Important Question and Answers
Important '2 Marks'
Questions and Answers
Type 1. Probability - Axioms of probability - Conditional
probability Baye's theorem - Discrete and continuous random variable - Moments
- m.g.f
1. Define random variable. [A.U CBT
N/D 2011]
A random variable is a function that
assigns a real number to each outcome in the sample space for random
experiment.
2. Define discrete random variable
with an example. [A.U CBT A/M 2011] [A.U A/M 2019 (R13) (RP)]
A random variable whose set of possible
values is either finite or countably infinite is called discrete.
Example : number of transmitted bits
received in error.
3. Define continuous random
variable with an example. [A.U A/M 2019 (R13) (RP)]
A random variable X is said to be
continuous if it takes all possible values between certain limits say from real
number 'a' to real number 'b'.
Example: length, pressure, temperature,
time, voltage, weight.
4. Define : Probability mass
function :
For a discrete random variable X with
possible values x1, x2, ..., xn a probability mass function is a function such
that

5. Define cumulative distribution
function of a discrete random variable X.
Solution :
The cumulative distribution function of
a discrete random variable X, denoted as F (x), is

For a discrete random variable X, F(x)
satisfies the following properties.
i. F(x) = P(X = x) = 
ii. 0 = F(x) = 1
iii. If x = y, then F(x) = F(y).
6. Define mean (or) expected value
of a discrete random variable.
Solution:
The mean or expected value of the
discrete random variable X, denoted as µ or E(X) is

The variance of X, denoted as σ2
or V(X) is

7. Probability density function
f(x) can be used to describe the probability of a ........... random variable
X.
Solution: Continuous.
8. Define probability density
function. [p.d.f]
Solution:

9. Define cumulative distribution
function of a continuous random variable X.
Solution:

10. Define mean or expected value
of a continuous random variable X.
Solution :

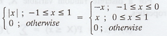
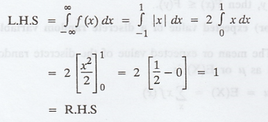
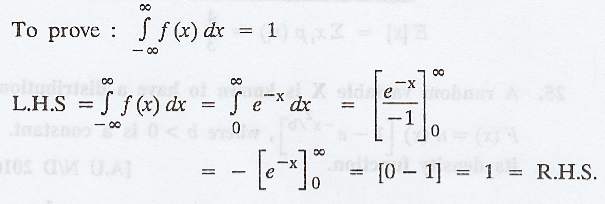
11. Test whether f(x) =
can be the probability density function of a continuous random
variable. [A.U N/D 2014] [A.U A/M 2015 R13]
Solution
Given: f(x) = 
To prove: 

12. Define expectation of a random
variable.
Solution :
Consider a random variable X with p.m.f.
p (x) (or) p.d.f. f(x). If g(X) is function of X, then g(X) is a random
variable. If E [g (x)] exists then

13. Define nth moment
about origin for a random variable.
Solution :
The nth moment about origin of a random
variable X is defined as the expected value of the nth power of X.
For discrete random variable X,

For continuous random variable X

14. Define moment generating
function.
Solution :
Def : Moment generating function of a
random variable X about the origin is defined as

where t being a real parameter assuming
that the integration or summation is absolutely convergent for some positive
number h such that |t| < h.
15. If the p.d.f of a random
variable X is f(x) = x/2 in 0 ≤ x ≤ 2, find P (X > 1.5 / X > 1). [A.U A/M
2010]
Solution :
Given : f(x) = x/2, 0 ≤ x ≤ 2


16. The c.d.f of a continuous
random variable is given by 
Find the p.d.f and mean of X. [A.U
A/M 2011, N/D 2011]
Solution:


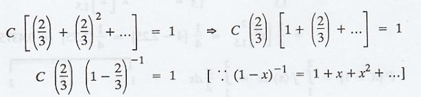
17. Find C, if P [X = n] = C (2/3)n
; n = 1, 2, ......... [[A.U M/J 2012]
Solution:
We know that, P[X = n] = 1 => 


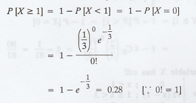
18. An experiment succeeds twice as
often as it fails. Find the chance that in the next 4 trials, there shall be
atleast one success. [A.U N/D 2012]
Solution :
p = 2/3, q = 1/3, n = 4

19. A random variable X has cdf
Find the p.d.f of X and the expected value of X. [AU M/J 2013, M/J 2014]
Solution:
Given:


20. Suppose that, on an average, in
every three pages of a book there is one typograhpical error. If the number of
typographical errors on a single page of the book is a Poisson random variable.
What is the probability of at least one error on a specific page of the book?
[A.U A/M 2015 R-8] [A.U A/M 2018 R-8]
Solution :


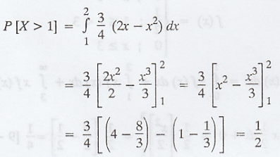
21. A continuous random variable X
has a p.d.f given by
Find P(X > 1) [A.U N/D 2015 R-8, R-13]
Solution :
Given: 

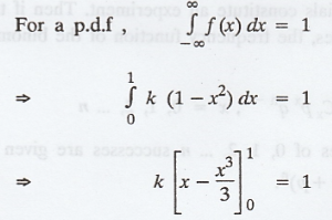
22. Show that the function f(x) =
is a probability density function of a random variable X. [A.U
A/M 2015 (RP) R-13]
Solution:
Given: f(x) = 

23. If f (x) =
is the
p.d.f of a random variable X, then the value of K. [A.U M/J 2016 R-13 RP]
Solution:
We know that, 

24. Find the expected value of the
discrete random variable X with the probability mass function p (x) =
[A.U N/D 2016 R-13 R8]
Solution :

25. A random variable X is known to
have a distribution function
, where b > 0 is a constant.
Determine its density function. [A.U_N/D 2016 R13 RP]
Solution :

26. Find the value of k for a
continuous random variable x whose density function is given by f(x) = k x2
e-x, x ≥ 0 [A.U N/D 2018 R-17] [PS]
Solution :


27. Let X be the random variable
which denotes the number of heads in three tosses of a fair coin. Determine the
probability mass function of X. [A.U N/D 2015 R-8] [A.U A/M 2019 R13 (PQT)]
Solution :

28. Let A and B be two events such
that P(A) = 0.5, P(B) = 0.3 and P (A∩B) = 0.15 compute P (B/A) and
[A.U N/D 2019 (R17) (RP)]
Solution :
Given: P(A) = 0.5, P(B) = 0.3, P(A∩B) =
0.15

29. Let A and B be two events such
that P(A) = 1/3, P(B) = 3/4 and P (A∩B) = 1/4. Compute P (A/B) and
[A.U A/M 2019 (R17) (PQT)]
Solution :


30. A bag contains 8 white and 4
black balls. If 5 balls are drawn at random, what is the probability that 3 are
white and 2 are black? [A.U N/D 2019 (R17)-PQT]
Solution :
Total number of balls = 8 + 4 = 12
S = {5 balls are taken out of 12}

The number of favourable out comes
(i.e., 3 are white and 2 are black)

31. Let MX(t) = 1/1-t =,
|t| < 1, the moment generating function of R.V.X. FInd E [X] and E [X2]
[A.U N/D 2019 (R17) - PQT]
Solution :


32. A random variable X has
probability mass function P(X = x) = x/10, x = 1, 2, 3, 4. Find the cumulative
distribution function, F(x) of X. [A.U. A/M 2019 (R17) PQT]
Solution :


33. The R.V.X has p.m.f P (X = x) =
Obtain: (i) The value of 'c', (ii) P (X ≥ 2) [A.U N/D 2019 (R17)
R.P]
Solution :


34. Show that for any events A and
B in S, P(B) = P(B/A) P (A) +
[A.U A/M 2019 (R17) R.P]
Solution :

35. The moment generating function
of a random variable X is given
What is P [X = 0]? [A.U A/M 2019
(R8) RP]
Solution :

36. The probability density
function of the random variable X is given by 
Find the value of k. [A.U A/M 2019
(R17) PS]
Solution :


37. If A and B are mutually
exclusive events P(A) = 0.29 and P(B) = 0.43 then find P(Ā) and P (AUB) [A.U
N/D 2019 (R17) PS]
Solution :
Given: 

Type 2. B.D, P.D,
G.D, U.D, E.D, N.D
B.D. 1. Define Binomial
Distribution.
A random variable X is said to follow
Binomial distribution if it assumes only non-negative values and its
probability mass function is given by

B.D. 2. Define Binomial frequency
distribution.
Let us suppose that n trials constitute
an experiment. Then if this experiment is repeated N times, the frequency
function of the binomial distribution is given by,

The expected frequencies of 0, 1, 2, n
successes are given by he successive terms of N (q + p)n.
B.D. 3. For a Binomial distribution
mean is 6 and S.D. is v2. Find the first two terms of the distribution. [A.U.
A/M 2004, M/J 2014]
Solution:
For a Binomial distribution, mean = np =
6 (given) and variance = npq

The probability mass function of a
Binomial distribution is given by

Hence, the first two terms are given by,

B.D. 4. The mean and variance of
binomial distribution are 5 and 4. Determine the distribution. [A.U A/M 2015
R-13]
Solution:
Binomial distribution : 
Given (mean) np = 5, (variance) npq = 4

B.D.5. Let X be a random variable
with moment generating function Mx (t) = 
then find its mean and variance.
[A.U M/J 2016 R13 RP]
Solution :
Given 
This is of the form
, which is
the m.g.f of binomial distribution.

B.D. 6. If the probability of
success is 1/100, how many trials are necessary in order that the probability
of atleast one success is greater than 1/2? [A.U N/D 2016, R-13 RP]
Solution:


=> 68.4 < n
=> n = 69
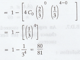
B.D.7.
An experiment succeeds twice as often as it fails. Find the chance that in the
next 4 trails, there shall be atleast one success. [A.U A/M 2019 (R8) R.P]
Solution :
Let X -> Number of successes
Since we are talking about success and
failure.
It is a Bernoulli trial.
So, X has a binomial distribution.
n = number of trials = 4
p = Probability of success
q = Probability of failure = 1 - p
Given: Experiment succeeds twice as
often as it fails.

Probability of atleast one success = P[X
≥ 1] = 1 - P[X < 1] = 1 - P[X = 0]

B.D.8. For a binomial distribution
mean is 2 and variance is 4/3, find the first term of the distribution. [A.U
A/M 2019 (R17) PS]
Solution :

P.D. 1. Define Poisson Poisson
distribution and state any two instances where Poisson distribution may be
successfully employed. [A.U N/D 2006]
Solution:
Poisson Distribution: A random variable
X is said to follow Poisson distribution if it assumes only non-negative values
and its probability mass function is given by

where, λ is known as the parameter of
Poisson distribution.
State any two instances where Poisson
distribution may be successfully employed.
i. Number of printing mistakes at each
page of the book.
ii. Number of suicides reported in a
particular day.
iii. Number of deaths due to a rare disease.
iv. Number of defective items produced
in the factory.
P.D.2. Define Poisson frequency
distribution.
Solution :

P.D.3. What are the limitations of
Poisson distribution? [A.U A/M 2015 - R13]
Solution:
(i) n is indefinitely large (i.e.,) n
-> ∞
(ii) p is very small s.t. p -> 0
(iii) np = λ (a finite quantity)
=> p = λ /n and q = 1 - p = 1 - λ/n
( G.D.1.) Define Geometric
distrbution.
Suppose that independent trials, each
having a probability p, 0 < p < 1, of being a success, are performed
until a success occurs. If we get X equal the number of trials required, then

G.D.2. State memory less property
and which continuous and discrete distributions follow this property. [A.U A/M
2019 (R13) PQT]
Solution :
If X is a random variable (discrete or
continuous), then for any two positive integers m and n.
P[X > m+n / X > m] = P[X > n]
which is the memoryless property.
Discrete: Geometric distribution.
Continuous: Exponential distribution.
G.D.3. Find the second moment about
the origin of the Geometric distribution with parameter p. [A.U A/M 2019 (R17)
R.P]
Solution :

U.D. 1. If 'X' is Uniformly distributed
in (-π/2, π /2), find the probability distribution function of y = tan x. [A.U.
N/D 2003, 2010]
Solution.
Since, 'X' is Uniformly distributed in
(-π/2, π/2), its pdf is
f(x) = 1/ π
We first determine the distribution
function of Y.
F(y) = P(Y≤ y) = P (tan X ≤ y) = P(X ≤ tan-1
y)


U.D.
2. If the m.g.f of a Uniform distribution for a random variable X is
,
find E (X). [A.U A/M 2010]
Solution:
Given: 
In Uniform distribution: 
We know that, 
From (1) & (2) we get, b = 5, a = 4

U.D. 3. A random variable X is
uniformly distributed between 3 and 15. Find the variance of X. [A.U N/D 2015
[R13, R8]
Solution:
Given: a = 3, b = 15
Variance 
E.D.
1. Define exponential distribution.
A continuous random variable X is said
to follow Exponential distribution if its probability density function is given
by,

E.D.
2. The time (in hours) required to repair a machine is Exponentially
distributed with parameter λ = 1/2. What is the probability that a repair takes
atleast 10 hours given that its duration exceeds 9 hours ? [A.U. N/D 2004]
Solution:
If X represents the time to repair a
machine which is Exponentially distributed, the density function of X is,

P(the repair takes atleast 10 hours given
that its duration exceeds P(X ≥ 10 / X
> 9)
= P(X > 1) by the memoryless
property.

(N.D. 1.) Find the mean of a Normal
distribution. [A.U N/D 2018, R17, PS]
Solution :
Mean = E [X] = µ
Random Process and Linear Algebra: Unit I: Probability and Random Variables,, : Tag: : - Important 2 marks Questions with Answers
Random Process and Linear Algebra
MA3355 - M3 - 3rd Semester - ECE Dept - 2021 Regulation | 3rd Semester ECE Dept 2021 Regulation