The conditional probability of A given B is P (A/B) = P(A∩B)/P(B) if P(B) ≠ 0 and it is undefined otherwise.
CONDITIONAL
PROBABILITY
i. Marginal probability
A probability of only one event that
takes place is called a marginal probability.
ii. Joint probability
The probability of occurence of both
events A and B together, denoted by P (A∩B), is known as joint probability of A
and B.
iii. Conditional probability
The conditional probability of A given B
is
P (A/B) = P(A∩B)/P(B) if P(B) ≠ 0 and it
is undefined otherwise.
A rearrangement of the above definition
yields the following:
MR (Multiplication Rule).

Note: P(A/B) means the conditional
probability of A given B.
P(B/A) means the conditional probability
of B given A.
iv. Conditional probability of a sample point S (an element of
S)

Example: When a fair dice is tossed, the
conditional probability of getting '2', given that an even number has been
obtained, is equal to 1/3.
S = {1, 2, 3, 4, 5, 6}, A = {2, 4, 6}, B
= {2}

Note :

(iii) If A and B are independent events
then
P(A∩B) = P(A) P(B)
.'. The conditional probability can be
defined as follows :

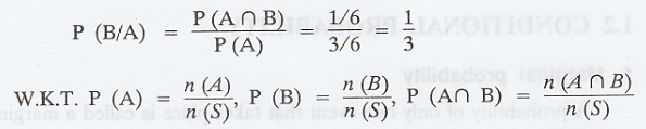
v. Relationship between conditional, joint and marginal
probabilities.
We know that the conditional probability
of event B given that A has already happened is given by
P(B/A) = P(A∩B)/P(A), where P(A∩B) is
the joint probability of events A and B happening together and P(A), the
marginal probability of the happening of event A.
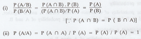
vi. Theorem :
If P (A) > P(B), then P(A/B) >
P(B/A)
Proof :


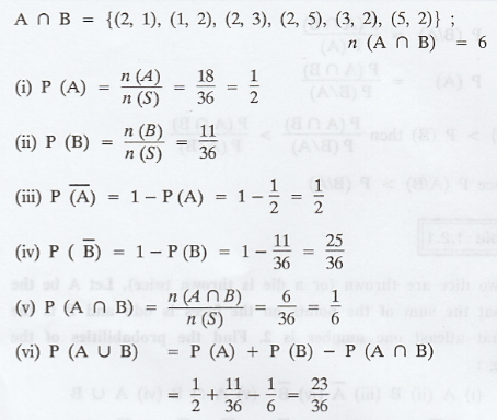
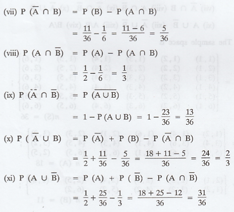
Example 1.2.1
When two dice are thrown (or a die is
thrown twice). Let A be the event that the sum of the points on the faces is
odd and B is the event that atleast one number is 2. Find the probabilities of
the following:

Solution:
The sample space is




Example 1.2.2
Among the workers in a factory only 30%
receive a bonus. Among those receiving the bonus only 20% are skilled. What is
the probability of a randomly selected worker who is skilled and receiving
bonus.
Solution :
A = {The event of receiving bonus}
B = {The event of considering skilled
workers}
Given: P(A) = 30/100 = 0.3
P(B/A) = 20/100 = 0.2 
To find the probability of the event A∩B

P(B/A) -> The conditional probability
of event B when the event A has already happened.
Example 1.2.3
Two manufacturing plants produce similar
parts. Plant I produces 1,000 parts, 100 of which are defective. Plant II
produces 2,000 parts, 150 of which are defective. A part is selected at random
and found to be defective. What is the probability that it come from plant I.
Solution :
A --> the part selected come from plant I
B --> the part selected is defective.
A∩B --> the part selected is defective
and came from plant I
A/B --> The conditional probability
of event A when the event B has already happened.

Example 1.2.4
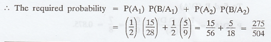
A bag contains 5 red and 3 green balls
and a second bag 4 red and 5 green balls. One of the bages is selected at
random and a draw of 2 balls is made from it. What is the probability that one
of them is red and the other is green.
Solution:
Let A1 and A2
denote the event of selecting the first bag and second bag respectively.
P(A1) = 1/2 = P(A2)
and A1 and A2 are mutually exclusive events.
.'. Sample S = A1 U A2
Let B denote the event of selecting one
red and one green ball.
Then

Example 1.2.5
Find the probability of drawing two red
balls in succession from a bag containing 3 red and 6 black balls when (i) the
ball that is drawn first is replaced (ii) it is not replaced.
Solution :
Let A = {the event that the ball drawn
is red}
B = {the event that the second ball
drawn is red}

(i) If the first ball drawn is replaced,
the events are independent

(ii) If the first ball is not replaced
after taking a red ball the bag will contain only 8 balls out of which 2 are
red. The events are not independent

Example 1.2.6
A manufacturer of aeroplane parts knowns
that the probability is 0.8 that an order will be ready for shipment on time,
and it is 0.7 that an order will be ready for shipment and will be delivered on
time. What is the probability that such an order will be delivered on time
given that it was also ready for shipment on time?
Solution:
Let 'A' be an event that an order is
ready for shipment on time.
Let 'D' be an event that an order is
delivered on time.
Given that P(A) = 0.8 and P (A∩D) = 0.7
To find P(D/A)

Example 1.2.7
A box contains 4 bad and 6 good tubes.
Two are drawn out from the box at a time. One of them is tested and found to be
good. What is the probability that the other one is also good? [A.U M/J 2007]
Solution:
Let A = one of the tubes drawn is good
B = the other tube is good
P(A∩B) = P[both the tubes drawn are
good]

Knowing that one tube is good, the
conditional probability that the other tube is also good is required.

Example 1.2.8
If the probability that a communication
system will have high fidelity is 0.81 and the probability that it will have
high fidelity and high selectivity is 0.18, what is the probability that a
system with high fidelity will also have high selectivity? [A.U N/D 2007]
Solution :
A = The event that a communication
system has high selectivity.
B = The event that it has high fidelity
Given: P(B) = 0.81, P(A∩B) = 0.18
P(A/B) = P(A∩B)/P(B) = 0.18/0.81 = 18/81
= 2/9
Example 1.2.9
In a certain group of computer
personnel, 65% have insufficient knowledge of hardware, 45% have inadequate
idea of software and 70% are in either one or both of the two categories. What
is the percentage of people who know software among those who have a sufficient
knowledge of hardware ? [A.U N/D 2006]
Solution:
Let P(A) = Probability of people having
insufficient knowledge of hardware

P(B) = Probability of people having
inadequate idea of software.

P(AUB) = 70% [either or both]

.'. The percentage of people who know software among those who have a sufficient knowledge of hardware is 85.7.
Example 1.2.10
Given a binary communication channel, where
A is the input and B is the output, let P(A)= 0.4, P (B/A) = 0.9 and
= 0.6. Find (1)P(A/B), (2)
[A.U N/D 2006]
Solution :



Random Process and Linear Algebra: Unit I: Probability and Random Variables,, : Tag: : Marginal probability, Joint probability, Conditional probability, Conditional probability of a sample point, Relationship between conditional, joint and marginal probabilities - Conditional Probability with Problems
Random Process and Linear Algebra
MA3355 - M3 - 3rd Semester - ECE Dept - 2021 Regulation | 3rd Semester ECE Dept 2021 Regulation