we get,

Here the complete
response becomes (by putting C1 and C2 in equation (6)

This is the required
response of the system considering input as well as initial conditions.
Signals and Systems: Unit III: Linear Time Invariant Continuous Time Systems,, : Tag: : Differential Equation, Solution of differential equation, - Introduction of Linear Time Invariant - Continuous Time Systems
Signals and Systems
EC3354 - 3rd Semester - ECE Dept - 2021 Regulation | 3rd Semester ECE Dept 2021 Regulation