The probability of an event has been defined, we can collect the assumptions that we have made concerning probabilities into a set of axioms that the probabilities in any random experiment must satisfy. The axioms do not determine probabilities; the probabilities are assigned based on our knowledge of the system under study. However, the axioms enable us to easily calculate the probabilities of some events from knowledge of the probabilities of other events.
AXIOMS OF PROBABILITY
The probability of an event has been
defined, we can collect the assumptions that we have made concerning
probabilities into a set of axioms that the probabilities in any random
experiment must satisfy.
The axioms do not determine
probabilities; the probabilities are assigned based on our knowledge of the
system under study. However, the axioms enable us to easily calculate the
probabilities of some events from knowledge of the probabilities of other
events.
Axioms of probability
Probability is a number that is assigned
to each number of a collection of events from a random experiment that
satisfies the following properties If S is the sample space and E is any event
in a random experiment,
Axiom 1 : 0 = P (E) = 1
Axiom 2 : P (S) = 1
Axiom 3 : For any sequence of mutually
exclusive events E1, E2, ... (i.e., events for which Ei
Ej = φ when i ≠ j),

We refer to P (E) as the probability of
the event E
Note 1:
Axiom 1 states that the probability that the outcome of the experiment is an
outcome in E is some number between 0 and 1.
Note 2:
Axiom 2 states that, with probability 1, the outcome will be a point in the
sample space S.
Note 3:
Axiom 3 states that for any sequence of mutually exclusive events the
probability of atleast one of these events occurring is just the sum of their
respective probabilities.
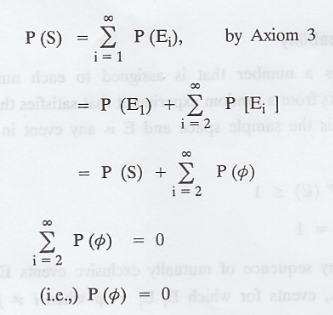
Theorem 1:
The probability of an impossible event
is zero (or) The null event has probability 0 (i.e.,) p (φ) = 0
Proof :
If we consider a sequence of events E1,
E2, ... where E1 = S, Ei = φ for i > 1,
then the events are mutually exclusive and as 

Theorem 2:
If AC is the complementary event of A, P(AC) = 1 - P (A) ≤ 1. Proof A and AC are mutually exclusive events, such that

Theorem 3:
If B C A, P (B) ≤ P (A)
Proof :

B and A BC are mutually
exclusive events such that

Theorem 4 : Addition law of probability
If A and B are any two events, and are
not disjoint, then

Proof:

From the venn diagram, we get the events
A and Ā ∩ B are disjoint.

adding and subtracting P(A ∩ B) we get

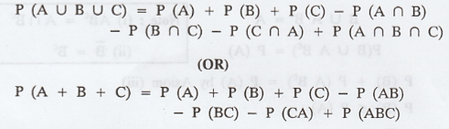
Theorem 5
If A, B and C are any three events then

Proof :
Using the above result we have

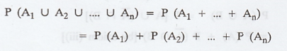
Theorem 6
If A1, A2, … An
are n mutually exclusive events then the probability of the happening of one of
them is

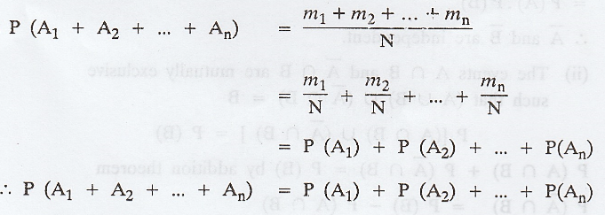
Proof:
Let N be the total number of mutually exclusive exhaustive and equally likely
cases of which m1 are favourable to A1, m2 are
favourable to A2 and so on.
Probability of occurrence of A1
= P(A1) = m1/N
Probability of occurrence of A2
= P(A2) = m2/N
... ... ... ... ... ... ... ... ... ...
... ...
... ... ... ... ... ... ... ... ... ...
... ...
Probability of occurrence of An
= P(An) = mn/N
The events being mutually exclusive and
equally likely, the number of cases favourable to the event A1 or A2
or ... or An is m1 + m2 + ... + mn.
.'. The probability of occurrence of one
of the events A1, A2, ... An is

Note: Multiplication
theorem :
If two events A and B are independent
and can happen simultaneously, the probability of their joint occurrence
P (A ∩ B) = P(A). P(B)
The theorem can be extended to three or more events.
Theorem 7
If the events A and B are independent
then

Proof:
(i) We know that



(ii) The events A ∩ B and Ā ∩ B are
mutually exclusive such that (A U B) U (Ā ∩ B) = B


Random Process and Linear Algebra: Unit I: Probability and Random Variables,, : Tag: : Theorems of Axioms Probability - Axioms of Probability
Random Process and Linear Algebra
MA3355 - M3 - 3rd Semester - ECE Dept - 2021 Regulation | 3rd Semester ECE Dept 2021 Regulation