Geometric distribution has a important application in queueing theory, related to the number of units which are being served or waiting to be served at any given time.
GEOMETRIC
DISTRIBUTION
i. Geometric distribution
Suppose that independent trials, each
having a probability p, 0 < p < 1, of being a success, are performed
until a success occurs. If we get X equal to the number of trials required,
then

Equation follows because in order for X
to equal n, it is necessary and sufficient that the first x - 1 trials are
failures and the nth trial is a success. Equation then follows,
since the outcomes of the successive trials are assumed to be independent,
Since

it follows that with probability 1, a
success will eventually occur. Any random variable X whose probability mass
function is given by equation is said to be a geometric random variable with
parameter p.
Note :
Geometric distribution has a important application in queueing theory, related
to the number of units which are being served or waiting to be served at any
given time.
ii. Recurrence formula for Geometric Distribution.
We have, P(X=x) = pqx-1, p+q
= 1, x = 1, 2, …

If we know P(X = 0), then we can write
down P (1), P (2) and so on.
Note 1:
The sum of geometric random variables is negative Binomial, whereas sum of
negative Binomial random variables is negative Binomial.
Note 2:
Geometric distribution has memoryless property that if an event has not
occurred during first r repetitions of an experiment E, then the probability
that it will not occur during the next t repetitions is same as the probability
that it will not occur during the first t repetitions.
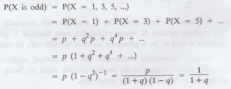
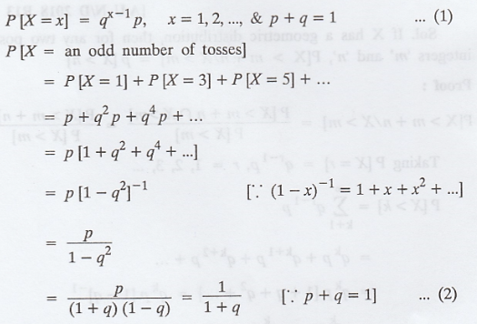
Example 1.9.1
If X is a geometric variate taking
values 1, 2, ... ∞, then find P(X is odd). [A.U A/M 2017 R-13]
Solution :
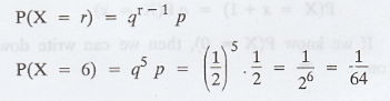
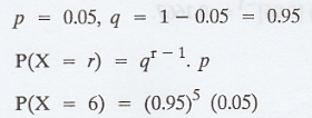
We know that, for a geometric
distribution P(X = r) = qr-1 p

Example 1.9.2
If the probability that a target is
destroyed on any one shot is 0.5, what is the probability that it would be
destroyed on 6th attempt? [A.U N/D 2013] [A.U N/D 2017 R-8] [R13 RP]
Solution :
Given:
p = 0.5 ; q = 1-0.5 = 0.5

Example 1.9.3
If the probability is 0.05 that a
certain kind measuring device will show excessive drift, what is the
probability that the sixth of these measuring devices tested will be the first
to show excessive drift?
Solution :

Example 1.9.4.
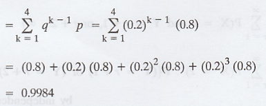
Suppose that a trainee soldier shoots a
target in an independent fashion. If the probability that the target is shot on
any one shot is 0.8. (i) What is the probability that the target would be hit
on 6th attempt? (ii) What is the probability that it takes him less than 5
shots? (iii) What is the probability that it takes him an even number of shots
? [A.U N/D 2006] [A.U CBT A/M 2011]
Solution :

(i) The probability that the target
would be hit on the 6th attempt
= P(X = 6) = (0.2)5 (0.8)
(ii) The probability that it takes him
less than 5 shots = P(X < 5)

(iii) The probability that it takes him
an even number of shots is
= P(X = 2) + P(X = 4) + P(X = 6) + ....

Example 1.9.5.
A and B shoot independently until each has
hit his own target. The probabilities of their hitting the target at each shot
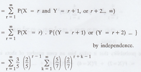
3/5 and 5/7 respectively. Find the probability that B will require more shots
than A.
Solution:
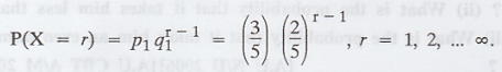
X -> number of trials required by A
to get his first success. Then X follows a geometric distribution given by,

Let Y -> number of trials required by
B to get his first success. Then Y follows a geometric distribution given by,

P(B requires more trials to get his
first success than A requires to get his first success)


Example 1.9.6
Establish the memoryless property of
geometric distribution.
[A.U Trichy A/M 2010] [A.U CH A/M 2011]
[A.U N/D 2015 R13 RP] [A.U N/D 2018 R13 RP] [A.U M/J 2006] [A.U N/D 2010]
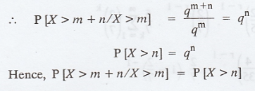
Solution :
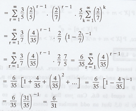
If X has a geometric distribution, then
for any two positive integers 'm' and 'n', P[X > m + n / X > m] = p[X
> n]
Proof :


Example 1.9.7
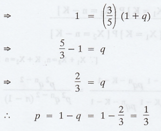
A coin is tossed until the 1st head
occurs. Assuming that the tosses are independent and the probability of a head
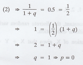
occuring is p, find the value of p so that the probability that an odd number
of tosses is required, is equal to 0.6. Can you find a value of p, so that the
probability is 0.5 that an odd number of tosses is required? [AU May 2004, N/D
2010]
Solution:
Let X denote the number of tosses
required to get the first head
X follows geometric distribution.

Given: P[X odd number of tosses]


To find p if P [X = odd number of
tosses] = 0.5

which is meaningless. So value of p
cannot be found out.
Example 1.9.8
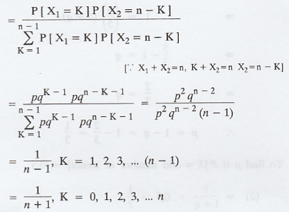
If X1, X2 be independent random
variables each having geometric distribution qK p, K = 0, 1, 2, ...
Show that the conditional distribution of X1 given X1 + X2
is uniform.
Solution:
Given: P(X1 = K) = P(X2
= K) = pqK, K = 0,1,2,...
(i.e.,) P(X1 = K) = P(X2
= K) = pqK-1, K = 1,2,...
X1 + X
= n is a discrete uniform distribution.


Note:
When P[X = r] = constant, the discrete random variable X is said to follow a
discrete uniform distribution.
Thus the conditional distribution of X,
given that X + Y = n, is a discrete uniform distribution.
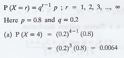
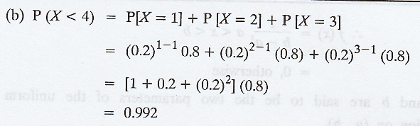
Example 1.9.9
If the probability that an applicant for
a driver's licence will pass the road test on any given trial is 0.8, what is
the probability that he will finally pass the test (a) on the fourth trial and
(b) in fewer than 4 trials ? [A.U Trichy A/M 2010] [A.U A/M 2010, N/D 2012]
[A.U A/M 2015 (RP) R13] [A.U A/M 2017 R-08]
Solution :
Let X denote the number of trials
required to achieve the first success.
Then X is a geometric distribution given
by


EXERCISE 1.9
1. If X and Y are 2 independent random
variables each representing the number of failures preceeding the first success
in a sequence of Bernoulli's trials with p as the probability of success in a
single trial, show that P [X = Y] = p/1+q, where p + q = 1
2. Let one copy of a magazine out of 10
copies bears a special prize following geometric random distribution. Determine
its mean and variance.
Random Process and Linear Algebra: Unit I: Probability and Random Variables,, : Tag: : - Geometric Distribution
Random Process and Linear Algebra
MA3355 - M3 - 3rd Semester - ECE Dept - 2021 Regulation | 3rd Semester ECE Dept 2021 Regulation