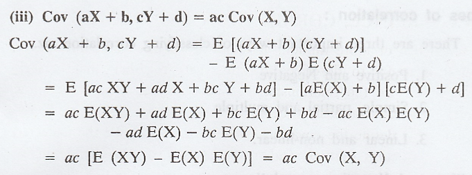
When two or more random variables are defined on a probability space, it is useful to describe how they vary together, that is, it is useful to measure the relationship between the variables. A common measure of the relationship between two random variables is the covariance. To define the covariance, we need to describe the expected value of a function of two random variables h (x, y). The definition simply extends that used for a function of a single random variable.
COVARIANCE, CORRELATION AND REGRESSION
When
two or more random variables are defined on a probability space, it is useful
to describe how they vary together, that is, it is useful to measure the
relationship between the variables. A common measure of the relationship
between two random variables is the covariance. To define the covariance, we
need to describe the expected value of a function of two random variables h (x,
y). The definition simply extends that used for a function of a single random
variable.
i. COVARIANCE
If
X and Y are random variables, then co-variance between them is defined as, [A.U
N/D 2019 (R17) PS]

Note: If X and Y are independent, then Cov
(X, Y) = 0
If
X and Y are independent, then E [XY] = E(X). E(Y) => Cov (X, Y) = 0




ii. CORRELATION
ANALYSIS
A
distribution involving two variables is known as a bivariate distribution. If
these two variables vary such that change in one variable affects the change in
the other variable, the variables are said to be correlated. For example, there
exists some relationship between the height and weight of a person, price of a
commodity and its demand, rainfall and production of rice, etc. The degree of
relationship between the variables under consideration is measured through the
correlation analysis. The measure of correlation is called as the correlation
co-efficient or correlation index. Thus, the correlation analysis refers to the
techniques used in measuring the closeness of relationship between the
variables.
Types of correlation
There
are three important ways of classifying correlation viz.,
a.
Positive and Negative
b.
Simple, partial and multiple
c.
Linear and non-linear.
a. Positive and Negative correlation :
If
the two variables deviate in the same direction i.e., if the increase in one
variable results in a corresponding increase in the other or if the decrease in
one variable result in a corresponding decrease in the other, then the
correlation is said to be direct or positive. For example, the correlation
between the height and weight of a person, correlation between the rainfall and
production of rice, etc. are positive.
If
the two variables constantly deviate in the opposite directions, i.e., if the
increase in one variable results in a corresponding decrease in the other or if
the decrease in one variable results in a corresponding increase in the other,
the correlation is said to be inverse or negative. The correlation between the
price of a commodity and its demand, correlation between the volume and
pressure of a perfect gas, etc., are negative.
Correlation
is said to be perfect if the deviation in one variable is followed by a
corresponding and proportional deviation in the other.
b. Simple, partial and multiple correlation :
If
only two variables are considered for correlation analysis, it is called a
simple correlation. When three or more variables are studied, it is a problem
of either multiple or partial correlation.
In
multiple correlation, three or more variables are studied simultaneously. For
example, the study of relationship between the yield of rice per hectare and
both the amount of rainfall and the usage of fertilizers is a multiple
correlation.
When
three or more variables are involved in correlation analysis, the correlation
between the dependent variable and only one particular independent variable is
called partial correlation. The influence of other independent variable is
excluded.
For
example, the yield of rice is related with the application of fertilizers and
the rainfall. In this case, the relation of yield to fertilizer excluding the
effect of rainfall, the relation of yield to rainfall excluding the usage of
fertilizer are partial correlations.
c. Linear and non-linear correlation :
If
the amount of change in one variable tends to bear constant ratio to the amount
of change in the other variable, then the correlation is said to be linear.
For
example, if

the
variation between X and Y is a straight line
A
correlation is said to be non-linear or curvi linear if the amount of change in
one variable does not bare a constant ratio to the amount of change in the
other variable. For example, if rainfall is doubled, the production of rice
would not necessarily be doubled.
Methods of studying
correlation :
as
The following are some of the methods used for studying the correlation.
(i)
Scatter diagram method
(ii)
Graphic method
(iii)
Karl pearson's co-efficient of correlation
(iv)
Rank method
(vi)
Method of least squares.
Karl Pearson's co-efficient of correlation :
Let
X and Y be given random variables. The Karl Pearson's co-efficient of
correlation is denoted by rXY or r(X, Y) and defined as

Note
that correlation co-efficient always lies between -1 to +1.
Note: Two random variables with non zero
correlation are said to be correlated.
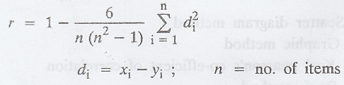
iii. RANK CORRELATION
Let
us suppose that a group of 'n' individuals is arranged in order of merit or
proficiency in possession of two characteristics A and B. These ranks in the
two characteristics will, in general, be different. For example, if we consider
the relation between intelligence and beauty, it is not necessary that a
beautiful individual is intelligent also.
If
(Xi, Yi), i = 1, 2, ... n are the ranks of the
individuals in two characteristics A and B respectively, then the rank
correlation co-efficient is given by,

where
di is the different between the ranks. This formula is called Karl
Pearson's formula for the rank correlation co-efficient.
iv. REPEATED RANKS
If
any two or more individuals are equal in any classification with respect to
characteristic A or B, or if there is more than one item with the same value in
the series then Spearman's formula for calculating the rank correlation
coefficients breaks down. In this case common ranks are given to the repeated
ranks. This common rank is the average of the ranks which these items would
have assumed if they are slightly different from each other and the next item
will get the rank next to the ranks already assumed. As a result of this,
following adjustment or correction is made in the correlation formula.
In
the correlation formula, we add the factor
∑d2
where m is the number of times an item is repeated. This correction factor is
to be added for each repeated value.
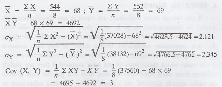
Example 2.2.1
Calculate
the correlation co-efficient for the following heights (in inches) of fathers X
and their sons Y. [A.U. N/D 2004, A/M 2015 (RP) R13]

Solution :


The
correlation co-efficient of X and Y is given by,


Example 2.2.2
Find
the rank correlation co-efficient from the following data:

Solution :


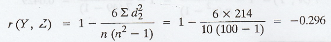
Example 2.2.3
Ten
participants were ranked according to their performance in a mustical test by
the 3 Judges in the following data.

Using
rank correlation method, discuss which pair of judges has the nearest approach
to common likings of music.
Solution :

The
rank correlation co-efficient between X and Y is given by


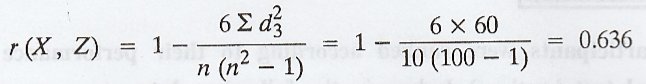
The
rank correlation co-efficient between Y and Z is given by

The
rank correlation co-efficient between X and Z is given by

Since
the rank correlation coefficient between X and Z is positive and maximum, we
conclude that the pair of judges X and Z has the nearest approach to common
liking in music.
Example 2.2.4
Obtain
the rank correlation coefficient for the following data:

Solution :

In
X series 75 is repeated twice which are in the positions 2nd and 3rd
ranks. Therefore common ranks 2.5 (which is the average of 2 and 3) is to be
given for each 75. Also in X series 64 is repeated thrice which are in the
position 5th, 6th and 7th ranks.
Therefore
common ranks 6 (which is the average of 5, 6 and 7) is to be given for each 64.
Similarly
in Y series 68 is repeated twice which are in the positions 3rd and
4th ranks. Therefore common ranks 3.5 (which is the average of 3 and
4) is to be given for each 68.
Correction factors
In
X series 75 is repeated twice



Example 2.2.5
The
joint probability mass function of X and Y is given below.

Find
the correlation coefficient of (X, Y).
Solution :




Example 2.2.6
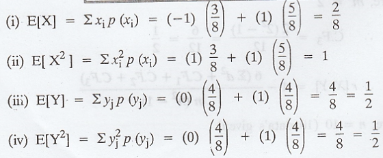
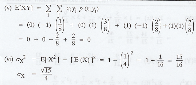
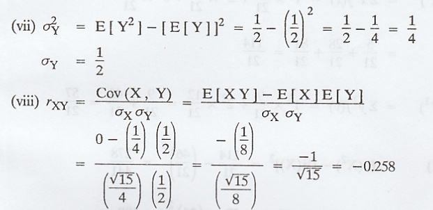
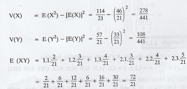
Let
X and Y be discrete R.V's with probability function f(x,y) = x+y/21, x=1,2,3;
y=1,2. Find (i) Mean and Variance of X and Y. (ii) Cov (X, Y) (iii) Correlation
of X and Y. [A.U N/D 2015 R13, CBT A/M 2011], [A.U A/M 2019 (R17) PQT]
Solution :




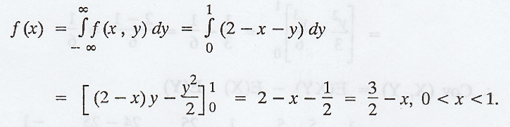
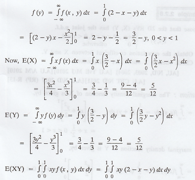
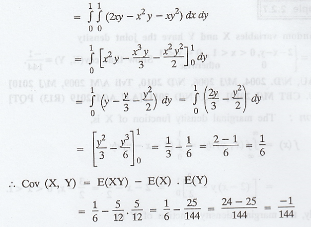
Example 2.2.7
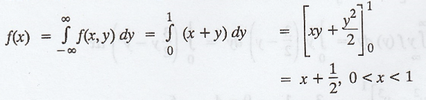
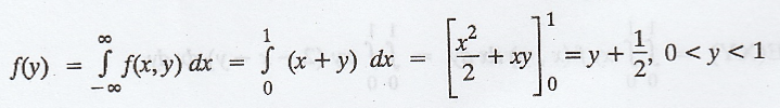
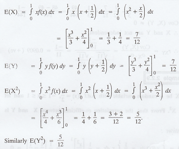
Two
random variables X and Y have the joint density
Show that cov(X, Y) = -1/144. [AU, N/D. 2004, M/J 2006, N/D 2010, Tvli A/M
2009, M/J 2010] [A.U. CBT M/J 2010] [A.U N/D 2011] [A.U A/M 2019 (R13) PQTI
Solution :
The
marginal density function of X is,

Similarly,
the marginal density function of Y is,


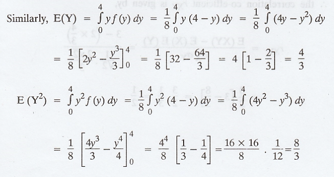
Example 2.2.8
Suppose
that the 2D RVs (X, Y) has the joint p.d.f.
Obtain the
correlation co-efficient between X and Y. Check whether X and Y are
independent. [AU, N/D, 2003, 2004] [A.U Tvli M/J 2010] [A.U A/M 2010] [A.U CBT
N/D 2011] [A.U N/D 2017 (RP) R-13]
Solution:
The
marginal density function of X is given by,

The
marginal density function of Y is given by,




Example 2.2.9
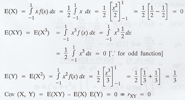
Let
X be a random variable with p.d.f f(x) = 1/2, -1 ≤ x ≤ 1 and let Y = X2.
Prove that, the correlation co-efficient between X and Y is zero.
Solution :

Example 2.2.10
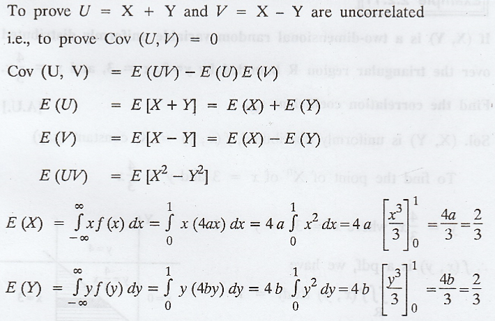
Two
independent random variables X and Y are defined by,

Show
that U = X + Y and V = X - Y are uncorrelated. [AU A/M 2003, N/D 2012, M/J
2013]
Solution :



.'.
U and V are uncorrelated.
Example 2.2.11
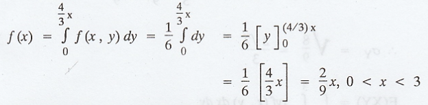
If
(X, Y) is a two-dimensional random variable uniformly distributed over the
triangular region R bounded by y=0, x = 3, and y =4x/3. Find the correlation
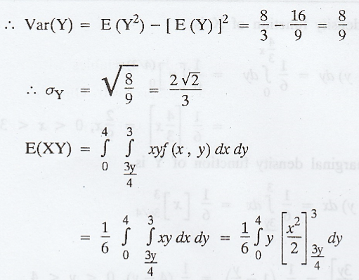
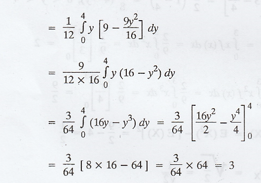
coefficient rxy. [A.U.]
Solution:
(X,
Y) is uniformly distributed, f (x, y) = K, constant (say)
To
find the point of Xn of x = 3 and y = 4x/3

The
marginal density function of X is

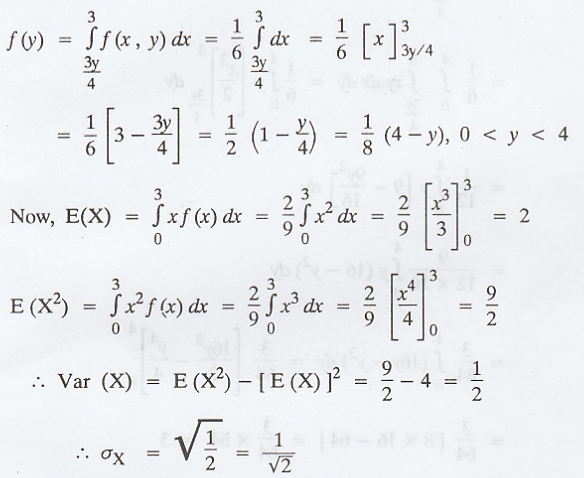
similarly
the marginal density function of Y is



.'.
the correlation co-efficient rXY is given by,

Example 2.2.12
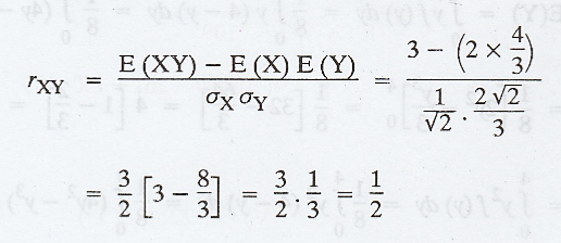
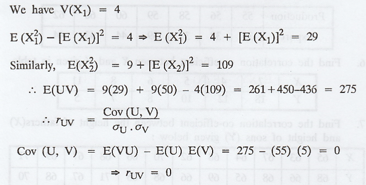
Let
X1 and X2 be two independent random variables with means
5 and 10 and standard deviations 2 and 3 respectively. Obtain rUV
where U = 3X1 + 4X2 and V = 3X1 - X2.
[A.U N/D 2019 (R17) PS]
Solution:



EXERCISE 2.2
1.
For the given data, find the correlation co-efficient between X and Y.

2.
Ten students got the following percentage of marks in Economics and Statistics.
Calculate the correlation co-efficient.

3.
Find the correlation co-efficient between sales and expenses of the following
10 firms.

4.
The following marks have been obtained by a class of students in English. Find
the correlation co-efficient.

5.
Calculate the Karl Pearson's co-efficient of correlation from the following
data.

6.
Find the correlation co-efficient between X and Y given in table.

7.
Find the correlation co-efficient between the height of fathers(X) and height
of sons (Y) given below:

8.
Find the rank correlation co-efficient of ranks of 8 candidates in Maths and
English as given below :

9.
Let the random variable X have the marginal density function g(x) = 1, -1/2
< x < 1//2 and let the conditional density of Y be
S.T
the variables X and Y are uncorrelated.
10.
Let X and Y be random variables having joint density function
Find
rXY.
11.
If ƒ (x, y) = 1/8 (6 - x - y), 0 ≤ x ≤ 2, 2 ≤ y ≤ 4, find rXY.
Random Process and Linear Algebra: Unit II: Two-Dimensional Random Variables,, : Tag: : - Covariance Correlation and Regression
Random Process and Linear Algebra
MA3355 - M3 - 3rd Semester - ECE Dept - 2021 Regulation | 3rd Semester ECE Dept 2021 Regulation