Consider a circular cross-section wire which has radius a and length L. Assume that L is very large compared to the mean free path.
CONDUCTIVITY OF METALLIC NANOWIRES
Let
us study what happens when wire length L becomes extremely small relative to
the mean free path and the influence of wire cross-section size on conductivity
of metallic nanowires.
Consider
a circular cross-section wire which has radius a and length L. Assume that L is
very large compared to the mean free path.
For example, assuming a copper (σ = 5.9 x 107 S/m) wire having radius a = 10 mm, R = 5.395 x 10-6 ohms/m. However if a = 10 µm, R = 53.95 ohms/m amounting to 1 ohm in only 1.85 cm. If a = 10 nm, the resistance is huge, R = 5.395 x 107 ohms / m.
It
is important to note that for wires having radius values in the order of the
mean free path or less the conductivity value is changed from the case of a
bulk material.
For
example, copper has a mean free path of approximately 40 nm, and in this range,
radius-dependent effects are usually manifest.
In
fact, we may consider that radius dependent effects may occur even when the radius
is approximately double this value, in the order of 80 - 100 nm.
In
the 1 - 120 nm radius range, the conductivity of the wire certainly will differ
appreciably from the bulk value, and generally the conductivity significantly decreases
as a is reduced.
This
is due to several effects, such as scattering from the wire's surface, from
grain boundaries defects etc.,
Thus,
we can use the bulk value of conductivity for many good conductors when the radius
value is above approximately a = 80-100 nm.
Below
this point, down to radius values of perhaps 5-10 nm (but above metallic
quantum wire dimensions), we may expect to need to use a size dependent value
of conductivity, perhaps based on measurement.
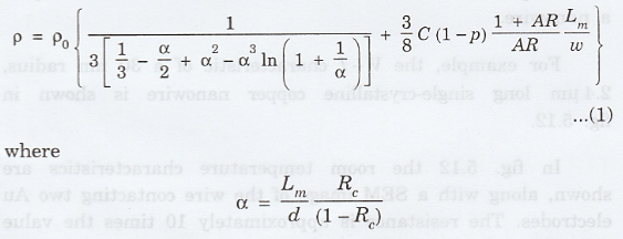
A
relatively simple approximate formula for the resistivity (p) of rectangular
cross-section wires is


The
first term is related to grain-boundary scattering and the second term wire-surface
scattering.
Both
p and Rc can take values between 0 and 1, and typical values
determined by fitting equation (1) to experimental results are p = 0.3-0.5 and
Rc = 0.2 - 0.3.
For
example, using p = 0.50 and Rc = 0.27 we have σ = 1.22 × 107
S/m for a 10 x 10 nm2 copper wire (down from 5.9 x 107
S/m for the bulk value).
This
model may work down to wire cross-sectional dimensions in the order of 5-10 nanometres.
However,
as complicated as surface and grain-boundary scattering are other factors also
determine the conductivity of a nanowire.
For
example, the V-I characteristic of a 30 nm radius, 2.4 µm long
single-crystalline copper nanowire is shown in fig. 5.12.
In fig. 5.12 the room temperature characteristics are shown, along with a SEM image of the wire contacting two Au electrodes. The resistance is approximately 10 times the value expected using s for bulk copper.

Physics for Electronics Engineering: Unit V: Nano Devices : Tag: : Definition, Formula, Explanation, VI Characteristics - Conductivity of Metallic Nanowires
Physics for Electronics Engineering
PH3254 - Physics II - 2nd Semester - ECE Department - 2021 Regulation | 2nd Semester ECE Dept 2021 Regulation