Electron density is the number of electrons per unit volume in a material. It is determined by using density of states.
DENSITY OF STATES FOR SOLIDS
Definition
Electron density is the number of electrons per unit volume in a material. It is determined by using density of states.
Density of states
In
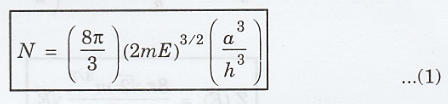
solid, the total number of electron energy states N with energies upto E is
determined based on quantum mechanics using the following equation

Here,
the volume of the material is represented as a3 (a being the
characteristic dimension of the solid),
E
- Maximum energy level
m
- mass of an electron
h
- Planck's constant.
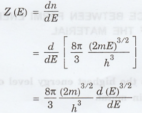
Number
of energy states per unit volume

Density
of states function Z (E) is obtained after taking the derivative of this
expression with respect to energy (dn/dE)
This
function gives the number of available electron energy states per unit volume
per unit energy.


In
a conductor at 0 K, the electron distribution goes from zero energy upto Fermi
energy EF.
So,
the number of free electrons per unit volume, or electron density, in a bulk
conductor at 0 K using eqn (2).

The
minute size of the nanomaterials gives unique mb electronic properties. One of
the major ways in which small-volume materials differ from bulk solids is the
number of available energy states.
Physics for Electronics Engineering: Unit V: Nano Devices : Tag: : Definition, Formula - Density of States for Solids
Physics for Electronics Engineering
PH3254 - Physics II - 2nd Semester - ECE Department - 2021 Regulation | 2nd Semester ECE Dept 2021 Regulation