A basis β for a vector space V is a linearly independent subset of V that generates V. If β is a basis for V, we also say that the vectors of β form a basis for V. (or) A set S = {u1, u2, ..., un} of vectors is a basis of V if it has the following two properties. (1) S is linearly independent. (2) L(S) = V, i.e., every element of V is a linear combination of finite elements of S.
BASES AND
DIMENSION
Definition
:
A basis β for a vector
space V is a linearly independent subset of V that generates V.
If β is a basis for V,
we also say that the vectors of β form a basis for V.
(or)
A set S = {u1,
u2, ..., un} of vectors is a basis of V if it has the
following two properties.
(1) S is linearly
independent.
(2) L(S) = V, i.e.,
every element of V is a linear combination of finite elements of S.
Example
1.
Recalling that span(Ø)
= {0} and Ø is linearly independent, we see that Ø is a basis for the zero
vector space.
Example
2.

Example
3.

Example
4.
In Pn(F) the
set {1, x, x2,..., xn) is a basis. We call this basis is
the standard basis for Pn (F).
Example
5.
In P(F) the set {1, x, x2,...}
is a basis.
THEOREM 1.
Let V be a vector space
and β = {u1, u2, ..., un} be a subset of V.
Then β is a basis for V if and only if each v ε V can be uniquely expressed as
a linear combination of vectors of β, that is, can be expressed in the form.

for unique scalars a1,
a2, ..., an
Proof
:
Let β be a basis for V.
If v ε V, then v ε
span(β) because span(β) = V.
Thus v is a linear
combination of the vectors of β.
Suppose that

are two such
representions of v.

Since β is linearly
independent, it follows that

Hence a1 = b1,
a2 = b2, = ... = an = bn, and so v
is uniquely expressible as a linear combination of the vectors of β.
Converse part:
Suppose every vector, v
ε V can be written as a linear combination of vectors of β = {u1, u2,
..., un} in a unique way.
To prove that β = {u1,
u2, ..., un} is the basis of V.
Since every vector v ε
V can be written as a linear combination of β, confirm that β spans V.
Now, prove that β is
linearly independent.
Suppose, 
Since 0 vector is
always linearly dependent and cannot span any vector, say that β is the
non-zero set of vectors.
Since β is a subset of
V, say that any vector in β also can be written as a linear combination of
vectors of β.
=> Some vector ui
can be written as a linear combination of its preceeding vectors.
i.e., uk, uk+1,
..., un are dependent and so, they can be written as linear
combinations of the preceeding vectors.
Neglecting these
vectors from β, we are left with {u1, u2, ..., un},
such that these vectors span V.
If these vectors are
linearly independent, then they form the basis to V.
Otherwise, some vector
ui is a linear combination of its preceeding vectors.
So, omitting that
vector, only the subset is left {u1, u2, ..., ui-1,
uj+1,..., uk), such that these vectors span V and are
linearly independent.
Thus, this set forms a
basis to V.
Hence, the theorem.
THEOREM 2.
If a vector space V is
generated by a finite set S, then some subset of S is a basis for V. Hence V
has a finite basis.
Proof :
If S = Ø or S = {0},
then V = {0} and is a subset of S that is a basis for V.
Otherwise S contains a
non-zero vector u1.
{u1} is a
linearly independent set. Continue, if possible, choosing u2, ..., uk
in S such that {u1, u2, ..., uk} is linearly
independent.
Since S is a finite
set, we must eventually reach a stage at which β = {u1, u2,
..., uk} is a linearly independent subset of S, but adjoining to β
any vector in S not in β produces a linearly dependent set.
We claim that β is a
basis for V. Because β is linearly independent by construction, it suffices to
prove that β spans V.
To show that S
span (β).

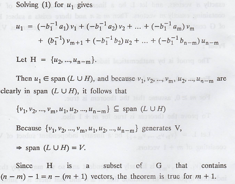
THEOREM 3. Replacement
theorem
Let V be a vector space
that is generated by a set G containing exactly n vectors, and let L be a
linearly independent subset of V containing exactly m vectors. Then m ≤ n and
there exists a subset H of G containing exactly n - m vectors such that L U H
generates V.
Proof :
The proof is by
mathematical induction on m.
For m = 0, we get L = Ø
and H = G
For m ≥ 0, assume that
the theorem is true.
To prove the theorem is
true for m + 1 also.

Note n - m > 0, lest
vm+1 be a linear combination of v1, v2, ..., vm,
which contradicts the assumption that L is linearly independent.
Hence n > m; that is
n ≥ m + 1.
Moreover, some bi,
say b1, is non-zero, for otherwise we obtain the same contradiction.

This completes the
induction.
Hence, proved.
THEOREM 4.
Let V be a vector space
having a finite basis. Then every basis for V contains the same number of
vectors.
Proof :
Suppose that β is a
finite basis for V that contains exactly n vectors, and let γ be any other
basis for V.
If γ contains more than
n vectors, then we can select a subset S of γ containing exactly n + 1 vectors.
Since S is linearly
independent and β generates V, the replacement theorem implies that n + 1 ≤ n,
a contradiction.
Therefore γ is finite,
and the number m of vectors in y satisfies
Reversing the role of β
and γ, we obtain n ≤ m.
Hence, m = n.
Definition
:
A vector space is
called finite-dimensional if it has a basis consisting of a finite number of
vectors. The unique number of vectors in each basis for V is called the
dimension of V and is denoted by dim(V). A vector space that is not
finite-dimensional is called infinite-dimensional.
Example
1.
The vector space {0}
has dimension zero.
Example
2.
The vector space Fn
has dimension n.
Example
3.
The vector space Mm
x n(F) has dimension m n.
Example
4.
The vector space Pn(F)
has dimension n + 1
Example
5.
Over the field of
complex numbers, the vector space of complex numbers has dimension 1. (A basis
is {1}).
Example
6.
Over the field of real
numbers, the vector space of complex numbers has dimension 2. (A basis is {1,
i}).
THEOREM 5.
Let V be a vector space
with dimension n.
(a) Any finite
generating set for V contains atleast n vectors, and a generating set for V
that contain exactly n vectors is a basis for V.
(b) Any linearly
independent subset of V that contains exactly n vectors is a basis for V.
(c) Every linearly
independent of V can be extended to a basis for V.
Proof :
Let β be a basis for V.
(a) Let G be a finite
generating set for V.
→ Some subset H of G is
a basis for V.
→ H contains exactly n
vectors.
Since subset of G
contains n vectors, G must contain atleast n vectors.
Moreover, if G contains
exactly n vectors, then we must have H = G, so that G is a basis for V.
(b) Let L be a linearly
independent subset of V containing exactly n vectors.
By the replacement
theorem that there is a subset H of β containing n - n = 0 vectors such that L
U H generates V.
Thus H = Ø, and L
generates V.
Since L is also
linearly independent, L is a basis for V.
(c) If L is a linearly
independent subset of V containing m vectors, then the replacement theorem
asserts that there is a subset H of β containing exactly n - m vectors such
that L U H generates V. Now L U H contains at most n vectors; therefore (a)
implies that L U H contains exactly n vectors and that L U H is a basis for V.
THEOREM 6.
Let W be a subspace of
a finite-dimensional vector space V. Then W is finite-dimensional and dim(W) ≤
dim(V). Moreover, if dim(W) = dim(V), then V = W.
Proof :
Let dim(V) = n.
If W = {0}, then W is
finite-dimensional and dim(W) = 0 ≤ n.
Otherwise, W contains a
non-zero vector x1; so {x1} is a linearly independent
set.
Continue choosing
vectors, x1, x2,...,xk in W such that {x1,
x2, ..., xk} is linearly independent.
Since no linearly
independent subset of V can contain more than n vectors, this process must stop
at a stage where k ≤ n and {x1, x2,..., xk} is
linearly independent but adjoining any other vector from W produces a linearly
dependent set.
.'. {x1, x2,...,xk}
generates W, and hence it is a basis for W. Therefore dim(W) = k ≤ n.
If dim(W) = n, then a
basis for W is a linearly independent subset of V containing n vectors. But the
replacement theorem implies that this basis for W is also a basis for V; so W =
V.
Example
1.

Example
2.
The set of diagonal n x
n matrices is a subspace W of Mn x n(F). A basis for W is

where Eij is
the matrix in which the only non-zero entry is a one in the ith row
and jth column. Thus dim(W) = n.
Example
3.
The set of symmetric n
x n matrices is a subspace W of Mn x n(F). A basis for W is

where Aij is
the n x n matrix having 1 in the ith row and jth column,
1 in the jth row and ith column, and 0 elsewhere. It
follows that

THEOREM 7.
If W is a subspace of a
finite-dimensional vector space V, then any basis for W can be extended to a
basis for V.
Proof :
Let S be a basis for W.
Because, S is a linearly independent subset of V. The replacement theorem
guarantees that S can be extended to a basis for V.
Example
1.
The set of all
polynomials of the form


(a)
Vector space

Problem 1.
Give three different
bases for F2 and for M2 x 2(F)
Solution
:
We know that F2
is of dimension 2.
So, any set of two
linearly independent vectors form a basis of F2.
(i) The standard basis
is {(1, 0), (0, 1)}
(ii) Let S = {(1, 1),
(2, 1)}
To prove that S is a
basis to F2
Let a (1, 1) + b (2, 1)
= (0, 0)
a + 2b = 0 ........(1)
a + b = 0 ........ (2)
Solving (1) & (2)
we get a = 0, b = 0
.'. S is linearly
independent
⇒
S is a basis to F2
(iii) Let S = {(2, 0),
(0, 2)}
We can easily verify, S
is basis to F2
M2 x 2 is a
vector space of dimension 4.
So, we consider a
subset of M2 x 2 with dimension 4 and show that the set is linearly
independent and claim that the set forms a basis to M2 x 2


Problem 2

Solution
:

(b) To prove W2
is a subspace of V also find the dim(W2)

Therefore, these
vectors span W2
⇒
W2 is a subspace of V
Therefore, dim W2
= 2
(c) To find the dim(W1+W2)
and dim(W1 ∩ W2)
Collecting all the
bases vectors of W1 and W2.

Therefore, the dim(W1
∩ W2)
So, by the theorem

(b)
Problems on Vector space kn, Pn(t), Bases.
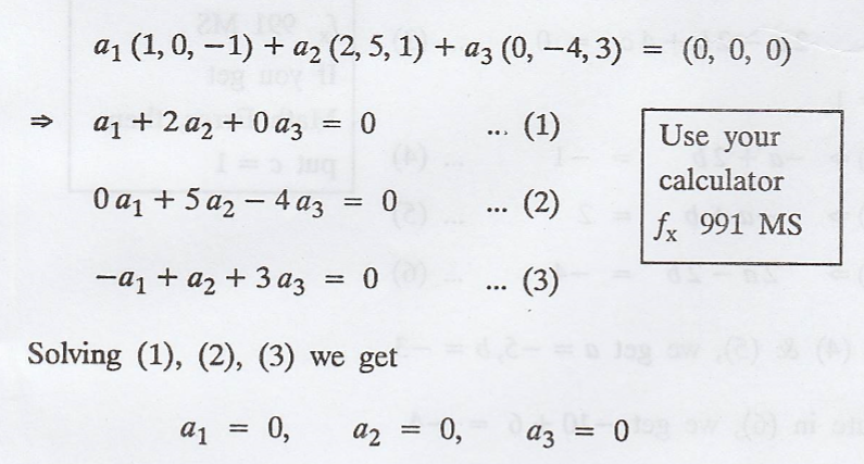
Problem 1.
Determine which of the
following sets are bases for R3
{(1, 0, -1), (2, 5, 1),
(0, -4, 3)}
Solution
:
{(1, 0, -1), (2, 5, 1),
(0, -4, 3)}
It is to determine that
the set is bases for R3
i.e., To find that is
linearly independent or linearly dependent.
Suppose that a1,
a2, a3 are scalars such that

=> The set is
linearly independent.
And by the theorem
"Any linearly independent subset of V that contains exactly n vectors is a
basis for V."
Hence, given set is
basis for R3.
Problem 2.
Determine which of the
following set are bases for P2(R)

Solution
:

First find the set is
linearly independent or not.

It is clear that c is
arbitrary. So the given set is linearly dependent.
Then
The matrix of the above
system of equations is as follows:


Problem 3.
Do the polynomials x3
- 2x + 1, 4x2 - x + 3, and 3x - 2 generate P3(R)? Justify
your answer.
Solution
:
Given: x3 -
2x + 1, 4x2 - x + 3, 3x - 2
Here, P3(R)
consist of all polynomials having degree less than or equal to 3.
Clearly, the given
three polynomials are belongs to P3(R)
In general, the vector
space Pn(R) has a dimension n + 1.
So, the vector space P3(R)
has diameter 3 + 1 = 4
i.e., the unique number
of vectors in each basis of P3(R) is 4.
So, the given three
polynomials cannot span entire space.
Therefore, the given
polynomials cannot generate P3(R).
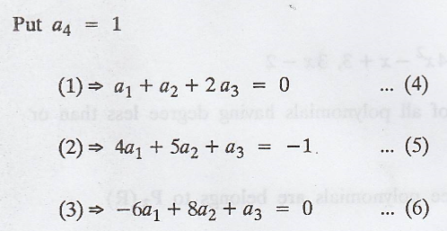
Problem 4.
Is {(1, 4, -6), (1, 5,
8), (2, 1, 1), (0, 1, 0)} a linearly independent subset of R3?
Justify your answer.
Solution
:


Solve by using your
calculator fx991MS we get

It is clear that a4
is arbitrary.
Hence, the given set of
vectors are linearly dependent.
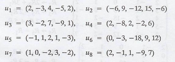
Problem 5.
Let W denote the
subspace of R5 consisting of all the vectors having co-ordinates
that sum to zero.
The vectors

generate W. Find a
subset of the set {u1, u2, ..., u3} that is a
basis for W.
Solution
:
Let us consider

In matrix notation, we
get


The row with all
entries 0 can be omitted.

Problem 6.
The set of solutions to
the system of linear equations

is a subspace of R3.
Find a basis for this subspace.
Solution:


(c)
Finite dimensional vector space
Problem 1.
Let W1 and W2
be subspaces of a finite-dimensional vector space V. Determine necessary and
sufficient conditions on W1 and W2 so that dim (W1
∩ W2) = dim (W1).
Solution
:
Let W1 and W2
be the two subspaces and let W1 C W2
Let α and β as the
basis for W1 and W2 respectively and they are finite.
Let us prove this by
the method of contradiction.
Suppose W1
is not a subspace of W2, then there will be no common element.
The vector v in V
cannot generate the basis for W2.
Now as compared to the
W1, the set W2 ∩ W2 will have fewer elements.
So, that dimension of W1
∩ W2 is a subset of dimension of W1,
that is dim (W1
∩ W2) C dim (W1)
Converse part :-
Let W1 is a
subspace of W2, then (W1 ∩ W2) = (W1)
and W2 is a subspace of W1, then (W1 ∩ W2)
= (W2)
So, that W1
∩ W2 contains same vectors as that of W1.
Hence, the statement
can be written as
dim (W1 ∩ W2)
= dim (W1)
i.e., both subspaces
have same dimension.
Problem 2.
Let W1 and W2
be the subspaces of P(F). Determine the dimensions of the subspaces W1
∩ Pn(F) and W2 ∩ Pn(F)
Solution
:
Proof: Let the
subspaces of vector space V: W1, W2 and polynomial Pn(F).
W1 is a
subspace of all polynomials f(x) in Pn(F), represents as

Similarly, W2
is a subspace of all polynomials g(x) in Pn(F), represents as

If n is odd, then

and if n is even, then

(d) Sum
and direct sum of subspaces
Problem 1.
Let W1 and W2
be subspaces of a vector space V having dimensions m and n, respectively, where
m ≥ n.
(a) Prove that dim (W1
∩ W2) ≤ n
(b) Prove that dim (W1+
W2) ≤ m + n
Solution
:
Let W1 and W2
are two subspaces of finite dimensional vector space V.
dim (W1) = m
and dim (W2) = n
(a) 
Take dimension on both
sides
dim (W1 ∩ W2)
≤ dim (W2)
dim (W1 ∩ W2)
≤ n
Hence, dim (W1
∩ W2) ≤ n.
(b) Let the expression
for dim (W1 + W2)

Problem 2.
(a) Find an example of
subspaces W1 and W2 of R3 with dimensions m
and n, where m > n > 0, such that dim (W1 ∩ W2) =
n.
(b) Find an example of
subspaces W1 and W2 or R3 with dimensions m
and n, where m > n > 0, such that dim (W1 + W2) = m
+ n.
(c) Find an example of
subspaces W1 and W2 of R3 with dimensions m
and n, where m ≥ n, such that both dim (W1 ∩ W2) < n
and dim (W1 + W2) < m + n.
Solution:



Using these
observations in

Problem 3.
(a) Prove that if W1
is any subspace of a finite-dimensional vector space V, then there exists a
subspace W2 of V such that


Solution:
(a) Let W1
be the subspace of a finite-dimensional vector space V.
That is to prove that
there exists a subspace W2 of V such that 
Let α be the basis of V
and β be the basis of W1.
The basis β can be
extended to β' by using the Replacement Theorem.

Hence, there exists a
subspace W2 of V such that 
(b) 
That is to give
examples of two different subspaces W2 and W2' such that 
If the vector space V =
R2, then obviously, the different subspaces of V are W2
and W2'.

Problem 4.
Let W be a subspace of
a finite-dimensional vector space V, and consider the basis {u1, u2,
..., uk} for W. Let {u1, u2, ..., uk,
uk+1, ..., un} be an extension of this basis to a basis
for V.
(a) Prove that 
(b) Derive a formula
relating dim(V), dim(W), and dim(V/W).
Solution:
Let S = {α1,
α2, ..., αm} be a basis of W.
As S is linearly
independent, then S can be extended to form basis of V.
Let the set 
Then, dim(V) = m + n
By the definition of
Quotient space.

(b) Let the subspace W
of V, with dimension of W is m and dimension of V is m + n.
The relation can be
formulated as follows.

(e)
Lagrange interpolation formula
Problem 1.
In each part, use the Lagrange
interpolation formula to construct the polynomial of smallest degree whose
graph contains the following points.
(a) (-2, -6), (-1, 5),
(1, 3)
(b) (-4, 24), (1, 9),
(3, 3)
Solution
:
To find the polynomial
of smallest degree which passes through a given set of points we may use
Lagrange's interpolation formula which states.

EXERCISE 4.5
1. Determine which of
the following sets are bases for R3
(a) {(2, -4, 1), (0, 3,
-1), (6, 0, -1)}
(b) {(1, 2, -1), (1, 0,
2), (2, 1, 1)}
(c) {(-1, 3, 1), (2,
-4, -3), (-3, 8, 2)}
(d) {(1, 0, -1), (1, 2,
1), (0, -3, 2)}
(e) {(1, 2, 1), (2, 9,
0), (3, 3, 4)}
2. Show that the set S
= {(1, 2), (3, 4)} forms a basis for R2
3. Determine which of
the following sets are bases for P2(R)

4. Show that the
vectors (1, 1, 2), (1, 2, 5), (5, 3, 4) do not form a basis of R3
5. In each part, use
the Lagrange interpolation formula to construct the polynomial of smallest
degree whose graph contains the following points
(a) (-2, 3), (-1, -6),
(1, 0), (3, −2)
(b) (-3, -30), (-2, 7),
(0, 15), (1, 10)
6. Prove that any basis
{ei} of V is a linearly independent set.
7. If a vector space V
has a basis of n elements then any set of n + 1 vectors is linearly dependent.
8. Let V be a finite
dimensional vector space. Then prove that any two bases of V have the same
number of elements.
Random Process and Linear Algebra: Unit IV: Vector Spaces,, : Tag: : - Bases and Dimension
Random Process and Linear Algebra
MA3355 - M3 - 3rd Semester - ECE Dept - 2021 Regulation | 3rd Semester ECE Dept 2021 Regulation