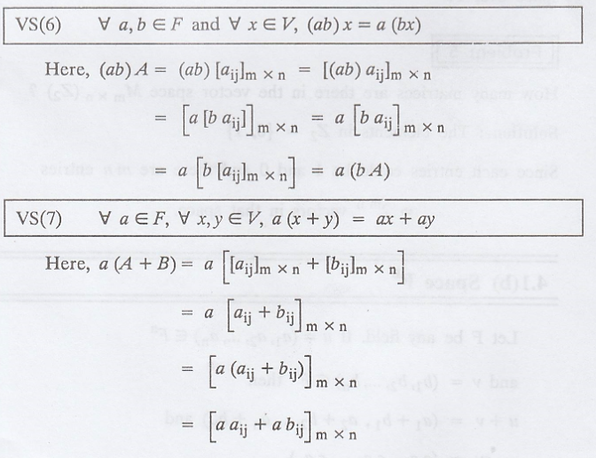
The notation Mm x n or simply M, will be used to denote the set of all m x n matrices with entries from a field F. Then Mm x n is a vector space over F with respect to the usual operations of matrix addition and scalar multiplication of matrices.
EXAMPLES
OF VECTOR SPACES :
(a) Matrix space Mm x n :
The notation Mm x n
or simply M, will be used to denote the set of all m x n matrices with entries
from a field F. Then Mm x n is a vector space over F with respect to
the usual operations of matrix addition and scalar multiplication of matrices.
Problem 1
Write the zero vector
of M3 x 4 (F)
Solution
:

Problem 2

Solution
:

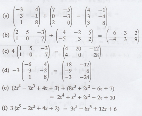
Problem 3
Perform the indicated
operationsord


Solution
:

Problem 4
Let V denote the set of
all m x n matrices with real entries. Let F be the field of rational numbers,
defined by

Solution
:





Hence, the proof.
i.e., The set of all m
x n matrices with real entries is a vector space over F.
Problem 5
How many matrices are
there in the vector space Mm x n(Z2) ?
Solution:
The elements in Z2{0,
1}
Since each ertries
could be 1 and 0 and there are m n
entries
→ 2mn
vectors in that space.
(b) Space Fn

The zero vector in Fn
is the n-tuple of zeros 0 = (0, 0, ... 0) and the negative of a vector is
defined by

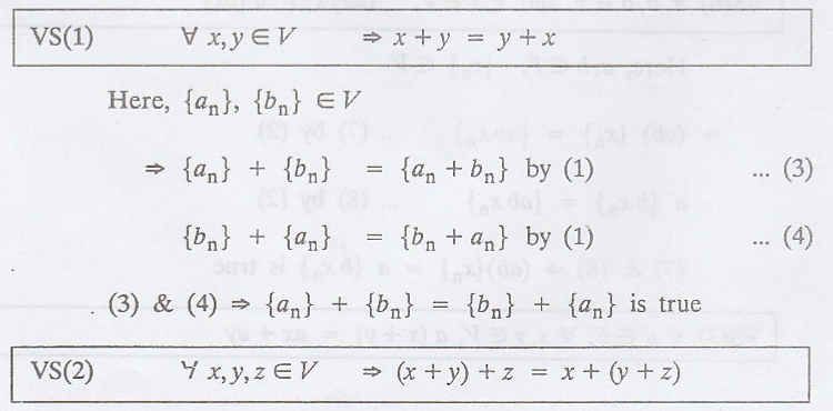
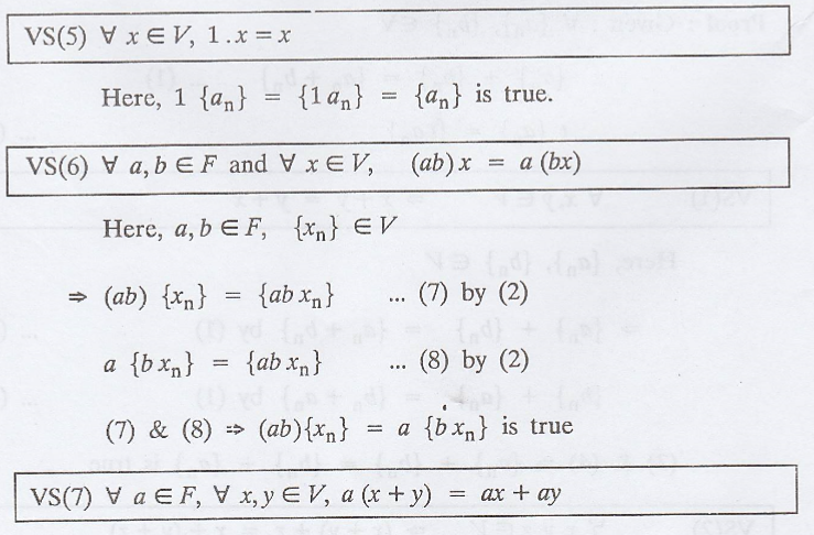
Theorem :
In any vector space V,
the following statements are true.

Proof :



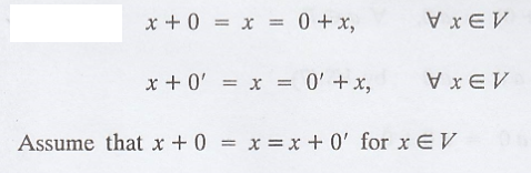
Corrollary 1.
Prove that in a vector
space V, the additive identity is unique.
(or) Prove that in a
vector space V, over a field F, the zero vector 0 of V is unique.
Proof :
Suppose 0 and 0' are
two identity elements of V.
We have

If 0' is an additive
identity, then 0 + 0' = 0 ......(1)
If 0 is an additive
identity, then 0 + 0' = 0 ......(2)
From (1) & (2), we
get 0 = 0'
Hence, the identity
element is unique.
Corrollary 2.
Prove that in a vector
space V, the additive inverse is unique.
(or) Prove that in a
vector space V over a field F the negative or the additive inverse -y in V of
any vector y ε V is unique.
Proof :
Suppose y and y' are
two additive inverse elements of V.

Note:
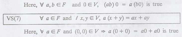
The vector 0 in VS (3) is called the
zero vector of V, and the vector y in VS
(4) is called the additive inverse of x and is denoted by -x.
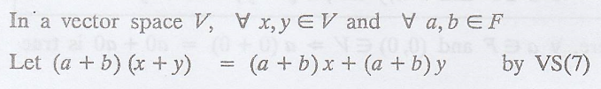
Problem 1.
In any vector space V,
show that (a + b) (x + y) = ax + ay + bx + by for any x, y ε V and any a, b ε F
Solution
:


Problem 2.
Let V = {0} consist of
a single vector 0 and define 0 + 0 = 0 and, a 0 = 0 for each scalar a in F.
Prove that V is a vector space over F. (V is called the zero vector space)
Solution
:



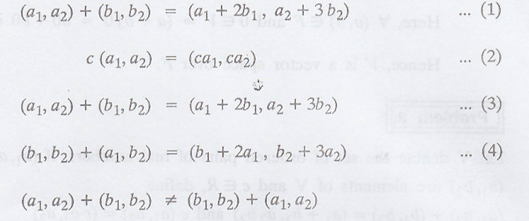
Problem 3.
Let V denote the set of
ordered pairs of real numbers. If (a1, a2) and (b1,
b2) are elements of V and c ε R, define

Is V a vector space
over R with these operations? Justify your answer.
Solution
:
No. If it is a vector
space,
we have 0 (a1,
a2) = (0, a2) be the zero vector.
But a2 is
arbitrary.
This is a contradiction
to the uniqueness of zero vector
Problem 4.
Let
define

Is V a vector space
over R with these operations? Justify your answer.
Solution
:
Given:


which is a
contradiction to VS(1)
.'. V is not a vector
space over R with these operations.
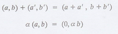
Problem 5.
Let
,
where F is a field. Define addition of elements of V co-ordinate wise, and for
define 
Is V is a vector space
over F with these operations? Justify your answer.
Solution
:
Given:

0 (a1, a2)
= (a1, 0) is the zero vector but which is a contradiction to VS(3)
the zero vector to be unique.
.'. V is not a vector
space over F with these operations.
Problem 6.
Let V be the set of all
pairs (a, b) of real numbers.
Examine the following
case V is a vector space over R or not.

Solution:

Thus VS(5) not
satisfied.
Hence, V(R) is not a
vector space.
Problem 7.
What is the zero vector
in the vector space R4?
Solution
:

(c) Function space 
Example
:
Let S be any non-empty
set and F be any field.
Let
denote the
set of all functions from S to F.
Two functions ƒ and g
in
are called equal if ƒ (s) = g(s) for each s ε S.
The set
is a
vector space with the operations of addition and scalar multiplication defined
for 

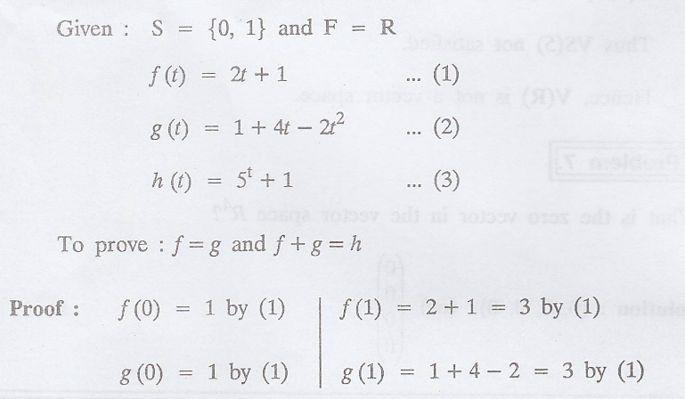
Problem 1.

Solution
:


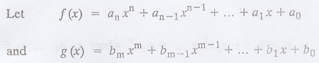
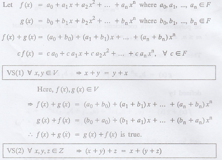
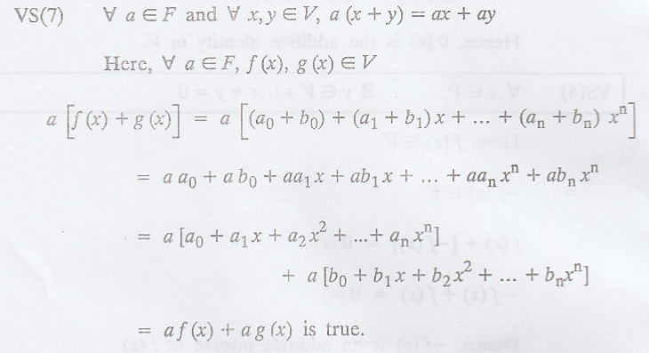
(d) Polynomial space P(F)
Example
:

be polynomials with
coefficients from a field F. Suppose that m ≤ n, and define 
Then g(x) can be
written as

The set of all
polynomials with coefficients from F is a vector space, which we denote by P
(F).
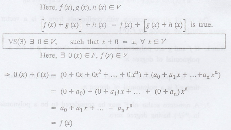
Note :
1. If ƒ and g are
polynomials of degree n, then f + g is not a polynomial of degree n.
2. If f is a polynomial
of degree n and c is a non-zero scalar, then c f is a polynomial of degree n.
3. A non-zero scalar of
F may be considered to be a polynomial in P(F) having degree zero.
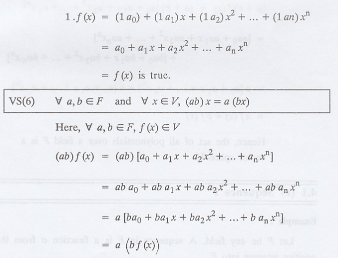
Problem 1.
Prove that the set of
all polynomials over a field F is a vector space V.
Solution :






Hence, the set of all
polynomials over a field F is a vector space V.
(e) Sequence F
Example
:
Let F be any field. A
sequence in F is a function o from the positive integers into F.
Let the sequence σ such
that σ(n) = an, for n = 1, 2, ... is denoted {an}.
Let V consist of all
sequences {an} in F that have only a finite number of non-zero terms
an

With these operations V
is a vector space.
Problem 1.
Let V be the set of
sequences {an} of real numbers. For
and any real number
t, define

Prove that, with these operations,
V is a vector space over R.
Proof :
Given:






EXERCISE 4.1
1. Show that the space
P of all polynomials is a vector space.
2. Verify in detail
that R3 is a vector space.
3. Let V be the set of
all real numbers, define u + v = 2u - v and cu
= cu. Is V a vector space?
4. Let V be the set
consisting of a single element 0. Let 0 + 0 = 0 and c 0 = 0. Show that V is a
vector space.
5. If V is a vector
space that has a non-zero vector, how many vectors are in V?
6. Describe all vector
spaces having a finite number of vectors.
7. Show that the set M
of n x n diagonal matrices over the field of reals is a vector space under the
usual addition of matrices and the scalar multiplication of a matrix by a real
number.
8. If V is the set of
all real-valued continuous (differential or integrable) functions defined in
some interval [0, 1]. Then show that V(R) is a vector space with addition and
scalar multiplication defined as follows

9. In a vector space V,
prove that ax = ay if and only if
either x = y or a = 0
10. In a vector space
V, prove that ax = bx if and only if
either a = b or x = 0
11. Let V be the set of
all pairs (x, y) of real numbers, and let F be the field of real numbers,
defined by

Is V, with these
operations, a vector space over the field of real numbers?
12. Let R be the field
of real numbers and let Pn be the set of all polynomials (of degree
atmost n) over the field R, prove that Pn is a vector space over the
field R.
13. Prove that the set
of all ordered n-tuples forms a vector space over a field F.
14. Prove that the set
of all convergent sequences is a vector space over the field of real numbers
Random Process and Linear Algebra: Unit IV: Vector Spaces,, : Tag: : - Examples of Vector Spaces
Random Process and Linear Algebra
MA3355 - M3 - 3rd Semester - ECE Dept - 2021 Regulation | 3rd Semester ECE Dept 2021 Regulation