Details about Impulse Response and Properties of systems
IMPULSE RESPONSE
Properties of systems:
(i) Dynamicity (Memoryless systems)
Consider linear
convolution,

The system is said to
be static or memory less if present output depends only on present input. In
the above equation y(t) will depend x(t) only when t = 0. This means h(τ) is
evaluated only at τ = 0 .i.e.,
h(τ) = 0 for τ ≠ 0
The above condition is
true only for
h(τ) = Cδ(τ)
The system is
memoryless or static if,
h(τ) = Cδ(τ)
If the above condition
is not satisfied, the system will be dynamic.
(ii) Causality
Consider the
convolution equation,

We know that the system
is said to be causal if its output depends on present and past inputs. In the
above equation,
x(t) is present inpat
x(t - τ) are past
inputs for τ ≥ 0
and x(t - τ) are future
inputs for τ < 0
The result of convolution
must be zero for future inputs (i.e τ < 0) if the system is causal, x(t-τ)
cannot be zero since it represents future inputs. Hence h(τ) must be zero for τ
< 0 for the system to be causal i.e.,
For LTI system to be
causal
Causality: h(τ) = 0 for
t<0
This condition shows
that an impulse response of a causal system is also causal.
(iii) Stability:
Consider the
convolution equation,

The magnitude of the
output will be

The right hand side of
above equation can be written as,

The system is stable if
it produces bounded input. Hence for x(t) to be bounded,

Using the above
condition, we can write equation as

The system is stable if
bounded output as given above is produced for bounded input. Hence for x(t) to
be bounded,

If x(t - τ) is bounded
then its maximum value will be Mx. Putting value in equation

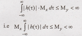
In the above equation Mx
and My are maximum values of x(t) and y(t) respectively. Then for
the above equation to be satisfied.

The above condition
shows that the BIBO stable system has absolutely integrable impulse response.
(iv) Step Response
Consider the
convolution equation,

Then equation can be
writtern as,
Thus the step response
becomes,
Step response = 
Here note that step
response is the integration of impulse response.
Problem 1:
Check whether the
following systems are stable and causal.

Solution:

Causality

Since h(t) = 0 for t
< 0 system is causal.
Stabilitiy

Since
, the
system is stable
(ii) 
Causality:

Stability:

The system is stable.
(iii) 
Causality

Therefore the system is
causal.
Stability:

Hence the system is
stable
Problem 2:
Verify whether the
following systems are BIBO stable or not.

Solution:

This is causal system
since
h(t) = 0 for t < 0
For stability,

Hence this system is
stable
(ii) 
This is causal system
since
h(t) = 0 for t < 0
For stability,

Hence the above
equation becomes,

The value of cosine
function is always from -1 to 1
Hence = 
Therefore this is
stable system
Problem 3:
Determine the response
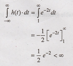
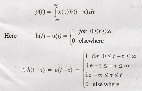
of the system with impulse response h(t) = u(t) for the input x(t) = e−2t
.u(t)
Solution:
Given h(t) = u(t)
x(t) = e−2t
.u(t)
Output of the system is
given by the convolution integral as,

Putting above
expression in convolution equation:

Now x(t) = e-2t
.u(τ), hence above equation will be,

Since u(τ) = 1 for 0 ≤
τ ≤ ∞, above equation will be,

Problem 4:
Find the output of an
LTI with impulse response h(t) = δ(t - 3) for the input x(t) = cos 4t + cos7t.
Solution:
Here, h(t) = δ(t - 3)
and
x(t) = cos 4t + cos 7t
Output of the system is
given by convolution integral as,

By shifting property 
Using this property to
solve above integral with t0 = 3 we get,

Problem 5:
Find the response of
the system shown in figure 3.21 for the output x(t) = δ(t)-δ(t-1.5). Here h(t)
is impulse of the system.

Solution:
The impulse response of
the system is given as,
y(t) = x(t)* h(t) =
δ(t)* h(t) - δ(t-1.5)* h(t)
By replication property
of impulse function, first convolution will be h(t),

For above integration,
use shifting property of impulse function, 

Problem 6:
The system shown below
is formed by connecting two systems in cascade. The impulse response of the
system are given by h1(t) and h2(t)
. Find the
over all impulse response of the system and determine if the system is BIBO
stable.

Solution:
To obtain over all
impulse response for cascade connection,


To check BIBO stability

Problem 7:
Find the step response
of the system whose impulse response is given as h(t) = u(t+1) - u(t-1)
Solution:
Taking Laplace
transform of given impulse response,


We know that
.
Taking inverse Laplace transform of the above equation

Signals and Systems: Unit III: Linear Time Invariant Continuous Time Systems,, : Tag: : Properties of systems - Impulse Response
Signals and Systems
EC3354 - 3rd Semester - ECE Dept - 2021 Regulation | 3rd Semester ECE Dept 2021 Regulation