A random variable X is said to be continuous if it takes all possible values between certain limits say from real number 'a' to real number 'b'. Example: The length of time during which a vacuum tube installed in a circuit functions is a continuous random variable. Note: If X is a continuous random variable for any x1 and x2 P(x1 ≤ X ≤ x2) = P(x1 < X ≤ x2) = P(x1 ≤ X < x2) = P(x1 < X < x2)
CONTINUOUS RANDOM
VARIABLES
(i) Definition: Continuous Random Variable
A random variable X is said to be
continuous if it takes all possible values between certain limits say from real
number 'a' to real number 'b'.
Example:
The length of time during which a vacuum tube installed in a circuit functions
is a continuous random variable.
Note: If X is a continuous random
variable for any x1 and x2 P(x1 ≤ X ≤ x2)
= P(x1 < X ≤ x2) = P(x1 ≤ X < x2)
= P(x1 < X < x2)
(ii) Probability density function :
For a continous random variable X, a
probability density function is a function such that
(1) f(x) ≥ 0

Note:
A probability density function is zero for the values of X which do not occur
and it is assumed to be zero wherever it is not specifically defined.
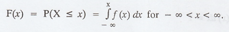
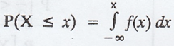
(iii) Cumulative distribution function
The cumulative distribution function of
a continuous random variable X is

Note:
The probability density function of a continuous random variable can be
determined from the cumulative distribution function by differentiating.

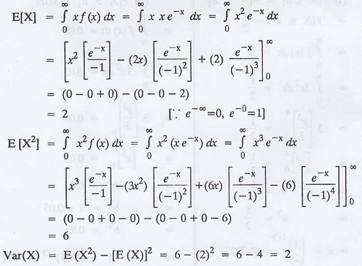
(iv) The mean or expected value of a continuous random variable
X.
Suppose X is a continuous random
variable with probability density function f(x). The mean or expected value of
X, denoted as µ or E(X) is

A useful identity is that for any
function g,

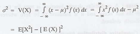
(v) The variance of a continuous random variable X.
The variance of X, denoted as V(X) or σ2,
is

Note:
The standard deviation of X is σ = 
(vi) FORMULA


Problems based on 
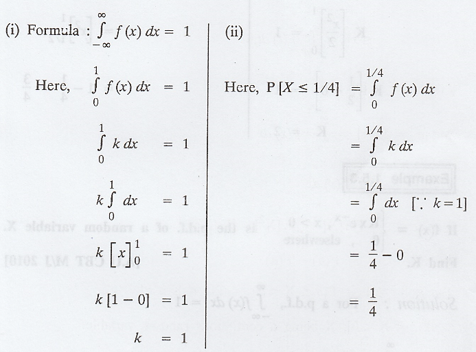
Example 1.5.1
A continuous random variable X has
p.d.f. f(x) = k, 0 ≤ x ≤ 1. Determine the constant k. Find P [X ≤ 1/4]
Solution :

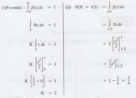
Example 1.5.2
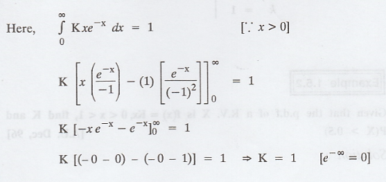
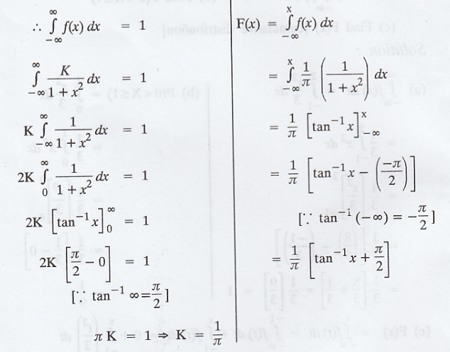
Given that the p.d.f of a R.V. X is f(x)
= Kx, 0 < x < 1, find K and P(X > 0.5) [A.U. Dec, 96]
Solution :

Example 1.5.3
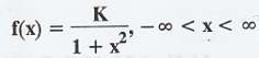
If f(x) =
is the p.d.f. of
a random variable X. Find K. [A.U CBT M/J 2010]
Solution :


Example 1.5.4
A continuous random variable X has
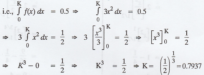
probability density function given by f(x) = 3x2, 0 ≤ x ≤ 1. Find K
such that P(X > K) = 0.5 [A.U. Model Q. Paper] [A.U N/D 2010]
Solution :
Given P(X > K) = 1 - P[X ≤ K] = 1 -
0.5 = 0.5

[Note:
P[X ≤ K] = 1 - P [X > K] = 1 - 0.5 = 0.5]
Example 1.5.5
Let X be a continuous R.V with probability
density function

Solution :




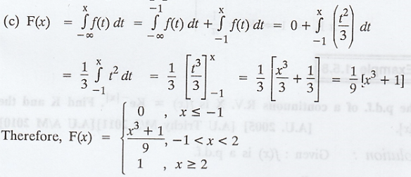
Example 1.5.6
In a continuous random variable X having
the probability density function
[A.U. A/M 2018 R-13]
(a) Verify
(b) Find P(0
< X ≤ 1)
(c) Find F(x) [cumulative distribution]
Solution :


Example 1.5.7
A continuous random variable X has the
density function
Find the value of K and the distribution function.
[A.U N/D 2011, N/D 2014] [A.U A/M 2018 R-13]
Solution:
Given f (x) is a p.d.f

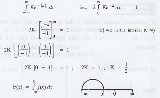
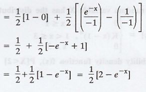
Example 1.5.8
The p.d.f. of a continuous R.V. X is
f(x) = Ke-|x|. Find K and the F[x]. [A.U. 2005] [A.U Trichy M/J
2011] [A.U A/M 2010]
Solution :
Given: f(x) is a p.d.f.




Example 1.5.9
A continuous random variable X that can
assume any value between x = 2 and x = 5 has a density function given by f(x) =
k(1 + x). Find P[X < 4] [A.U M/J 2006, M/J 2007, N/D 2011, N/D 2012] [A.U CBT
N/D 2008, CBT Dec. 2009] [A.U A/M 2015, (RP) R13] [A.U A/M 2017 R8]
Solution :

Example 1.5.10
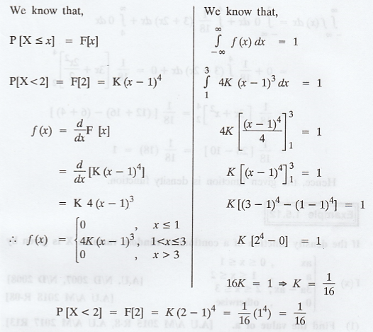
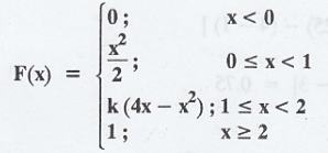
A continuous random variable X has the
distribution function
find K, probability density function f(x),
P[X < 2] [A.U. A/M. 2008]
Solution :

Example 1.5.11
Is the function defined as follows, a
density function?
[A.U N/D 2006]
Solution:
Condition for probability density
function is 
Given:


Hence, the given function is density
function.
Example 1.5.12
If the density function of a continuous
random variable X is given by

(1) Find the value of a. [A.U A/M 2015 R-8, A.U A/M 2017 R13]
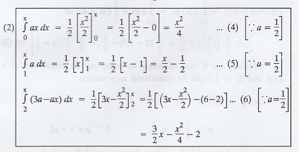
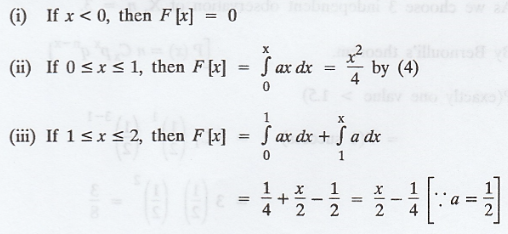
(2) Find the cumulative distribution
function of X.
(3) If x1, x2 and
x3 are 3 independent observations of X, what is the probability that
exactly one of these 3 is greater than 1.5?
Solution:
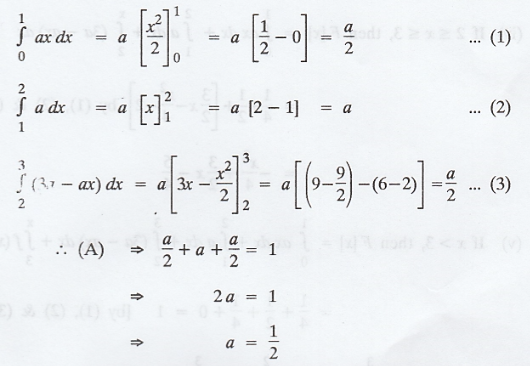
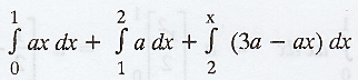
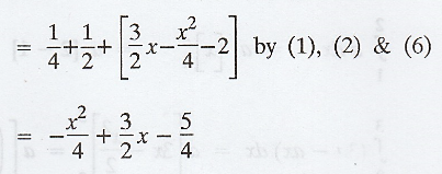
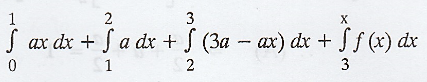
(1) Since, f (x) is a p.d.f, then




(iv) If 2 ≤ x ≤ 3, then F [x] = 

(v) If x > 3, then F [x] = 

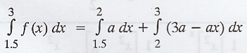
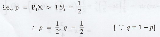
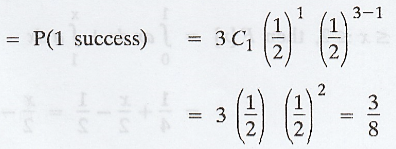
(3) P [X > 1.5] = 

Choosing an X and observing its value
can be considered as a trial and X > 1.5 can be considered as a success.

As we choose 3 independent observation
of X, n = 3
By Bernoulli's theorem. 
P(exactly one value > 1.5)

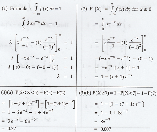
Example 1.5.13
Experience has shown that while walking
in a certain park, the time X (in mins.), between seeing two people smoking has
a density function of the form
[A.U. N/D 2007]
(1) Calculate the value of ?.
(2) Find the distribution function of X.
(3) What is the probability that Jeff,
who has just seen a person smoking, will see another person smoking in 2 to 5
minutes? In atleast 7 minutes ?
Solution:
Given: f(x) = 

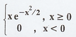
Example 1.5.14
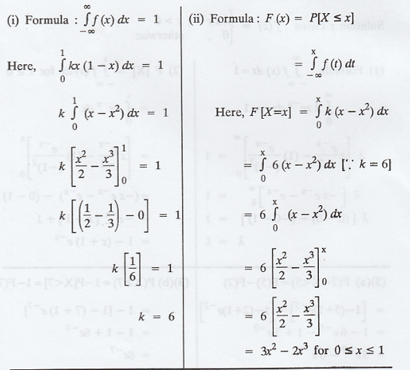
The diameter of an electric cable X is a
continuous r.v. with pdf f(x) = kx (1-x), 0 ≤ x ≤ 1 [A.U N/D 2017 R-08]
(i) Find the value of k
(ii) c.d.f of X
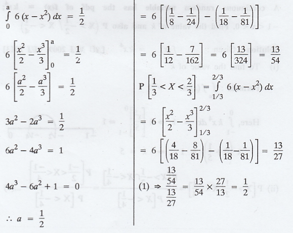
(iii) the value of a such that P(X <
a) = P(X > a)
(iv) 
Solution :



Example 1.5.15
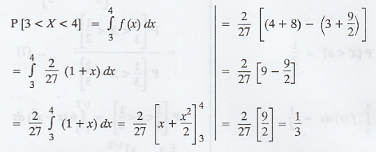
A continuous random variable X that can
assume values between x = 2 and x = 5 has dF = [2(1 + x)/27] dx, find P (3 <
X < 4)
Solution:
We know that, f(x) = dF/dx = 2 (1 +
x)/27, 2 ≤ x ≤ 5

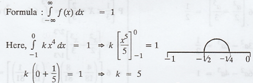
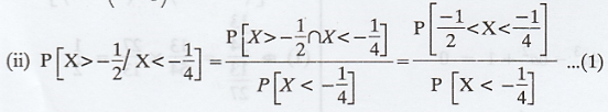
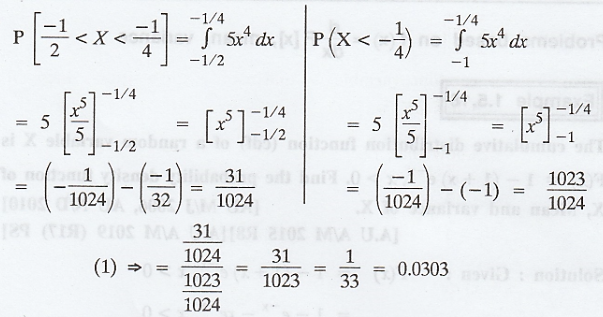
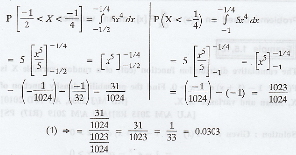
Example 1.5.16
A continuous random variable has the pdf
of f(x) = k x4; -1 < x < 0. Find the value of k and also 
Solution:
Given: f(x) = kx4
(i) To find the value of k



Example 1.5.17
A continuous random variable X has p.d.f
f(x) = 3x2, 0 ≤ x ≤ 1. Find a and b such (i) P[X = a] = P [X > a]
(ii) P[X > b] = 0.05 [A.U M/J 2014 (RP)]
Solution :

Problems based on f(x) = d/dx F[x], mean, variance
Example 1.5.18
The cumulative distribution function
(cdf) of a random variable X is
Find the probability density
function of X, Mean and variance of X. [AU M/J 2006, AU N/D 2010] [A.U A/M 2015
R8] [A.U A/M 2019 (R17) PS]
Solution:
Given :


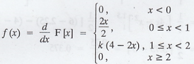
Example 1.5.19
The sales of a convenience store on a
randomly selected day are X thousand dollars, where X is a random variable with
a distribution function of the following form: [A.U. N/D 2007]

Suppose that this convenience store's
total sales on any given day are less than $ 2000.
(1) Find the value of k
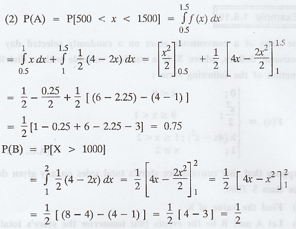
(2) Let A and B be the events that
tomorrow the store's total sales are between 500 and 1500 dollars, and over
1000 dollars, respectively. Find P(A) and P(B).
(3) Are A and B independent events?
Solution :

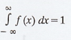
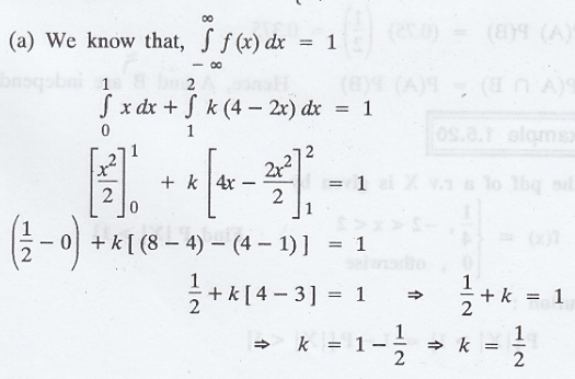
(a) We know that,



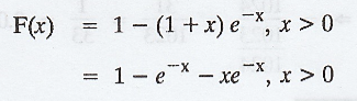
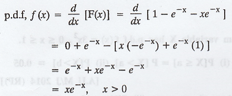
Example 1.5.20
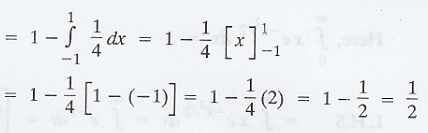
If the pdf of a r.v X is given by
Find P [|X| > 1]
Solution :
P[|X| > 1] = 1 - P[|X| < 1]

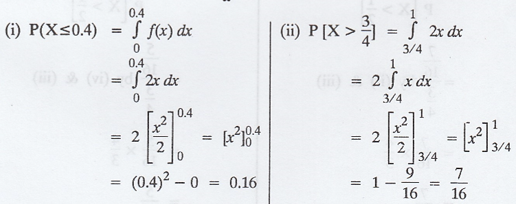
Example 1.5.21
If the cdf of a r.v X is given by F(x) =
find the p.d.f of X, also find P [1 ≤ X ≤ 2] [A.U N/D 2010]
Solution :


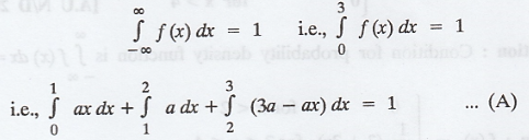
Example 1.5.22
If f(x) = 
(a) Show that f(x) is a pdf of a
continuous random variable X.
(b) Find its distribution function F(x)
[A.U CBT A/M 2011]
Solution :
To prove : 

EXERCISES 1.4 and 1.5
1. Define discrete and continuous Random
variables with examples.
2. Define probability mass function.
3. Define pdf of a continuous random
variables X.
4. Define probability distribution
curve.
5. If f (x) is a pdf of a continuous
random variables X, then what is the value of 
6. Prove that P (X = c) = 0.
7. For the following density function f
(x) =C x2 (1-x), 0 < x < 1. Find (i) the constant 'C' (ii)
mean. [Ans. (i) C = 12, (ii) mean = 3/5]
8. If the p.d.f of a random variable 'X'
is f(x) = y0 (x - x2) in 0 ≤ x ≤ 1, then find (i) mean
(ii) median (iii) mode. [Ans. mean = median = mode = 1/2]
9. Check whether the following are
p.d.f. or not.
[Ans. not a p.d.f.]
10. If f(x) = Ax2, 0 ≤ x ≤ 1
is p.d.f. of a random variable 'X', then find
(i) the constant 'A' (ii) P(0.2 < X
< 0.5) (iii) P (1/4 < X < 1/2) [Ans. (i) 0.3, (ii) 0.117, (iii)
15/256]
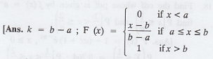
11. Find K, mean and variance if dF = K
x2 e-x dx, 0 < x < ∞. [Ans. K = 1/2, mean = 3,
variance = 3]
12. Find k so that f(x) given below may
be p.d.f
Find the distribution function also. 
13. If the p.d.f of a continuous random
variable X is f(x) =
then find the value of c and the distribution
function F(x).
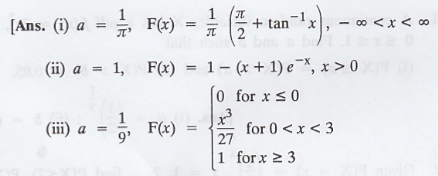
[Ans. c = 1/10, F(x) = 
14. Find the value of c and the
distribution function F(x), given the p.d.f of a random variables X is given by 
[Ans. c = 2, F(x) =
]
15. If the p.d.f of a random variables
'X' is f(x) = 2x, 0 < x < 1, then find the cdf of X. 
16. If the p.d.f of a random variables X
is f (x) = x/2 in 0 ≤ x ≤ 2, then find P(X > 1.5 / X > 1). [Ans. 7/12]
17. The probability mass function of a
random variables X is given by
where λ is
positive value. Find (i) P(X = 0), (ii) P(X > 2). 
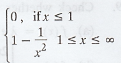
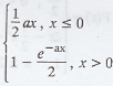
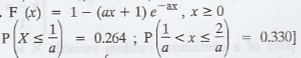
18. Find the cdf whose pdf is given by
and also find P(x ≤ 1/a) and P(1/a < x ≤ 2/a) [Ans
]
19. Given that cdf F (x) = 
(a) Find the pdf of f (x)
(b) Find P(0.5 < x ≤ 0.75)
(c) Find P(x > 0.75) and P(x ≤ 0.5)
[Ans. (a) f (x) =
; (b)
0.3125; (c) 0.25]
20. The amount of bread (in hundreds of
kilos) that a bakery sells in a day is a random variables with density

(i) Find the value of c which makes f(x)
a pdf.
(ii) What is the probability that the
number of kilos of bread that will be sold in a day is (a) more than 300 kilos
(b) between 150 and 450 kilos. [Ans. (i) c = 1/9, (ii) 3/4]
21. A continuous random variables X has
a pdf f (x) = 3x2, 0 ≤ x ≤ 1. Find a and b such that (i) P(X ≤ a) =
P(X > a) and (ii) P(X > b) = 0.05.
[Ans. (i) a =
; (ii) b =
]
22. Given P(X = x) =
, x = 1,
2, ... find P(X ≤ 2), P(X > 3) and c.d.f F(x). [Ans. 0.75, 0.75, F (x) =
, x = 1, 2, 3]
23. If the c.d.f of a continuous random
variables X is given by F(X) =
then find P (|x| ≤ 1/k). Find the
p.d.f f (x). [Ans. P = 1 - 1/e; f(x) =
]
24. If P(x) =
Find (i) P(X =
1 or 2) and (ii)
[Ans. (i) 1/5, (ii) 1/7]
25. A continuous random variables X has
the density function f(x) given by


26. Find the distribution function of X
whose p.d.f. is given by

27. Find P(X = 0) if P(X = 0) = P(X <
0) = P(X > 0) [Ans. 1/3]
28. Two unbiased dice are thrown. Find
the expected values of the sum of the numbers on them. [Ans. E (X) = 7]
Random Process and Linear Algebra: Unit I: Probability and Random Variables,, : Tag: : - Continuous Random Variables and Problems
Random Process and Linear Algebra
MA3355 - M3 - 3rd Semester - ECE Dept - 2021 Regulation | 3rd Semester ECE Dept 2021 Regulation