Ergodic processes are processes for which time and ensemble (statistical) averages are interchangeable. The concept of ergodicity deals with the equality of time and statistical averages.
ERGODIC PROCESSES
Ergodic processes are
processes for which time and ensemble (statistical) averages are
interchangeable. The concept of ergodicity deals with the equality of time and
statistical averages.
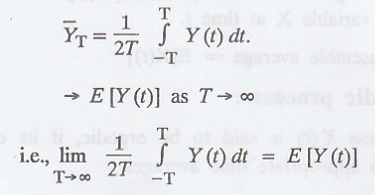
Definition: Time Average :
If X (t) is a random
process, then
is called the time-average of X(t) over (-T, T) and
is denoted by ![]()
Note:

Definition: Ensemble Average:
The ensemble average of
a random process {X(t)} is the expected value of the random variable X at time
t.
i.e., Ensemble average
= E[X(t)]
Definition: Ergodic process :
A random process X (t)
is said to be ergodic, if its ensemble averages are equal to appropriate time
averages.

Note:
In general, ensemble averages and time averages are not equal except for a
special class of random processes called ergodic process.
Definition: Mean-Ergodic process:
A random process X(t)
is said to be mean-ergodic, if

Note :
To prove X (t) is mean-ergodic.
i.e., To prove E [X(t)]
= 
(or) To prove 
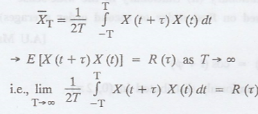
Definition: Correlation Ergodic process
The stationary process
X (t) is correlation ergodic, if

Definition: Distribution ergodic process
The stationary process
X (t) is distribution ergodic, if

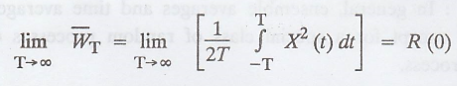
Definition: Mean-Square ergodic (or) Power ergodic.
The stationary process
X (t) is called mean-square ergodic if

Definition: Wide-Sense ergodic (or) Weakly ergodic process
The stationary process
X (t) is called Wide-sence ergodic if it is mean ergodic and correlation
ergodic.
I. Example for Mean-Ergodic problem :

Example 1
Show that the random
process X(t) = cos (t + φ), where φ is a random variable uniformly distributed
in (0, 2л) is (i) First order stationary (ii) Stationary in the wide-sense
(iii) Ergodic (based on first order or second order averages) [A.U May 2006]
Solution
:
Given: X(t) = cos (t +
φ)
where φ is uniformly
distributed in (0, 2л)







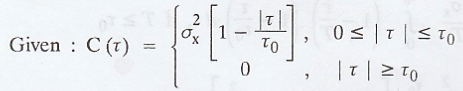
Example 2
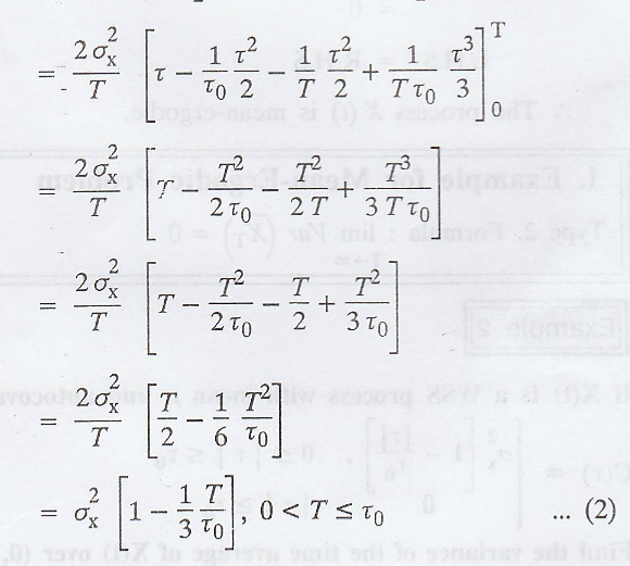
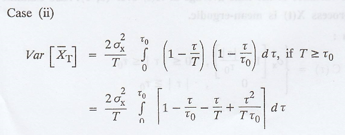
If X(t) is a WSS
process with mean µ and autocovariance function.

Find the variance of
the time average of X(t) over (0, T). Also examine if the process X(t) is
mean-ergodic.
Solution
:





II. Example for not mean-ergodic
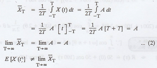
Example 3
If X(t) = A, where A is
a random variable, prove that {X(t)} is not mean ergodic.
Solution:
Given: X (t) = A
Mean = E[X(t)] = E[A] =
Ā .............(1)
We have to show that
ensemble mean
≠ the mean in the time
sense.

III. Example for Correlation-ergodic

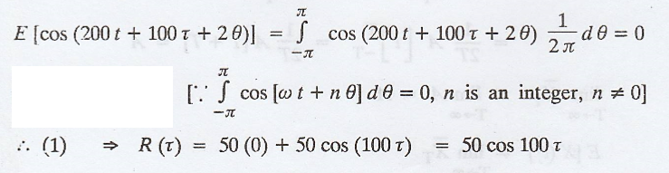
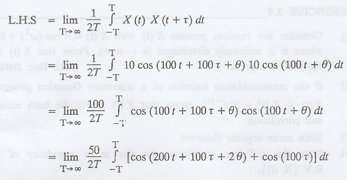
Example 4
Given that WSS random
process X(t) = 10 cos (100 t + θ), where is θ uniformly distributed over (-л,
л). Prove that the process X(t) is correlation-ergodic. [AU N/D 2003, N/D 2010,
CBT N/D 2011]
Solution
:
Given: X(t) = 10 cos
(100 t + θ)
Given: X (t) is WSS
process.

Take,




EXERCISE 3.4
1. Consider the random
process X(t) with X(t) = A cos(ω2t + θ) where θ is uniformly
distributed in (-л, л). Prove that X(t) is correlation ergodic. [A.U. Dec.
2004]
2. If the
autocorrelation function of a stationary Gaussion process X(t) is R(t) = 10 e -
| τ |, prove that X(t) is ergodic both mean and correlation.
3. State mean ergodic
theorem.
4. State the sufficient
conditions for the mean ergodicity of a R.V {X(t)}.
5. Give an example of a
WSS process which is not mean-ergodic.
6. When is a random
process said to be correlation ergodic ?
7. When is a random
process said to be distribution ergodic ?
8. If X(t) = Y where Y
is a random variable, prove that {X(t)} is not mean ergodic.
9. A random process
X(t) has sample values x1(t) = 5, x2(t) = 3, x4(t)
= -1, x5(t) = -3, x6(t) = -5. Find the mean and variance
of the process. Is the process ergodic in the mean.
Random Process and Linear Algebra: Unit III: Random Processes,, : Tag: : - Ergodic Processes
Random Process and Linear Algebra
MA3355 - M3 - 3rd Semester - ECE Dept - 2021 Regulation | 3rd Semester ECE Dept 2021 Regulation