Discuss about discrete time fourier transform (DTFT) and its problems
DISCRETE TIME FOURIER TRANSFORM (DTFT)
The
Fourier transform of discrete-time signal is called the discrete-time fourier
transform (DTFT).
If
x(n) is the given discrete time sequence, then X(ω) or X(ejω) is the
discrete- time Fourier transform of x(n).
The
DTFT of x(n) is defined as:

The
inverse DTFT of X(ω) is defined as:

We
also refer to x(n) and X(ω) as a Fourier transform pair and this relation is
expressed as.

Existence of DTFT
The
Fourier transform exists for a discrete-time sequence x(n) if and only if the
sequence is absolutely summable, i.e. the sequence has to satisfy the
condition.

The
DTFT doesnot exist for the sequences that are growing expononentially (ex. an
. u(n), a >1) since they are not absolutely summable.
Relation Between Z - Transform and Fourier Transform
The
z-transform of a discrete sequence x(n) is defined as:

Where
z - is a complex variable.
The
Fourier transform of a discrete time sequence x(n) is defined as:

The
X(z) can be viewed as a unique representation of the sequence x(n) in the
complex z - plane.

The
RHS is the Fourier transform of x(n). r-n, i.e. the z-transform of
x(n) is the Fourier transform of x(n).r-n.
When
r = 1

The
RHS is the Fourier transform of x(n). So we can conclude that the Fourier
transform of x(n) is same as the Z-transform of x(n) evaluated along the unit
circle centered at the origin of the z-plane.

Properties of Discrete Time Fourier Transform
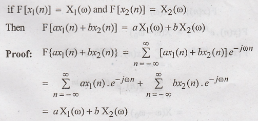
Linearity Property
The
Linearity property of DTFT states that if

Periodicity Property
The
periodicity property states that the DTFT X(ω) is periodic in ω with period 2π.
X(ω
+ 2nπ) = X(ω)
Time Shifting
Property
The
time shifting property of DTFT states that
If
F[x(n)] = X(ω)
Then
F[x(n-m)] = e –j ω m X(ω) where m is an integer.
Proof:


This
result shows that the time shifting of a signal by m- units doesnot change its
amplitude spectrum but the phase spectrum is changed by -ωm.
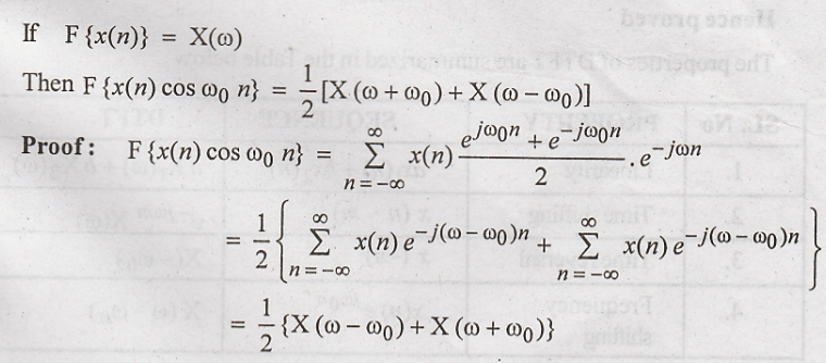
Frequency Shifting
property
The
Frequency shifting property of DTFT states that,

Proof :

This
property is the dual of the time shifting property.
Time Reversal
Property
The
time reversal property of DTFT states that

That
is folding in the time domain corresponds to the folding in the frequency
domain.
Differentiation In
Frequency Domain Property
The
differentiation in the frequency domain property of DTFT states that,

Proof:

Differentiating
both sides with respect to 'ω' we get

Time Convolution
Property
The
time convolution property of DTFT states that.

Proof:

Interchanging
the order of summations we get

Put
n - k = p in the second summation.
n
= p + k

That
is the convolution of the signals in the time domain is equal to multiplying
their spectra in the frequency domain.
Frequency Convolution
Property
The
frequency convolution property of DTFT states that

Proof :

Interchanging
the order of summation and integration we get.

This operation is known as periodic convolution because it is the convolution of two periodic function X1(ω) and X2(ω).
The Correlation
Theorem
The
correlation theorem of DTFT states that

The
function
is called the cross energy spectrum of the signals x1(n) x2(n).
The Modulation
Theorem

Parseval's Theorem

Interchanging
the order of summation and integration we get

Hence
proved
The
properties of DTFT are summarized in the Table below


Example Problems Based on DTFT
Problem 1:
Find
the DTFT of the following sequence:
(a)
δ(n)
(b)
u(n)
(c)
δ(n-m)
(d)
u(n-m)
(e)
an u(n)
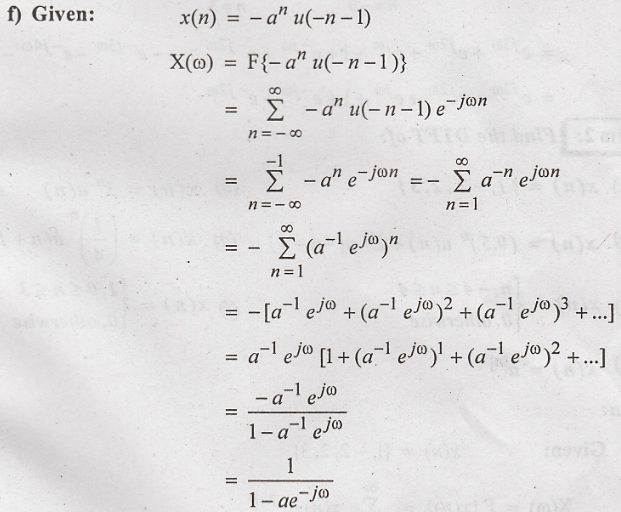
(f)
-an u(-n-1)
(g)
δ(n + 3) − δ(n − 3)
(h)
u(n + 3) – u(n − 3)
Solution:








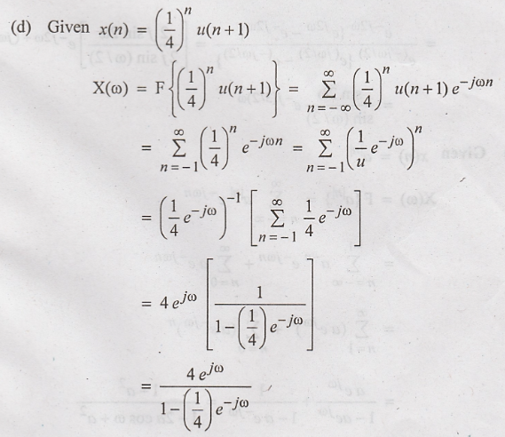
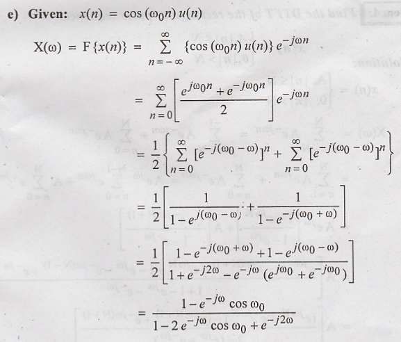
Problem 2:
Find
the DTFT of:

Solution:

(b)
Given x(n) = 3n u(n). The given sequence is not absolutely summable.
Therefore, its DTFT does not exists.
(c)
Given x(n) = (0.5)n u(n) + 2n u(−n−1)





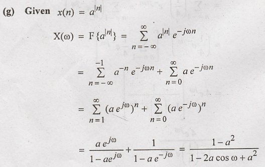
Problem 3:
Find
the DTFT of the following sequences:

Solution:







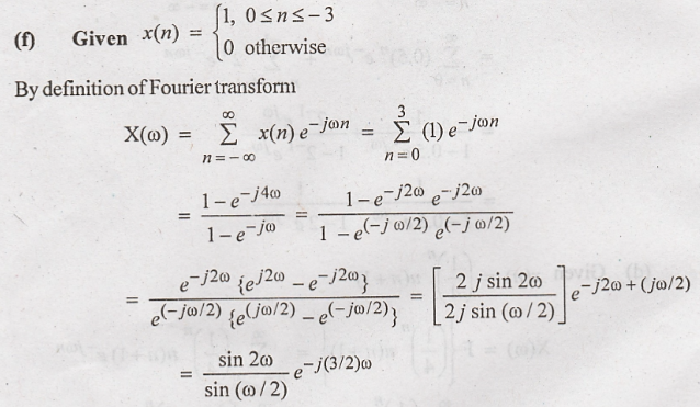
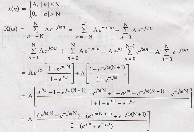
Problem 4:
Find
the DTFT of the rectangular pulse sequence:

Solution:


Signals and Systems: Unit IV: Analysis of Discrete Time Signals,, : Tag: : - Discrete Time Fourier Transform (DTFT)
Signals and Systems
EC3354 - 3rd Semester - ECE Dept - 2021 Regulation | 3rd Semester ECE Dept 2021 Regulation